芯片工艺的5nm和7nm是怎么来的?揭开芯片工艺和摩尔定律背后的“秘密”
2021-11-15
来源:EETOP
1:摩尔定律
1965年,硅谷传奇,仙童“八叛徒”之一,英特尔原首席执行官和荣誉主席,伟大的规律发现者戈登·摩尔正在准备一个关于计算机存储器发展趋势的报告。
在他开始绘制数据时,发现了一个惊人的趋势。
每个新的芯片大体上包含其前任两倍的容量,每个芯片产生的时间都是在前一个芯片产生后的18~24个月内,如果这个趋势继续,计算能力相对于时间周期将呈指数式的上升。
这个就是大名鼎鼎的摩尔定律, 其对集成电路产业的发展描述,异乎寻常的正确。
总结来说:
1:集成电路芯片(wafer)上所集成的电路的数目,每隔18个月就翻一番。
2、微处理器的性能每隔18个月提高一倍,而价格下降一半。
3、用一美元所能买到的计算机性能,每隔18个月翻两番。
你可能觉得摩尔定律平平无奇,只不过是一个总结?
其实这可以推导出了一个公式,那就是每18个月,在芯片规模不变的情况下,芯片面积减半。
这样相同的大小的wafer,可以生产出多一倍的芯片。
如果上一代工艺芯片面积是1mm2,在新工艺上,面积就是新工艺的一半,也就是0.5mm2。
我们假设两代工艺wafer成本一样(一般新工艺会贵一些),那么采用新工艺,其成本是原来工艺成本的一半。
这个就是摩尔定律揭示的现实:
那就是,采用新工艺的芯片,面积更小,功耗更优,频率更高,成本还更低。
这个就是新工艺对老工艺降维式的打击!
这些优点和好处就是驱动芯片工艺不断进步的发动机。
也就是摩尔定律的内涵。
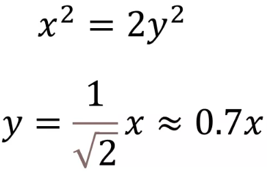
那如果芯片工艺进步,每个晶体管的尺寸就会缩小,那到底缩小多少?

如上图所示,晶体管数量保持不变的情况下, 下一代新工艺的芯片面积是上一代的一半。
那么X和Y什么关系。
如果我们按照正方形来计算的话?

那么新工艺大约是老工艺晶体管尺寸的0.7倍。
也就是晶体管会缩小0.7倍。
那根据摩尔定律,我们利用初中数学知识,就能算出每一代工艺的进步,从800nm开始(这个80586的工艺节点)。

