0 引言
基于控制器IC的可调光LED驱动器通常采用的调光方式有两种,即数字PWM调光和模拟DC电压调光。基于相位控制的TRIAC传统白炽灯和卤素灯调光器若用于LED的调光控制,会产生100Hz或120Hz的闪烁,而且调光范围非常窄。最近美国国家开云棋牌官网在线客服(NS)公司推出一种带有TRIAC调光译码器的离线式AC/DC降压(buck)恒流LED控制器LM3445,允许利用标准TRIAC调光器对LED进行宽范围的平稳无闪烁调光,打破了传统TRIAC调光器应用与LED节能照明的一个瓶颈。
l LM3445的主要特点
LM3445与先前的同类离线式AC/DC降压恒流LED驱动器IC比较,其主要特点是在芯片上设计了TRIAC调光译码器电路,能传感AC线路TRIAC调光波形,并将其转换成控制LED电流的调光信号,几乎能在从0%到100%的调光范围内实现无闪烁LED亮度调控。LM3445的其它特征主要有:
(1)AC输入电压范围为80~270V,适用于国际通用AC线路;
(2)能够控制大于1A的LED电流;
(3)适合配置无源(被动式)功率因数校正(PFC)电路,满足能源之星固态照明(SSL)商业应用要求;
(4)支持主/从控制功能的多芯片解决方案,使用一个TRIAC调光器和一个主LM3445,便能控制多个基于LM3445的从属降压变换器驱动的多串LED;
(5)提供VCC欠锁定、门限是165℃的热关闭保护和电流限制;
(6)固定关断时间可编程,开关频率可调节;
(7)采用10引脚MSOP封装,结温范围为一40℃~+125℃。
2 基于LM3445的TRIAC调光离线LED驱动电路
1)基本电路
LM3445的内部结构及由其组成的TRIAC调光离线式LED驱动电路如图l所示。这种AC—DC恒流LED驱动电路主要含有五个部分,即TRIAC调光器、桥式整流器BR1、整流线路电压检测及调光译码器电路、无源功率因数校正(PFC)电路和降压(buck)式DC/DC变换器电路,整个系统的核心是LM3445。

2)电路工作原理
(1)TRIAC调光器
在图1中,串联在桥式整流器BR1输入端的TRIAC调光器采用传统基于相位控制的电路,如图2所示。R1、R2和C1值决定C1上电压达到双向触发二极管(DIAC)触发电压(约32V)之前的延迟时间。对于负载是白炽灯时,R1值减小,TRIAC的导通延迟缩短,导通角增加,灯亮度则增强;反之,若R1值增加,TRIAC导通角将减小,灯光则变暗。

在图1中,TRIAC调光器被串接在AC线路输入端,通过LM3445的调光译码器电路,可以控制LED串的电流,实现亮度调控。
(2)TRIAC调光译码电路
TRIAC调光译码电路由整流线路电压感测电路、TRIAC导通角检测电路和调光译码器电路三部分组成(见图1)。
①线路电压感测
位于桥式整流器之后的R1、15V的齐纳二极管VD1和VT1组成一个串联通路整流器,将整流的线路电压转换为一个适当的电平被IC(LM3445)的引脚BLDR感测。由于VT1源极未连接电容器,当线路电压降至15V以下时,允许IC引脚BLDR上的电压随整流电压升高和降低。R5的作用有两个:一是用作泄放IC引脚BLDR节点寄生电容的电荷;二是在小电流输出上操作时,为调光器提供所需要的保持电流。
二极管(肖特基型)VD2和电容C5的作用是,当IC引脚BLDR上的电压变低时,维持IC引脚VCC上的电压,使IC能够正常操作。
②角度检测和调光译码器
TRIAC导通角检测电路利用一个门限为7.2V的比较器监视IC引脚BLDR来确定TRIAC是导通或者关断。比较器输出经4μs的延迟线控制一个泄放电路并驱动一个缓冲器。缓冲器输出(引脚ASNS)摆幅被限制在0~4V,经R1和C3组成的低通滤波器滤波,通过IC引脚FLTRl输入到斜坡比较器(反相端),与斜坡产生器产生的5.88kHz、l~3V的锯齿波相比较,斜坡比较器输出驱动引脚DIM和一个N沟道MOSFET。MOSFET漏极上的信号经内部370kΩ和IC引脚FLTR2上的电容C4组成的(第二个)低通滤波器滤波,输至内部PWM比较器。调光译码器输出一个幅度从0~750mV变化的DC电压,相应的调光器占空比是从25%到75%变化,TRIAC导通角范围从45℃到135℃,从而直接控制LED的峰值电流,获得几乎从0%到100%的调光范围。
(3)无源PFC电路
电容C7和C9以及二极管VD4、VD8、VD9组成部分滤波填谷式无源(即被动式)PFC电路。用其替代一个传统大容量滤波电容器,可以改善线路功率因数。电容C10(10nF)在C7和C9充电时,可以衰减电压纹波。无源PFC电路输出电压Ubuck,作为降压变换器的DC总线电压。
在没有TRIAC调光器接入的情况下,当AC线路电压高于其峰值的1/2时,VD3和VD8导通,VD4和VD9截止,电容C7和C9以串联方式被充电,并且电流会流入负载。当AC线路电压低于其峰值的l/2时,VD3和VD8反向偏置,而VD4和VD9正向偏置,C7和C9以并联方式放电,电流流入负载。图3所示为不带TRIAC调光器时AC线路电压UAC、整流电压UBR1和PFC电路输出电压Ubuck波形。由图3可知,虽然Ubuck波形很不平滑,但在AC线路半周期内的电流导通角达120°(即从30°到150°),线路功率因数达0.9以上。而只用单个大容量电容滤波虽然能获得比较平滑的DC电压,但电流流动角仅约60°(即从60°到120°),线路功率因数不超过0.6。

