文献标识码: A
DOI:10.16157/j.issn.0258-7998.181250
中文引用格式: 韩艳,帕孜来·马合木提. 闭环状态下并网逆变器故障诊断[J].电子技术应用,2019,45(1):122-126.
英文引用格式: Han Yan,Pazilai Mahemuti. Grid-connected inverter fault diagnosis in closed loop[J]. Application of Electronic Technique,2019,45(1):122-126.
0 引言
随着石化能源的枯竭和环境污染的严重,分布式清洁能源发电在世界范围内迅速发展,比如风能成为解决能源危机和环境污染的不可替代的能源[1-2]。相比于风力发电机组中的其他的机械部件,逆变器的稳定性是较差的。因此有必要提高风力发电系统中的逆变器的可靠性与稳定性[3]。
目前对IGBT开路故障诊断方法大致分为三大类:基于模型的故障诊断方法[4]、基于专家系统的故障诊断方法[5-6]和基于人工智能的故障诊断方法[7-8]。然而,这些诊断算法都是针对开环系统进行的,而实际网侧变流器采用双闭环控制方式,这些诊断方法的不足局限了在实际系统中的应用。因此,以前针对并网逆变器开环系统的故障诊断方法在闭环系统中可能不再适用或需要重新设计。
本文通过分析对比闭环控制的并网逆变器在正常与开路故障状态下的三相电流,提取出开路故障时的归一化三相电流平均值和平均绝对值,在此基础上提出一种基于相电流的多管开路故障诊断方法。通过实验验证,证明该方法能够快速实时对各种单个和双个IGBT开路故障进行准确定位。
1 单个IGBT开路故障特征分析
并网逆变器常见的电路拓扑结构如图1所示,其拓扑结构中包含了6个IGBT 开关管 T1~T6和6个并联二极管D1~D6,输入的直流电压为Vdc。

以开关管T1为例,当T1发生开路故障时,a相电流没有正向流通路径,导致其正半周期基本为0,而a相电流的负向流通路径不受T1开路故障影响,所以负半周期不变。且这段时间内的b相和c相电流受到影响发生畸变。
对于这种故障情况,可以利用闭环控制回路中Park变换所产生的相电流,与测量的相电流进行归一化处理,然后取归一化后的相电流平均值,以此来判断故障的发生。
对于闭环控制系统,从abc三相坐标系到dq旋转坐标系的变换为:

2 多个IGBT开路故障特征分析
2.1 同桥臂的两个IGBT管同时故障
当 T1、T2同时发生开路故障时,此时a相电流既没有正向流通路径,也没有负向流通路径,而仅存在续流通路,故a相电流基本为0,即a相电路断开,仅b、c相电路工作。此时,式(4)中定义的相电流平均值无法表征故障情况,需要新的诊断变量。
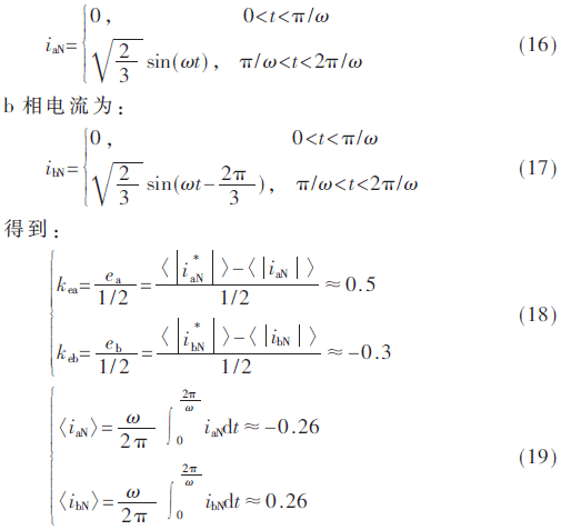
在相电流幅值的基础上取绝对值,然后根据条件得到归一化的相电流平均绝对值为:

当ken>kd时,就表示T1、T2同时发生开路故障。
2.2 不同桥臂的两个IGBT管同时故障
当T1、T3同时发生开路故障时,此时a相电流只有负向流通路径,b相电流也只有负向流通路径,故a相电流在正半周期变为0,b相电流则在正半周期变为0。此时的故障可以认为是T1故障与T3故障的叠加,使用前面定义的归一化相电流平均值与ken可以判断出T1与T3故障。
3 基于相电流的故障诊断算法设计
通过对各种故障情况下的电流特征进行分析,从而实现故障管定位。具体的相电流故障诊断算法流程如图2所示。

首先利用闭环控制系统中Park变换生成的dq指令电流进行平方和开方,生成的电流矢量幅值与测量的相电流进行归一化处理,然后对归一化的相电流进行取绝对值和移动均值,得到相电流平均绝对值,接着与正常系统产生的相电流平均绝对值进行对比产生en;其次直接取移动均值,得到相电流平均值;最后根据故障诊断规则表实现故障诊断和定位。
3.1 正常工作状态

