教程:基于红外热释电效应的微型化非分光红外CO2传感器
2022-10-25
来源:MEMS
据麦姆斯咨询报道,近日,中北大学谭秋林教授团队在《中国激光》期刊上发表了题为“双通道非分光红外CO2气体传感器设计与测试”的最新论文,文中设计实现了一种微型双通道非分光红外(NDIR)CO2气体传感器,采用标准气体浓度标定传感器的方法,实现了传感器的温度补偿,使其能够在不同温度与不同浓度的环境下进行精确测量。
基于红外吸收原理的气体传感器具有选择性高的突出优势,但面临集成度不高、尺寸大、精度低以及核心部件依赖进口等问题。国内目前普遍采用进口传感器,或者购入半成品二次加工。近年来,在各大研究机构与高校的努力下,国内在自主设计红外传感器方面正在高速发展,但存在传感器灵敏度差以及量程小的问题。
基于此,本文基于双波段单气路设计,提出了一种基于红外热释电效应的微型化非分光红外CO2传感器。采用标定法,探究了温度补偿方法,测量了不同浓度、不同温度下探测器的输出值,建立了温度、CO2浓度与探测器输出值之间的关系模型,实现了传感器的温度补偿,使其能够在不同温度与不同浓度的环境下进行精确测量。
传感器设计
红外CO2传感器总体设计
本文所设计的红外CO2传感器由红外光源、气室、红外探测器、主电路系统四个主体部分组成,如图1所示。

图1 红外CO2传感器整体设计。(a)传感器结构原理图;(b)传感器截面图
光学气室很大程度上决定了红外CO2传感器的尺寸大小及其性能优劣,如今常见的气室类型有直射型、椭球型与反射型。综合现今不同类型红外光学传感器气室结构特点,为了实现传感器微型化同时保持高性能,本文设计了C型多反射式气室结构,增加光程,保证光与气体作用长度,并通过将光源发射、光传播及吸收、光电信号转换及信号处理等模块进行集成设计,得到高为8mm,直径为18mm的微型化气室,最大程度缩小了传感器的体积。最终实现直径为23mm,高为10mm的微型红外CO2气体传感器。
红外光源选用HSL5-115,其能够提供所需的红外波段的波长。红外探测器采用PYS3228探测器,其包含两路通道,一路通道前放置4.26μm波段滤光片作为吸收4.26μm附近波段的工作窗口,另一路通道前放置3.9μm波段滤光片作为吸收3.9μm附近波段的参考窗口。
采用单光路双波长差分设计思想,可以有效消除气室和光源以及杂质等的干扰,降低环境温度、粉尘、水分等干扰因素对系统的影响,从而减小测量误差,提高系统测量精度。系统工作流程为:首先单片机输出合理频率的光源驱动信号点亮红外光源HSL5-115,红外光源发出的红外辐射经过气室内气体吸收后,透过PYS3228探测器前端滤光片的4.26μm波段和3.9μm波段的红外辐射照射到敏感元产生电信号,电信号经过信号处理与滤波后,输入单片机内ADC采集并结合温度信息处理,最终计算并输出气室内CO2气体浓度。
硬件电路与软件程序设计
红外CO2传感器硬件电路与软件程序均采用模块化设计,以降低系统耦合性。硬件主要由光源驱动电路、信号处理电路设计等组成。软件部分主要包括光源驱动程序,温湿度采集程序与数据处理程序等构成,并编写上位机以实时显示气体含量信息与环境温度信息。
气体浓度的测量与测试过程中的环境温度有干扰关系,对气体浓度测量具有较大影响。因此,使用温度补偿能够确保系统测量结果的准确性。环境温度采集电路采用的是温湿度芯片SHT20,以单片机作为主机通过IIC通讯读取温湿度传感器采集的温度值,并在单片机内部通过软件进行温度补偿。
传感器测试标定与分析
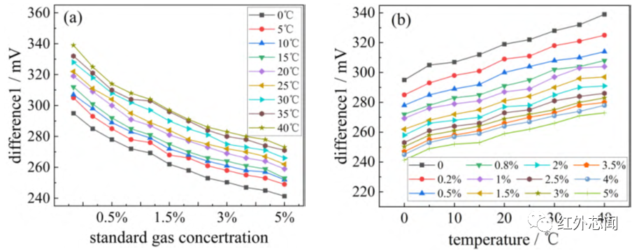
为了保证传感器的精度与检测范围,采用标准气体浓度标定传感器的方法。搭建传感器标定实验平台,如图2所示,主要有高低温潮湿箱,标准气体源、传感器工装组成。标定的结果如图3所示。

图2 传感器标定实验平台。(a)结构组成图;(b)实物图

图3 不同温度与不同浓度的标准气体的标定数据。(a)不同温度下峰峰值差值与浓度的关系;(b)不同浓度下峰峰值差值与温度的关系
由图3可以观测到,温度(t)影响峰峰值的差值(d1),进而影响输出的气体浓度,且可以注意到温度影响峰峰值差值近似为线性。将温度与峰峰值差值(d1)拟合,可以得到用于计算补偿后的差值(d)与温度(t)及峰峰值差值(d1)的关系式,并得到补偿后的差值(d)与标准气体浓度(C)之间的关系图,如图4。

图4 温度补偿后的峰峰值差值与气体浓度关系
结 论
CO2传感器在工业生产、生活与医疗诊断中有着非常重要的作用。本文根据红外吸收光谱原理,采用单气路双波长差分方法,设计实现了一种基于红外热释电效应的微型非分光红外CO2传感器。采用标准气体浓度标定传感器的方法,实现了传感器的温度补偿,使其能够在不同温度与不同浓度的环境下进行精确测量。该传感器实现直径为23mm,高为10mm的微型设计,0%~2%浓度下误差值小于0.1%,2%~5%浓度下误差值小于0.25%的精准测量。可为我国工业制造、生产生活环境中CO2浓度监测提供核心器件及技术支持,对保障安全生产及人体健康具有重要的现实意义。
更多信息可以来这里获取==>>电子技术应用-AET<<

