SiC MOSFET应用技术在雪崩条件下的鲁棒性评估
2020-08-05
来源:意法半导体
引语
能效和可靠性是所有电子功率变换器必备的主要特性。在与人类社会活动和生态环境保护相关的应用领域,例如,交通、工业、能源转换等,标准硅基功率开关管已被SiC MOSFET取代,因为 SiC MOSFET在电流密度/芯片面积、击穿电压、开关频率、工作温度方面表现更出色,可缩减功率变换器的体积和尺寸,同时提高能效。
采用最新一代SiC MOSFET设计功率变换器应该认真考虑器件的可靠性和鲁棒性,避免让异常失效现象破坏系统的整体安全性。短路和雪崩是可能导致电源转换器开关管严重失效的异常事件。
短路事件可能是错误和失控的工作条件引起的,例如,器件开关顺序命令出错。当漏源电压VDS超过击穿电压额定值时,会发生雪崩事件。
对于dvDS/dt 和 diD/dt变化率很高的应用,在开关瞬变期间,VDS可能会超过击穿电压额定值。高瞬变率结合变换器布局固有的寄生电感,将会产生电压尖峰,在极端情况下,导致雪崩事件发生。SiC MOSFET可能会出现这些工作条件,分立器件的dvDS/dt可能轻松超过100V/ns,diD/dt超过10A/ns 。
另一方面,电机功率变换器也是一个值得关注的重点,例如,电动汽车的驱动电机逆变器、工业伺服电机等,这些应用的负载具有典型的电感特性,要求功率开关还必须兼备续流二极管的功能。因此,在二极管关断时,其余器件将传导负载电流,进行非钳位感性负载开关UIS操作,工作于雪崩状态是无法避免的。在这种雪崩期间,除过电压非常高之外,高耗散能量也是一个需要考虑的重要问题,因为器件必须耐受异常的电压和电流值。
采用失效检测算法和保护系统,配合同样基于“可靠性”标准的变换器设计方法,是很有必要的[20]。但是,除了安全保护和最佳设计规则外,功率开关管还必须强健结实,即具有“鲁棒性”,才能耐受某种程度的异常工作条件,因为即便超快速检测算法和保护系统也无法立即发挥作用。SiC MOSFET的雪崩问题已成为一个重要的专题,由于该技术尚未完全成熟,因此需要进行专门的研究。
本文的目的是分析SiC MOSFET在雪崩工作条件下的鲁棒性。为了验证鲁棒性分析结果,我们做了许多实验。最后,我们介绍了器件在不同的UIS测试条件下的鲁棒性。
雪崩事件
通常来说,雪崩事件只有在器件达到击穿电压时才会发生。在正常工作条件下,凡是设置或要求高开关频率的应用都会发生这种现象。
以基于半桥转换器的应用为例,让我们详细解释一下雪崩现象。
图1(a)是一个简化的半桥转换器电路原理图,电路中有两个SiC MOSFET开关管,分别用QH和QL表示,除开关管外,还有一个感性负载;图1(b)是上面电路的等效电路图,最重要的部分是主要寄生元件,特别是代表电源回路等效寄生电感的LDH,LSH,LDL和LSL,电源回路是指连接+ DC电路(VDD)与QH漏极,QH源极至QL漏极,QL源极至-DC电路的电源轨。此外,LGH,LGL是QH和QL的栅极-源极路径信号回路的等效寄生电感。考虑到HiP247封装分立器件有三或四个引线,上面的寄生电感中包含SiC MOSFET焊线和引线的寄生电感,详细信息参见[15],[16]。同样重要的是,还要考虑SiC MOSFET的寄生电容CGS,CDS和CGD,这些参数是漏极-源极电压VDS的函数[21]。
不难理解在下面两个案例的极端工作条件期间产生的电压尖峰:
1) 有源器件导通,无源器件的体二极管关断
2) 有源器件关断,无源器件的体二极管导通
用1200V,25mΩ,HIP247-4L封装的SiC MOSFET分立器件,按照图1的方案做实验测试,描述瞬变在什么情况下被定义为极端工作条件。为简单起见,将QL视为有源器件,它由适合的栅极驱动器电路控制;QH是无源器件,用作续流二极管,并且通常在相关终端施加-5V的恒定负栅极-源极电压。

