1.引言
RFID(射频识别)技术是从上世纪80 年代走向成熟的一项自动识别技术,近年来发展十分迅速。其技术的覆盖范围广泛,许多正在应用中的自动识别技术都可以归于RFID 技术之内,但它们的工作原理、工作频率、技术特点、适用领域以及遵循的标准却是不同的。 RFID 系统的工作频率,主要有125KHz、13.56MHz、400MHz、860~960MHz、2.45GHz、 5.8GHz 等多个频段。
但是,不同的国家和地区的对频率的分配和最大发射功率的规定是不 同的。在某些地区,某些频段的RFID 产品可能是被禁止使用的。其中13.56MHz的RFID国际标准有ISO14443和ISO15693两种。
ISO14443又分为Type A 和 Type B两中。其中Type A 以飞利浦的Mifare one 为代表, Type B有代表性的是目前我国正 在发行的*。ISO14443是近耦合通讯协议,通讯距离小于10cm. ISO15693是疏耦合通讯协议,通讯距离可以达到1.5m.
在ISO15693协议中,为了从阅读器到疏耦合IC卡的数据传输,不仅使用了10%的ASK调制,而且还使用了100%的ASK.此外,有两种不同的编码方法:一是“256中取1”,另一种是“4中取1”。
这部分电路通过Cadence spectre 仿真环境进行了仿真,并通过SMIC CMOS 0.18um one play four metal工艺流片验证。
此RFID技术采用独创的一项新的RFID芯片技术,不同于常规RFID芯片,此RFID没有采用传统EEPROM存储器,而是应用了彭泽忠博士发明的存储器技术-XPMTM(超级永久性存储器)技术。XPMTM,即Super Permanent Memory(超级永久性存储器)。我们起名为X-RFID,X-RFID 具有高安全、低价、可靠性高和容量大等特点,可广泛应用于图书管理、证件防伪,景点会议门票,产品防伪,电子钱包,资产管理,单品管理,物流和供应链管理等众多领域。
本文的重点讲述X-RFID芯片高频模拟接口模块的设计.下面第二节和第三节描述了RFID 芯片的整个系统结构。第四节描述了13.56MHz RFID系统的电感耦合仿真模型和仿真结果。 第五节得出了结论。
2.应答器芯片的工作原理和系统结构
13.56MHz 符合ISO15693协议标准的RFID的系统结构如图1所示. 这个芯片是通过电感耦合的方式来获得芯片工作需要的电源,所以称为无源RFID芯片.主要结构包括: 模拟前端 接口电路, 数字逻辑控制电路和Memory电路.此芯片只有2个PAD连接外部天线. 模拟前端接 口电路包括: 全波桥式整流电路、稳压电路、高压保护电路、调制电路、解调电路、上电复 位电路、时钟提取电路。

图 1 系统结构框图
当 RFID 标签芯片进入到读卡器的磁场范围内时,通过RFID 标签芯片的天线和读卡器 天线之间的耦合,13.56Mhz 的交流正弦波信号传到全波桥式整流电路,然后转变成直流电 压,通过稳压电路稳压到需要的电压值给数字逻辑控制电路和Memory 电路作为电源使用。
由于读卡机发出的磁场强度跟与读卡机的远近距离有关,在离读卡机距离近的地方磁场强度 大,离读卡机距离远的地方磁场强度少,当RFID 标签芯片离读卡机距离很近时,由于磁场 强度很大,RFID 标签芯片天线两端耦合过来的电压值很高,如果不进行高压保护的话,会 对RFID 标签芯片内部电路造成损坏,所以高压保护电路必不可少。读卡机和RFID 标签之间 的通讯是采用半双工的模式,读卡机发出的指令通过ASK 调制叠加到载波上发送给RFID 标签 芯片,RFID 标签芯片通过自己内部的解调电路把指令解调出来送到数字逻辑控制电路进行译码,然后处理相应的指令。RFID 标签芯片的数据的返回通过自己内部的调制电路把数据叠加到读卡器发出的载波上发送给读卡机,读卡机通过自己内波的解调电路把数据解调出来。这样读卡器和RFID 标签完成互相通信。
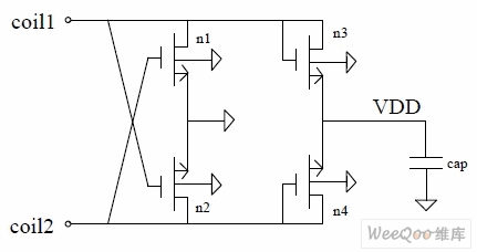
2.1 全波桥式整流电路
全波桥式整流电路把天线耦合过来的13.56MHz正弦波信号装换成直流信号,通过稳压电路后提供给数字逻辑控制电路和Memory电路的VDD和GND.电路图如图2所示。