加入TRIAC调光器时的相关电压波形如图4所示,其中θ为TRIAC的导通角。

(4)DC—DC降压变换器
控制器LM3445、功率MOSFET(VT2)、电感器L2、二极管VD10、电阻R3和电容C12等,组成开关型DC—DC降压变换器,用来驱动LED串。
当LM3445引脚GATE上的PWM信号驱动VT2导通时,通过L2和LED串的电流线性增加,并被R3感测。当R3上的电压等于在IC引脚FLTR2上的参考电压时,VT2则关断,L2释放储能,VD10导通,电流通过LED串和L2,并从其峰值线性减小。C12用作消除大部分电感L2的纹波电流,R4、C11和VT3为设置固定关断时间提供一个线性电流斜坡信号。
3 主要参数与元件值的计算
LM3445可以在80~270VAC的通用AC线路上工作,现设输入电压范围是90~135VAC,开关频率fsw=250kHz,变换器效率η≥80%,LED正向压降UF=3.6V,通过LED串的平均电流ILED=400mA,串联LED的数量n=7,LED串的总电压降则为ULED=nUF=7×3.6V=25.2V。因篇幅所限,在此我们仅重点介绍无源PFC电路和降压变换器中主要元件的选择。
1)填谷式无源PFC电路元件的选择
在没有TRIAC调光时,填谷式电路电压Ubuck波形如图5所示。对于60Hz的线路频率,半周期时间是8.33ms。AC电压在30°和150°上的值为峰值的1/2,保持时间tx为半周期的1/3,即8.33ms×(1/3)=2.78ms。在90VAC的低线路电压上,Ubuck最小值为
![]()
C7和C9的总电容量C可根据公式i=C(dU/dt)来计算。在电容中的电流为

设在低线路电压和满载时的Ubuck降落dU=15V,由于dt=2.78ms,因此C7和C9并联电容值为C=i·dt/dU=157.5mA×2.78ms/15V=29μF可以选择C7=C9=22μF。
由于Ubuck的最大值为
C7和C9的额定电压选择200V是允许的。二极管VD4、VD8和VD9可选用200V、1A的RF07lM2S或等同器件。

VD3选用与VD4、VD8、VD9相同的二极管,C10选用10nF/250V的薄膜电容器。
2)降压式变换器元件选择
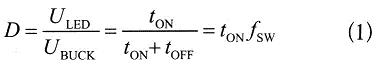
有些元件值的计算都与变换器关断时间tOFF有关。降压变换器在理想情况下的占空因数可表示为:

考虑到变换器效率η,占空比D为:

由(1)式得到:

将式(2)代入式(3)得:

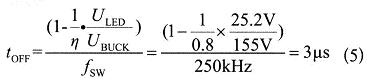
式中:η=80%,ULED=25.2V,fSW=250kHz。在110VAC输入电压上,填谷式电路的电压根据式(4)可得:


通过R4的电流ICOLL在50μA与100μA之间,选择ICOLL=70μA,R4=ULED/ICOLL=25.2V/70μA=360kΩ。R4选用365kΩ的标准电阻。
根据公式i=C(dU/dt),通过R4和C11的电流为ULEd/R4,电流进入到C11产生一个线性充电特性,IC引脚COFF内部比较器(见图1)门限为1.276V,因此C11=(ULED/R4)(tOFF/1.276V)=(25.2V/365kΩ)(3μs/1.276V)=162pF
C11选用120PF的标准电容值。
电感器L2纹波电流△iL2按电感平均电流的30%来选取,△iL2则为ILED×30%=400mA。在关断期间,L2上的电压△UL2=ULED,△t=tOFF,根据公式△UL2=L2(△iL2/△t)得:
L2=(ULED×tOFF)/△iL2=(25.2V×3μs)/120mA=630μH
在非调光情况下和连续导电模式,iL2的峰值电流为
iL2(PK)=IAVE+△iL2/2=ILED+120mA/2=460mA
当电感电流达到峰值时,IC内控制MOSFET关断,此时R3上的峰值感测电压是750mV。因此,R3值为:
R3=750mA/iL2(PK)=750mV/460mA=1.63Ω
选择R3=1.8Ω。
C12选择lμFl50V的电容,VD10选择50V、1A的二极管。
在图1中,其他元件选择如下:
BRl选用400V、0.8A的HD04-T,VD1选用15V的DZX84C15LT1G,VD2选用40V、120mA的BAS40H,VT1和VT2选用400V、4A的FQD7N30TF,VT3选用100V、170mA的PNP晶体管,R2=100kΩ,R5=1kΩ,C5=22μF/50V,C3=470nF/16V,C4=100nF/16V。
4 结束语
LM3445是含有TRIAC调光译码器的固定关断时间AC/DC降压恒流LED驱动器。基于LM3445的离线式LED照明电源,利用传统白炽灯TRIAC调光器,能够对LED串进行宽范围平稳无闪烁调光,实现100:1的调光比,从而解决了标准TRIAC调光器应用于LED调光的瓶颈。