图1:半桥转换器桥臂:(a)简化框图,(b)包括主要寄生元件的等效电路。
通过分析图2的实验结果,可以知晓案例1)的极端工作条件。

图 2:在850V, 130A,QH 体二极管关断时,VGS, ID 和VDS的典型波形。
本节重点介绍在QL导通时QH体二极管的“反向恢复”过程。测试条件是175°C,VDD=850V, ID=130A。SiC MOSFET的反向恢复过程是一个重要的课题,许多人都在研究这种现象[17],[18]。软恢复和硬恢复模式受载流子寿命、掺杂分布、裸片面积等因素影响。从应用角度来看,反向恢复特性主要与正向电流大小ID及其变化率diD/dt和 工作温度有关。图2显示了变化速率12A/ns 的ID引起的QH体二极管硬恢复特性。由于结耗尽非常快,漏极-源极电压VDS以最快的速度上升。在diD/dt 和 dirr/dt与寄生电感的综合作用下,尖峰电压现象严重,并且在VDS波形上看到振荡行为。另外,VGS波形出现明显振荡,应钳制该电压,以避免杂散导通[16]。
快速恢复用于描述恢复的效果,概念定义详见文献[17]。
通过优化转换器电路板布局,将寄生电感降至非常低,可以限制在电流变化率非常高的关断期间产生的电压尖峰,从而最大程度地利用SiC MOSFET的性能。
图3的实验测试结果解释了案例2)的极端工作条件。图中所示是在室温(25°C),850V,130A条件下QL“关断”时的相关参数波形。因为器件采用HIP247-4L封装,3.3Ω的栅极电阻Rg加快了关断瞬变,并且VDS的峰值非常高(约1550V)。

图 3:在850V, 130A条件下关断QL,VGS, ID, VDS 和 Poff的典型波形。
通过进一步降低Rg阻值提高关断速度,将会引发雪崩事件,不过,在本实验报告中没有达到雪崩状态。
但是,除极端工作条件外,元器件失效也会导致雪崩事件[4]。
以前文提到的图1半桥转换器为例,当QH续流二极管失效,致使器件关断时,负载电流必须在关断瞬变期间流经互补器件QL,这个过程被称为非钳位感性负载开关UIS。在这个事件期间,器件必须承受某种程度的能量,直到达到QL击穿极限值为止。
这种失效机制与临界温度和热量产生有关。SiC MOSFET没有硅基器件上发现的其它失效模式,例如,BJT闩锁[10]。在UIS条件下的雪崩能量测试结果被用于定义SiC MOSFET的鲁棒性。
图4(a)和图4(b)是SiC MOSFET的UIS测试结果。这些测试是在图1无QH的配置中做的,测试条件是VDD=100V, VGS=-5/18V, RGL=4,7Ω, L=50H, Tc=25°C,下一章详细解释这样选择的原因。
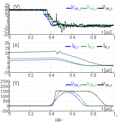
图4(a)所示是前三次脉冲测试。QL正在传导电流,在第一个脉冲时关断,如图中蓝色的VGS,VDS和ID的波形所示,有过电压产生,VDS略低于1500V,但器件没有雪崩。在增加脉冲周期后,如图中绿色波形所示,电流ID达到5A,器件开始承受雪崩电压。再重复做一次UIS测试,如黑色波形所示,电流值变大,但由于负载电感器较小,直到电流值非常大时才达到失效能量。

(a)
图4:UIS实验,(a)雪崩过程开始时的波形;(b)施加最后两个脉冲时的波形。
图4(b)所示是最后一种情况的测试结果。蓝色波形是在一系列单脉冲后,器件失效前倒数第二个脉冲产生的波形,从图中可以看到,器件能够处理关断瞬变,耐受根据下面的雪崩能量公式(1)算出的约0,7J雪崩能量,最大漏极电流为170A,雪崩电压平均值为1668V。

红色波形是在施加最后一个脉冲获得的失效波形,这时器件不再能够耐受雪崩能量,并且在t *时刻发生失效,漏极电流开始骤然增加。
鲁棒性评估和雪崩测试
我们用三组1200V SiC MOSFE做了UIS测试,表1列出了这三组器件的主要数据。
5(a)所示是测试等效电路图,5(b)所示是相关实验装置。QL是待测器件(DUT),测试目标是分析DUT的关断特性。



