我们从19世纪下半叶就开始安装和使用双绞线电缆。进入21世纪,双绞线电缆仍广泛应用于高速数据通信。双绞线电缆(见图1)通常被作为电话线来使用,包括为数以百万计的家庭提供高速互联网连接的DSL服务。双绞线电缆还用于以太网连接以及电视机、计算机显示器等设备的HDMI和DVI连接。虽然双绞线电缆在日常生活中随处可见,但是对这种电缆的属性进行深入分析的文章却寥寥无几。
我们可以看到有大量资料在讨论同轴电缆、PCB迹线。虽然双绞线得以广泛运用,但阐述双绞线在各种情况中应用的资料却不多见。笔者在研究中发现缺乏双绞线电缆分析的原因是这种分析将很快陷入复杂的数学问题。在分析同轴电缆或PCB布局时,可以使用二维分析获得良好的电缆行为模型,但双绞线电缆本质上是三维结构—如果没有这第三维,那么双绞线和非双绞线就没有什么区别了。因此,本文旨在为设计人员提供双绞线电缆高速通信的概览,并识别从A点到B点获得高速数据可能遇到的问题。
双绞线电缆的一个最大优点是它允许信号在对称线对中发送,信号不是接地,而是接入双绞线电缆的对侧。在对称线对中,如果有干扰磁场或电场,它们将均匀接入双绞线对的两根线。由于接收器能识别双绞线对中两根线间的差异,因此干扰的影响被降低。由于对干扰的相对不敏感性,可以使用较小信号摆幅的差分信号,在相似环境中比单端系统省电。
差分电缆中的信号损耗
虽然在确定双绞线衰减特征中涉及的数学问题比同轴电缆复杂得多,但最终结果却是相似的—有三种损耗机制:
● 电阻性损耗:由电缆的电阻引起。这种影响与频率无关,而且非常小。在大多数情况下,这称不上影响因素。发送超低速数据信号或通过长距离电缆传送电力时,需要考虑这个因素。
● 趋肤效应损耗:其中,衰减根据频率平方根的函数增加。这种效应变为主要的衰减形式并不需要很高的频率,因此对大多数有用的双绞线电缆应用,这是主要的损耗来源。关于趋肤效应损耗的更详细描述,请参阅www.en-genius.net/includes/files/iot_011209.pdf《优异的电缆均衡器对工程师大有益处》。
● 介电损耗:随频率线性增加,但起初影响很低。
如果从数据传输速率角度考虑信号,在超低速率时,主要的衰减形式是电阻性损耗,但速率稍有增加,集肤效应损耗将起主导作用。一旦数据传输速率达到1Gbps或2Gbps,介电损耗开始发挥作用,并迅速占据主导地位。由于介电损耗与数据传输速率和电缆长度成正比,一旦发生介电损耗,情况将迅速变糟,这就是可以使用电缆的数据传输速率的上限。
类别电缆
通信使用的大部分双绞线电缆都是“类别电缆”,通常称为“3
类”电缆等(见表1)。1类和2类电缆目前很少见,3类电缆是推荐用于电话网络的最低标准。EIA/TIA标准 568B对3类、5e类和6类电缆都作了相应规定。
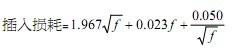
其中,每个类别的电缆都具有明确定义的特征。例如:按照 ANSI TIA/EIA-568-B.2,5e 类电缆的插入损耗必须小于或等于:

其中,f的测量单位为MHz,结果是每100米电缆的损耗值,单位为dB。
在此等式中,第一项代表趋肤效应损耗,第二项与介电损耗相关,用于找出介电损耗变为主导因素的临界点,我们要计算得出第一项和第二项相等时的f值。这发生在频率为4GHz时。
如图 2 所示,虽然介电损耗可能在频率达到4GHz后起主导作用,但在频率达到1GHz时,损耗已达到80dB。因此只有在超短行程下才适合使用电缆。

