旅游景区RFID系统协议一致性仿真研究
2021-10-29
来源:21ic
随着物联网技术的发展,RFID 技术被大量应用于各行各业,如旅游业星级酒店和景区中。客人可通过持有 RFID 标签卡通过景区门禁。RFID 系统具有远距离自动识别功能,通道门识别信息后将自动打开,否则自动报警,关闭门禁。不同厂家生产的 RFID 读写器和标签必须要保证产品通信协议的一致性与互用性,因此对标签协议进行测试非常必要,但若均采用实测方式,不仅费事费力,还浪费财物,基于此,文中提出了 RFID 协议一致性的联合仿真分析研究方案。在该方案中,RFID 测试仪基于 RF 收发器、FPGA 完成基带信号的处理,实时对RFID 标签收发的命令进行仿真和解调。根据合格的仿真结果,厂家能更好地研发基于旅游业的新型 RFID 产品,为智慧旅游发展提供保障,为景区客人提供更优质的服务。
1 RFID系统简介
RFID 技术起源于 20 世纪 40 年代的雷达改造技术,当时使用该项技术来分辨敌我双方的飞机。到了 21 世纪,RFID 技术被应用于各行各业,如旅游业、制造业等,其结构主要包括读写器、电子标签和计算机联网系统等,其中电子标签内部含有芯片,不仅储存的信息量大 [1-2],信息处理速度快, 还可以避免外部环境的污染,安全性能好。读写器还可远距离识别标签,方便快捷。
2 RFID系统工作原理
RFID 系统采用射频识别技术完成对电子标签内信息的读取。
(1) 读写器的软件向读写器发出读写命令,通过天线向电子标签发射射频信号,建立特定的通信 ;
(2) 电子标签天线接收信号,该信号通过射频前端电路进入电子标签的控制部分,控制部分对数据流做各种逻辑处理[3-5] ;
(3) 电子标签通过天线把内部信号发射给读写器,读写器把信号传送给系统高层,读取识别信息,高层再对信息进行远距离传送。
3 RFID协议一致性仿真
RFID 利用读写器发射给标签的射频信号,通过标签反射回波信号,接收获取标签中储存的信息。其中,信息调制由标签芯片来完成,因此不同商家的 RFID 通信协议是否一致, 关系到信息的接收是否畅通。
3.1 RFID协议一致性工作原理
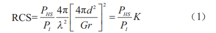
研究测试标签在全频段范围(860 ~ 960 MHz)响应射频信号,以及响应信号是否占用有限带宽。协议一致性仿真测试包括标签处理时间测试、标签内存数据结构测试、标签指令测试、标签状态机转换以及读卡器协议处理时间测试,分别从数据结构、协议处理准确性等方面进行研究,保障系统协议的一致性与高效性 [6-8]。同时设置标签与测试天线的距离为 3m,测试系统发射功率为 PHS,记录标签反射功率为 PI, 标签散射截面 RCS 的计算公式为 :

式中 :d表示天线标签的距离 ;Gr表示天线测试增益 ;λ表示载波波长 ;K表示修正因子。
3.2 协议一致性的测试方法
进入仿真软件环境,运用虚拟仪器,通用矢量信号发生器产生激励信号,矢量信号分析设备捕获和采集信号,依靠SSE 高性能开展汇编技术进行测试,在 X86 架构的 CPU 上完成 RFID 等射频技术和低功率无线移动网络的指标仿真分析和测量解分析 [9-10]。使用 RFID 仿真器和无线信道仿真器对RFID 的协议参数、非协议参数和指令控制等接口进行仿真分析,分析物理层与协议层,实现协议信号的产生和通信,同时还可以测得标签被激活的最小发送功率 EIRP(dBm)(灵敏度),再根据发送天线的距离 d,利用 Friis 公式算出标签前向最大激活距离 :

式中 :EIRP表示标签被激活的最小发送功率 ;d表示发送天线的距离。
系统具有完成读卡器仿真和标签仿真的双模功能。测试流程如图 1 所示。

3.3 协议一致性的仿真结果分析
针对某 5A 级景区门禁系统的 RFID 协议一致性进行仿真测试分析。信号工作于 UHF 频段,协议测试基于 ISO18000- 6C,将标签或者阅读器的命令解调,并仿真返回的比特流。将RFID 测量和仿真系统相结合来完成协议的一致性测试。使用FPGA 进行实时基带处理,在仿真标签阅读的同时完成物理层测量。标签协议一致性区域放大图如图 2 所示。根据标签返回波形和标签命令解析,可以分析得出读写器和标签的协议一致性已达标,满足使用要求。

4 结 语
使用本 RFID 产品协议一致性仿真测试方案,能够测试不同厂家的 RFID 协议一致性情况。本方案使用虚拟仪器,通过矢量信号发生器产生激励信号,由矢量信号分析设备捕获和采集信号,依靠 SSE 开展指标测试仿真,完成 RFID 等射频技术和低功率无线移动网络的指标仿真分析和测量分析。方便旅游业选择不同的 RFID 产品,并实现互通、互用,为游客提供高质量的服务奠定基础,为厂家研发 RFID 产品提供支撑保障,并能为物联网经济发展带来一定的帮助。