图5:UIS实验装置: (a)等效电路, (b) 实验台
设置A,B,C三种测试条件;施加周期递增的单脉冲序列,直到待测器件失效为止。
VDD=100V, VGS=-5/18V
vs RGL=4,7Ω, 10Ω, 47Ω, at L=50uH, Tc=25°C
vs L=50uH, 1mH, at RGL=4,7Ω, Tc=25°C
vs Tc=25°C, 90°C, 200°C, at L=50uH, RGL=4,7Ω
为了便于统计,从D1,D2和D3三组器件中分别抽出五个样品,按照每种测试条件各做一次UIS实验,测量和计算失效电流和失效能量,参见图6,图7和图8。
图6(a)所示是从SiC MOSFET D3中抽出的一个典型器件,按照测试条件“A”做UIS测试的VDS 和ID失效波形。

(a)

图6:UIS对RG最终测试结果:(a) 一个D3样品的VDS和ID典型值;(b)平均失效能量EAV。
为了清楚起见,只给出了RG =4.7Ω和47Ω两种情况的波形。我们观察到,失效电流不受RGL的影响。图6(b)显示了D1,D2和D3三组的平均EAV。
注意到EAV失效能量略有降低,可忽略不计,因此,可以得出结论,在UIS测试条件下,这些SiC MOSFET的鲁棒性与RG无关。
图7(a)和(b)所示是按照测试条件B,在L=50H 和1mH时,各做一次UIS测试的失效波形,为简单起见,只从SiC MOSFET D3中抽取一个典型样品做实验。
在提高负载电感后,电感器储存的能量增加,因此,失效电流减小。


图7:UIS对L最终测试结果 (a) 在L=50H时, D3样品的VDS 和 ID 典型值 (b)在L=1mH时, D3样品的VDS 和 ID 典型值 (c) 平均失效能量EAV.
图7(c)显示了D1,D2和D3的平均EAV与L的关系,可以观察到,器件D3的失效能量EAV随着负载电感提高而显著提高,而D1和D2的EAV则略有增加。通过分析图8可以发现这种行为特性的原因。图8是根据等式(2)计算出来的结温Tj的分布图:
Tj=T0+PAVZth (2)
其中:T0是起始温度,PAV是平均脉冲功率,Zth是芯片封装热阻,本次实验用的是不带散热器的TO247-3L封装。
电感器储存能量的大小与电感值有关,储存能量将被施加到裸片上,转换成热能被耗散掉。
如图7(a)所示,低电感值会导致非常大的热瞬变,这是因为电流在几微秒内就达到了非常高的数值,如图7(a)所示,因此,结温在UIS期间上升非常快,但裸片没有够的时间散掉热量。相反,在高电感值的情况下,电流值较低,如图7(b)所示,并且裸片有足够的时间散掉热量,因此,温度上升平稳。
这个实验结果解释了为什么被测器件D3的EAV随负载电感提高而显着增加的原因,另外,它的裸片面积比SiC MOSFET D1和D2都大。

图8:典型D3器件的估算结温Tj对L曲线图。
最后,在图9中报告了测试条件C的UIS测试结果,测试条件C是封装温度的函数,用热电偶测量封装温度数值。
图9(a)所示是D3在Tc=25°C,90℃和200℃三个不同温度时的VDS和ID波形。不出所料,D1,D2和D3三条线的趋势相似,工作温度越高,引起器件失效的EAV就越低,图9(b)。

图9:UIS对Tc的最终测试结果;(a)D3样品在不同的Tc时的VDS和ID典型值;(b)平均失效能量EAV 对TC曲线
结论
本文探讨了在SiC MOSFET应用中需要考虑的可能致使功率器件处于雪崩状态的工作条件。为了评估SiC MOSFET的鲁棒性,本文通过实验测试评估了雪崩能量,最后还用三款特性不同的SiC MOSFET做对比测试,定义导致器件失效的最大雪崩能量。雪崩能量与芯片面积成正比,并且是栅极电阻、负载电感和外壳温度的函数。
这种在分立器件上进行的雪崩耐量分析,引起使用电源模块开发应用的设计人员的高度关注,因为电源模块是由许多并联芯片组成,这些芯片的鲁棒性需要高度一致,必须进行专门的测试分析。此外,对于特定的应用,例如,汽车应用,评估雪崩条件下的鲁棒性,可以考虑使用单脉冲雪崩测试和重复雪崩测试方法。这是一个重点课题,将是近期评估活动的目标。