3.2 单个IGBT管开路故障
以T1开路故障为例进行分析,当T1发生开路故障时,a相电流的正半周期为0,理论上负半周期不受影响。此时:

3.3 同桥臂IGBT开路故障
以a相桥臂的T1和T2开路故障为例进行分析,当T1和T2同时发生开路故障时,a相电流基本为0。此时:

3.4 不同桥臂的两个IGBT管开路故障
以a、b相桥臂的T1和T3同时开路故障为例进行分析,则a、b相电流的正半周期均为0,而理论上c相电流不受影响。此时a相电流为:

3.5 诊断规则
为了让诊断的方法更加简单规则化,定义2个诊断变量,分别是:

考虑到闭环控制对开路故障的结果有影响,所以具体的取值还需要根据实际系统的实验结果来进行调整。详细的故障诊断规则如表1所示。

4 实验及验证
具体实验参数如表2所示。通过对各类单个IGBT或2个IGBT开路故障进行测试,这里设定诊断阈值kf和kd为-0.1和0.6,其值大小可根据实际诊断需要自行设定。

4.1 正常状态
图3为并网逆变器在正常条件下的诊断波形。在无故障的情况下,归一化的相电流平均值和en基本保持0不变,均未超过阈值,因此可以诊断无故障发生。

4.2 单个IGBT管开路故障
图4为T1开路故障时诊断波形,可以看出a相的正半周期为0。并且诊断变量ea持续增大,但它的斜率不超过阈值 kd,而eb和ec向着负方向缓慢增大,且斜率都小于阈值kf。另一方面由于上一级开关处于开路状态,底部IGBT可使电流流过,在这个阶段产生较大的负平均值,使〈iaN〉一直小于0,诊断变量Ma就为L。所有的故障特征都满足诊断规则表中T1开路的故障特征,所以T1开路故障被检测出来。

4.3 同桥臂的IGBT管开路故障
图5为T1和T2同时开路故障时诊断波形,可以看出a相电流基本为0。并且诊断变量ea开始正向迅速增大,它的斜率超过阈值kd,另一方面〈iaN〉也基本为0。所以当诊断变量ea的斜率超过阈值kd时,可以根据故障诊断规则表诊断出T1、T2开路故障。

4.4 不同桥臂的IGBT管开路故障
图6为T1和T3同时开路故障时诊断波形。可以看出a相电流正半周期基本为0,b、c相电流都受到影响产生畸变。此时诊断变量ea开始正向增大,它的斜率不超过阈值kd,诊断变量eb负向缓慢增大,它的斜率不低于kf,诊断变量ec负向增大,它的斜率不高于kf。另一方面〈iaN〉小于0,〈ibN〉和〈icN〉大于0,所以Ma为L,Mb为H,Mc为H,然后就可以根据故障诊断规则表诊断出T1、T3开路故障。

同样地,其他单个开关管或两个开关管开路故障的实验诊断结果均可以根据故障诊断规则表来判断其开路故障。
5 结论
本文综合考虑了并网逆变器闭环控制系统的IGBT模块的多种开路故障情况,提出一种基于相电流的故障诊断方法,仿真实验结果表明,该诊断方法是可准确快速定位故障,诊断时间很短,无需增加额外的传感器等硬件;并且在闭环控制下进行故障诊断具有很高的可靠性,不会出现误诊断和漏诊断现象。
参考文献
[1] 贾君,姜建国,赵剑飞.风力发电并网控制系统的实验研究[J].电力电子技术,2010,44(5):5-6.
[2] 王建,李兴源,邱晓燕.含有分布式发电装置的电力系统研究综述[J].电力系统自动化,2005(24):90-97.
[3] 徐流建.基于键合图和BP神经网络的并网逆变器故障诊断研究[D].乌鲁木齐:新疆大学,2015.
[4] 安群涛,孙力,孙立志,等.三相逆变器开关管故障诊断方法研究进展[J].电工技术学报,2011,26(4):135-144.
[5] DEBEBE K,RAJAGOPALAN V,SANKAR T S.Expert systems for fault diagnosis of VSI fed AC drives[C].Conference Record of the Industry Applications Society Meeting,1991.IEEE,1991:368-373.
[6] DEBEBE K,RAJAGOPALAN V,SANKAR T S.Diagnosis and monitoring for AC drives[C].Conference Record of the Industry Applications Society Meeting,1992.IEEE,1992:370-377.
[7] NANDI S,TOLIYAT H A,LI X.Condition monitoring and fault diagnosis of electrical motors—a review[J].IEEE Transactions on Energy Conversion,2005,20(4):719-729.
[8] KHOMFOI S,TOLBERT L M.Fault diagnostic system for a multilevel inverter using a neural network[J].IEEE Transactions on Power Electronics,2007,22(3):1062-1069.
作者信息:
韩 艳,帕孜来·马合木提
(新疆大学 电气工程学院,新疆 乌鲁木齐830047)