图 2 全波桥式整流电路
图中n1和n2中两个NMOS晶体管作为开关源极接GND,漏极接天线的两端。而n3和n4中两个 NMOS晶体管作为二极管使用,栅极和漏极连接在一起接天线的一端,源极接电源VDD,VDD 通过一个大电容接地,此大电容为储能电容,即存储天线耦合过来的电荷,提供给内部电路 作电源VDD。

其中:Vm 是天线正弦波信号的峰峰值, Vth是NMOS晶体管的阈值电压。
2.2 时钟产生电路
时钟产生电路如图3 所示,两个反相器电路组成了锁存器电路.信号相位相反的 13.56MHz 的正弦信号通过天线端coil1 和coil2 加到NMOS 管M7 和M8 上,当coil1 为高电 平信号时, coil2 就为低电平信号,这时NMOS 管M7 导通,M8 截止. 当coil1 为低电平 时,coil2 就变为高电平,这是NMOS 晶体管M7 截止,M8 导通. 通过这种交替控制,时钟产生电路产生了13.56MHz 的方波时钟信号。

图3 时钟产生电路
2.3 偏置产生电路
偏置产生电路如图 4 所示, PMOS 晶体管M1 和M2 还有电容CAP 组成了偏置电路的启动 电路。PMOS 晶体管M3 和M4 还有NMOS 晶体管M5 和M6 和电阻R 组成了与电源电压无关的电 流偏置。

图4 偏置产生电路
由于M3 晶体管的宽长比是M4 的N 倍,而由于M5 和M6 的宽长比一样,根据电流镜的原理, 流过M5 管的电流I5 和流过M6 管的电流I6 相等.而

由于上式都是常数,所以,我们可以得到一个与电源电压VDD 有固定差值的偏置电压Vbias。
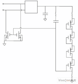
2.4 高压保护电路
高压保护电路如图 5 所示, 高压保护电路在RFID 标签芯片中很重要,因为当读卡器发出的磁 场强度很大时,而RFID 标签芯片又离读卡器天线距离很近时, RFID 标签天线两端coil1 和 coil2 感应的电压可以达到上百伏,如果不加高压保护电路的,对芯片内部的器件回造成损 坏。
当coil1 和coil2 感应的电压经过整流电路后,输出的电压如果大于M3、M4、M5、M6 和R2 的压降时,就对coil1 和coil2 电压进行限压。从而保护coil1 和coil2 的两端电压在正常范围内。

图 5 高压保护电路
2.5 稳压电路
稳压电路如图 6 所示。在RFID 标签芯片中,需要有一个较大的电容储存足够的电荷供标签在输入能量较弱的时候当作电源来使用。如果输入电压过高,电源电压升高到一定程度,稳压电路中泻流电路就要起作用,把电容上多余的电荷释放掉,以达到稳压的目的。图6 中的稳压电路采用5 个PNP 三极管,这种稳压电路做到了采用最少的器件达到稳压的效果。 由于PNP 的Vbe 电压在0.7v 左右,所以5 个三极管的稳压在3.5v 左右。当电压超过3.5v 后,电流会功过PNP 的发射极到集电极的通路把电荷释放掉。很好的起到限压的效果。

图 6 稳压电路
2.6 调制电路
调制电路如图 7 所示。MOD_DATA 是数字逻辑输出的调制数据信号.用来控制M5 管和M6 管的通断.从而改变天线两端的并联谐振电路阻尼的强弱,实现幅度调制的功能.来完成从 RFID tag 到读卡机的数据传输。

图7 调制电路
3. 电路仿真结果
从图 8 的仿真结果来看: 电路在10%和100% ASK 调制模式下,电路都能正确的解调出正 确的读卡机发出来的指令. 并且产生20us 的POR 信号. 在tag 返回数据的时候, 电路的 modulator 功能正确,可以在天线上产生大于10%的ASK 调制,从而使返回的数据可以被读卡 器接收.图9 是tag 返回数据的数据和天线的波形图。

图8 100%和10% ASK 调制仿真结果

图9 调制的数据和天线的波形图
4.结论
基于 SMIC 0.18um one poly four metal 标准CMOS 工艺设计的符合ISO15693 国际标准协议的RFID 射频前端电路. 电路仿真的结果表明: 此射频前端电路可以有效地从 13.56MHz 的RF 信号中恢复出直流电压1.8v, 并提出数字部分需要的时钟,和解调出指令数 据.整个芯片的版图照片如图10 所示.芯片的面积为960um*600um.流片后测试发现在7.5A/m 场强下可以工作在12CM.满足设计规格要求。

图 10 整个芯片的照片
本文作者创新点:在标准0.18um CMOS process 上实现了满足ISO15693 国际标准的 RFID 射频前端电路的设计,并流片验证通过。而且成功的把XPM 存储器技术(标准CMOS 的One time program memory)集成到RFID 芯片中, 实现了世界上第一次采用XPM 存储器技 术成功的RFID 芯片。
