1 引言
开关电源以体积小,重量轻,功耗低,效率高,纹波小,噪声低,智能化程度高,易扩容等,逐渐替代工频电源,广泛应用于各种电子设备。高可靠性、智能化及数字化是开关电源的发展方向。音响功放要求电源随着负载变化自动调整输出电压,进而调节功率,以提高电源动态性能,降低音响功放内部损耗,但目前的开关电源无法实现。选用TMS320F2812型DSP作为功放开关电源的主控制器,设计一种低功耗。适用于大型功放系统的新型的智能功放开关电源。
2 智能功放开关电源设计
图1为智能音响功放开关电源的总体原理框图,主电路采用交一直一交一直的结构。输入工频220 V交流电路经滤波电路后,再经单相桥式整流电路输出直流电压;变换电路采用全桥移相逆变电路将前端直流电变换为高频的交流电.然后经二次整流滤波输出稳定的直流电压;检测电路对输出电压信号采样后,送入控制电路,通过改变控制电路输出脉宽占空比来调节输出电压;保护电路实现过压和过流保护;功率检测电路对变换电路电流采样,当输出功率超过500 W时,产生过功率检测信号,驱动控制电路,降低输出电压:辅助电源电路为控制电路和各种运放供电。

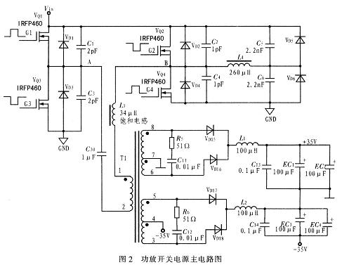
2.1 功放开关电源模块
图2是功放开关电源的主电路,其中Vin是220 V交流输入经前端滤波和全波整流得到,电压为300 V。为全桥逆变电路的输入电压。VQ1、VQ2、VQ3、VQ4为IRFP460型大功率MOSFET,用作变换器开关管。由于IRFP460型MOSFET是多数载流子器件,开关速度极快,开通和关断时间的典型值一般20 ns,具有较高的击穿电压和较大的工作电流。此外,MOSFET的输入阻抗高,驱动电路较简单,只要在栅源之间加10 V左右的电压,就可使其饱和导通。L4、C5、C6构成辅助谐振网络,考虑到变压器原边漏感,谐振电感LT的取值一般比实际值小,这里选用电感值为34 μH的非线性饱和电感1μF的,考虑到高频脉冲变压器T1磁饱和问题,原边绕组串接防偏磁电容,VD15和VD16,VD17和VD18分别为全波整流二极管,L1、C13、EC1、EC2和L2、C14、EC3、EC4分别为+35 V和-35 V输出回路的滤波电路。

2.2 功放开关电源模块控制电路
该控制电路以DSPTFMS320F2812为核心,主要包括产生移相脉冲波形、实时采样、功率调节、过压保护、过流保护、过功率保护、滤波算法和全桥移相算法等功能。采用TMS320F2812内置的16路12位高分辨率A/D转换电路实现电压、电流实时采样.每通道的最小转换时间为80 ns,A/D转换电路的输入信号电平范围为0~3 V。采样后,通过软件编程调整驱动全桥逆变器开关管的PWM波形移相角,实现稳压,同时当输出电压、电流过高或欠压时,DSP调用相应的子程序处理突发异常事件,起到保护作用。同时通过A/D采样输出电压电流信号进行运算,可精确测量输出功率,并调整事件管理器相关寄存器的值来调节输出电压。
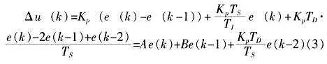
控制器的动态特性和稳压精度等性能与调节器设计密切相关。在功放开关电源的设计中,采用增量式PID控制算法。
电源设计中的数字控制均采用数字采样控制,即根据采样时刻的偏差值计算控制量。PID控制的离散形式为:

式中,Ts为采样周期。
式(1)为是位置式PID控制算式。为增加控制系统的可靠性,采用增量式PID控制算式,即DSP只输出控制量u(k)的增量,式(1)是第K次PID控制器的输出量,那么(K-1)次PID控制器的输出量为:

因此,增量式PID控制算法为:


式(3)和式(4)就是该控制程序的增量式PID控制算式。增量式PID控制与位置式PID控制相比仅算法不同,但它只输出增量,减少了DSP误操作时对控制系统的影响,而且不会产生积分失控。图3为基于TMS320F2812的PID控制器的实现框图。

2.3 功放开关电源的软件设计
基于DSP的功放开关电源的软件设计主要实现以下功能:
(1)全桥移相脉冲的产生 利用TMS320F2812事件管理器中两个比较单元直接输出电路脉冲。从移相基本原理来看,滞后桥臂相对于超前臂之间的驱动有一个周期性延时,其延时角即为移相角。设定由比较单元1输出的PWM1/PWM2分别驱动超前臂开关管VQ1、VQ3,由比较单元2输出的PWM3/PWM4驱动滞后臂开关管VQ4、VQ2。每个桥臂上下两管之间的驱动脉冲互补且带死区,固定超前桥臂的驱动在每周期的0时刻发出,则只要延迟移相角φ对应的时间,再发生比较事件则可得到滞后桥臂的驱动脉冲,从而实现0°~180°范围内的自由移相。
(2)过压、过流、过功率的检测和保护 基于DSP的功放开关电源具有过压、过流、过功率、过热等保护功能。发生异常时.系统进入异常中断服务子程序进行处理,并及时闭锁PWM输出。为防止误动作,设定连续读取20个异常信号才认定为电路异常,否则不处理。各模块程序流程如图4~图6所示。



3 实验结果
依据前面的分析设计一台样机,开关频率为100 kHz,输出电压为±35 V和±42 V。对基于DSP控制音响功放开关电源进行带载实验,在轻载和重载条件下,输出电压纹波系数小于0.5%,输出电压精度小于O.5%。
图7为DSP的移相波形。其中,通道1为比较单元1的PWM1输出,为超前桥臂;通道2为比较单元2的PWM3输出。从图7可清楚看到通道2滞后通道1约135°。图8为滞后桥臂零电压开通临界波形,输入电压约为175 V,输出功率为100W。图8中通道1为功率MOS管栅源电压Vcs波形,通道2为功率MOS管漏源电压VDS波形。关断VDS时为175 V,由图8可看到VDS先降到0,然后Vcs上升。此时开通开关管为零电压开通。负载越重,零电压开通现象越明显。在输出功率400 W时,输入功率为440 W,全桥移相变换器的转换效率为90.9%。


实验结果表明:基于DSPTMS320F2812的功放开关电源输出波形良好,谐波含量少,可调节性优良,负载在全范围变化时,开关电源能够保持良好的输出性能,而且由于采用全桥移相软开关变换器,开关管工作在零电压开关状态,因此整个电源系统的功耗小,在高端大功率功放音响中具有较好的应用前景。
4 结论
将DSP作为音响功放开关电源的控制核心,实现了开关电源的数字控制,克服模拟控制系统中元件老化、热漂移等问题,并解决单片机控制电路负载、运算精度不高的问题。把全桥移相电路运用在音响功放开关电源中,有效地降低功放开关电源的内部损耗,使其应用于大功率音响功放系统。
利用TMS320F2812的软件硬件资源,实现PWM控制、滤波、采样及各种系统保护功能,简化控制电路,提高电源设计和制造的灵活性;另外该控制器可控性好,易扩展,容易升级维护。