而芯片工艺的发展也印证了这一点:
从0.8 μ m、0.5 μ m、0.35 μ m、0.25 μ m、0 .18 μm、0.13 μ m、90nm、65nm、45nm、32nm、22nm、16nm、10nm、7nm,5nm。
实际的工艺节点,符合了这个要求。
摩尔定律和现在芯片制程完全吻合。
神奇!
2:半节点
可能有些工艺制程知识的同学会说:
有点不对劲,
这个图里,制程很火的40nm,28nm,14nm跑哪里去了。
对,这就涉及到一个芯片制造厂常用的手段。
shrink。
我们都知道,一个工艺节点研发成功后,其研发成本是很高的。
如果可以在这个工艺节点上持续优化,面积,功耗等等。
也是一种最大化利用原有投入的方式。
就像intel就在14nm上做的一样。
14nm+++
持续优化。
而我们今天讲的shrink,也是一种优化。
它本质上是利用光照(MASK)等比例缩放后。晶体管尺寸缩小一点,芯片仍然能够正常工作,从而减少芯片面积,降低成本。
那么shrink的比例是多少?
Shrink 一般可以将晶体管的尺寸缩小0.9倍。
大约每个边长缩放为0.9;整体面积缩小0.81;
这个过程又称为,芯片收缩(die shrink)。
然而,按比例缩小可能引入新的问题,例如漏电流增大,但是通过工艺参数可以来调节漏电,shrink在不改变工艺特性的基础上,修修补补,也能挖掘这个工艺节点的潜力。
这些shrink后的工艺节点,也被人称为半节点。
例如:
40nm是45nm shrink后的半节点。
28nm是32nm shrink后的半节点。
20nm是22nm shrink后的半节点。
14nm也可以看作16nm shrink后的半节点。
把前面的工艺,乘以0.9就可以了。
DIE shrink是芯片制造厂家来做的,和芯片设计公司没有关系。
工程师设计完成的版图都是 pre shrink的,而到了厂家生产的时候,直接进行shrink,生成的die的面积比版本等比例缩小。
所以我们现在芯片设计工程师,做40nm或者28nm等半节点工艺时,都有一个shrink的流程。
会发现,芯片的版图比实际的DIE的面积要大。
如果我们计算最后的DIE(芯片)面积,实际上要算shrink之后的,而不是版图的面积。
EDA工具标注的都是shrink前(pre shrink)的面积。
那就是设计公司给了芯片制造厂一张10X10的设计图纸,而芯片厂生产的尺寸却是9x9。
具体DIE,WAFER等定义,不熟悉的同学,可以参见老哥原来写的的《人类高质量芯片工程师的那些“黑话”》
这些优化后的,40nm,28nm等等,成为了更成熟和长寿的工艺。
而原有的45nm,32nm等,与优化后的40nm,28nm相比,不再具有优势,厂家不再推这些工艺工艺。
事实上,业界通常把45nm/40nm, 32nm/28nm, 22nm/20nm, 16nm/14nm 这些工艺节点,看作同一个工艺节点,是一代,只是厂家通过shrink这种手段,进行的优化。
加上shrink以后,我们看到目前的28nm,14nm,10nm,7nm,5nm都可以用摩尔定律上一节的初中数学知识算出来。
严丝合缝,理论和实际吻合的很好。
戈登.摩尔,真神人也!
3:栅极长度
但是,事实果真如此吗?
这些数字里面隐藏着一个极大的隐情。
我们来看一张图:
大约从20世纪60年代到90年代末,节点的命名是基于它们的栅极长度命名的。IEEE的此图表显示了以下关系。
栅极长度(gate length)和半节距(芯片上两个相同特征之间的距离的一半)匹配工艺节点名称,这个其实0.5um,0.35um,0.25um的一些命名的原因。
但是在28nm以下,由于采用finfet这些新的技术,这些和实际的节点和栅极长度,以及半节距(half-pitch)就匹配不上了
如果保持节点名称和实际特征尺寸同步,就会如红线所示。
2015年前,芯片制造的最小工艺尺寸就会跌破1nm。
而实际上,厂家暗渡陈仓了,
而实际上,整个工艺曲线更接近蓝线所示。
你以为的7nm,5nm,早已不是原来指的栅极长度(gate length),或者(half-pitch)半节距。
那这个7nm,5nm怎么来的。
画大饼来的!
画大饼,这个你是不是比较熟。
公司的老板最擅长搞这个,画大饼,或者叫画路线图(roadmap)。
老板说:未来三年每年增长一倍,今年销售额1亿,10年后就成为销售千亿公司。
关键是,这玩意不能这么算,按照这么算,几十年后,地球都成为你们公司的,你们销售额也完不成。
那么芯片制造的大饼,或者(roadmap)是怎么画出来的?
由于开云棋牌官网在线客服制造涉及巨大的资本支出和大量的长期研究。从论文中引入新技术方法到大规模商业制造的平均时间约为10-15年。
几十年前,开云棋牌官网在线客服行业认识到,如果有一个节点介绍的总体路线图以及这些节点将针对的功能尺寸,这将对参与芯片流程的每个单位都用导引作用。
也就是说,比如,2025年,我们画个大饼要搞1nm,那么,这个时候所需要光刻设备厂家,刻蚀设备厂家,材料厂家,研究机构等等,都要瞄准这个目标来做。
这个路线图,主要是“为大学、财团和行业研究人员提供未来的主要参考,以刺激各个技术领域的创新”。
也就是说,要给芯片制造从业者画一个大饼。
多年来,国际开云棋牌官网在线客服技术路线图(ITRS)发布了该行业的总体路线图。这些路线图延续了15年,为开云棋牌官网在线客服市场设定了总体目标。
ITRS就是画大饼的人!
那如何画这个大饼(roadmap)?
当然是摩尔定律,也就是本文第一部分介绍的那样。
摩尔定律这个就是这么粗暴。
一直从几百nm,干到5nm或者3nm。
关键是,数学可以这么算,物理能这么搞吗?
这么搞,是不是有点太草率了。
4:营销手段:宝马5系和5nm
不久之后, ITRS(国际开云棋牌官网在线客服技术路线图)这个组织也明白了,这么搞是不行的。
不能把栅极长度(gate length)或半节距(half-pitch)与节点大小联系起来的原因是:
因此这些尺寸要么停止缩放,要么缩放得更慢了。
粗暴的乘以0.7还能指望晶体管能工作。
这种晶体管,工业界制造不出来。
于是,在2010年,ITRS将每个节点上的技术,统称为“等效缩放”。
也就是说,不用实际对应上,你觉得差不过就行。
也就是说,7nm,5nm,早已不是原来指的栅极长度(gate length),或者(half-pitch)半节距。
这种改变,反应了芯片制造业的现状:
台积电的Philip Wong在Hot Chips 31主旨演讲中说:“它过去是技术节点,节点编号,意味着一些东西,晶圆上的一些功能。”。
但是:“今天,这些数字只是数字。它们就像汽车模型——就像宝马5系或马自达6。数字是什么并不重要,它只是下一项技术的目的地,它的名称。因此,我们不要把节点的名称与技术实际提供的相混淆。”
画重点:不要把节点的名称和技术实际相混淆
5nm,7nm这些和宝马5,马自达6没有什么区别。
这些只是营销的手段而已。
不是大众要把这个名字相混淆。
而是这些芯片制造厂商,搞这些营销词汇,不就是想混淆工艺制程的节点和晶体管的实际尺寸吗?
虽然摩尔定律这艘大船进入浅水区,快搁浅了。
让我们一起晃动这艘大船,假装摩尔定律启示的那样继续前进,
所以英特尔就有人提出来了。
不要扯,5nm,7nm了,直接比拼一下单位面积晶体管的数量好了。
下面就是这个公式:

英特尔的芯片制造专家Mark Bohr提出来的, 它认为每个芯片制造商在提及工艺节点时,都应披露其逻辑晶体管密度,单位为MTr/mm2(每平方毫米数百万个晶体管)
这个也就是解释了,为什么英特尔的10nm和台积电的7nm,虽然看起来是两代,但是二者的晶体管密度基本一样。
但是,这个公式太复杂了。
怎么可能有7nm,5nm对大众的宣传效果好。
但是,实话实说,英特尔本身自己在命名方案里面,也没有真正遵循栅极长度(gate length)的模型。
从下表来看,随着工艺的进步,玩家越来越少了。
高端玩家就剩下了台积电和三星,还有一直要追赶的英特尔。
明年,三星和台积电的3nm都号称要量产。
但是这一次,我们应该知道,这个只是一代工艺代号而已,和3nm本身没有太大的关系了。
从7nm,5nm,到3nm。
摩尔定律不死。
只是,
步履蹒跚,垂垂老矣。