延长双绞线电缆有效距离的一种方法是使用自适应电缆均衡器,例如DS15EA101。DS15EA101配备模拟滤波器,具有与图2所示相反的特征,并采用可调整滤波器增益的伺服机制用于补偿电缆插入损耗。使用类似DS15EA101的电缆均衡器可以在数据传输速率为1Gbps时使5e类电缆的有效长度达到75米。
在很多情况中,如果使用双绞线电缆在链路上传输数据,通常采用串行器做驱动。很多串行器可以使驱动到电缆的信号预失真,升高信号的高频分量电压。在预加重过程中,高频分量升压,使信号过冲和下冲。由于预加重实际使峰-峰(p-p)间信号的摆幅增加超过标称值,如果使用的是较短的电缆,应该注意接收器是否可以接受此电压。另一种达到相同效果的方法是去加重。
通过去加重,使单位间隔的起始部分幅度保持不变,但在边缘过渡后短时间内,振幅降低到较低水平。这种信号看上去与预加重信号相似,但总体振幅较小。去加重利用了双绞线电缆和差分信号通常有足够抗噪声性能这一特点。提供可编程去加重的串行器例子是美国国家开云棋牌官网在线客服开发的DS32EL0421。此串行器可以产生速率高达3.125Gbps的串行数据流。
串音和干扰
如上所述,双绞线电缆的一个优点是对干扰的相对免疫能力。虽然具有这种抗干扰性,但干扰仍可能对双绞线通信系统产生不良影响。双绞线电缆的一项有用功能是在一股中可以具有多对双绞线,因此很容易通过安装一根电缆获得多对导线。然而这也有不利之处:串音。如果在一股中使用多对双绞线,它们不可避免地会相互干扰。可以使用多种方法降低电缆中的串音,其成本和效果不尽相同。
最常用的降低串音的方法是电缆中使用不同的对绞率。对绞率或对绞间距通常被定义为每米的对绞数。如果两对绞线具有不同的对绞率,当它们彼此相邻时,其中一对产生的干扰通常被消除。如果不同的对绞率没有为两对绞线之间提供足够的隔离效果,可以使用另一种方法——屏蔽双绞线(STP)电缆。
STP中的每对绞线包有一层薄箔,将所有双绞线对裹在一起。如果安装正确,薄箔将在电缆每端接地,这就提供了一个有效的屏障,阻止一对绞线产生的电磁场干扰电缆中的另一对绞线。虽然STP比常用的无屏蔽双绞线(UTP)提供更好的绞线对间隔离,但STP也有以下几个缺点:
● STP比UTP价格更贵;
● STP比UTP更难安装;
● STP比UTP体积更大。
近端串音
包含多个双绞线对的电缆通常存在的问题是电缆中不同绞线对可沿相反方向发送数据。在这种情况下,串音将成为更严重的问题。假定系统使用100米5e类电缆从A点向B点发送带宽为300MHz的信号,同时,从B点向A点返回信号。参考图2,我们发现可能有大约40dB的信号衰减,这需要电缆均衡器恢复信号,但仍然可以实现。
现在考虑接近A点的电缆部分的串音问题。从B点发送的信号衰减了
40dB,但从A点发送的信号仍具有完整强度,因此成为非常强势的信号!即使少量的串音都可能消除收到的信号,并使其无法恢复。这被称为“近端串音”或“NEXT”。大多数电缆制造商都指定双绞线电缆的近端串音,类别电缆指定各电缆的最大允许近端串音。
在上例使用的5e类电缆的情况中,允许的近端串音由以下方程式指定:

以 300MHz 的最大允许串音为例,我们发现只能保证近端串音小于28dB。假设收到的信号降低40dB,我们将很难恢复信号。

这种情况下有几种选择。一种是使用更高等级的电缆,例如6类电缆的损失较小。保证近端串音降低约10dB,所以容限也得到显著改善。
也可使用成本/质量更高的电缆,如7类电缆。7类电缆中每对双绞线覆有箔屏蔽,这为相邻绞线对之间提供更有效的隔离,但成本更加昂贵,安装也更为复杂。
另一种使传输的信号少受干扰的方法是限制高频的使用和能量。如果您的发送器具有预加重功能,只有在非常必要时才可使用。
双绞线电缆中的“噪声”
当信号在受控制的阻抗线中传输并遇到阻抗不连续时,不连续的地方会产生反射。如果传输线具有多处小的不连续,所有这些反射累加,各自都有相应的延时,将会形成噪声。对于双绞线电缆,阻抗取决于双绞线对中两根线的对齐度。因此,如果双绞线电缆被“扭折”或被迫形成超出电缆规定值的小半径弯曲,或者在管道中被强行拉长或以其他各种方法错误使用,这些微小的阻抗不连续将存在于整个电缆中。直接的结果是在检验收到的信号时,将显示为多噪声。因此,谨慎安装双绞线电缆很重要。
结语
从电话到等离子电视机每秒几千兆位的HDMI连接,双绞线电缆无处不在。双绞线电缆的广泛使用源于它的独特优点——价格低廉,易于使用和安装,并且类型广泛能够满足各种应用的需求。虽然具有这些优点,设计人员仍需要注意双绞线电缆的某些问题。例如,双绞线产生的衰减大于同轴电缆,串音(尤其是近端串音)可能成为严重的缺点。此外,在临界状况下使用双绞线电缆时,可能由于处理不当影响性能。所以,只要设计人员注意这些缺点并妥善处理,双绞线电缆通常是从A点向B点传输高速数据的最佳解决方案。
