0 引 言
长期以来,对生物组织电性质的研究一直是生物医学工程学关注的热点。生物组织的电学性质是人们认识生命物质的一个重要方面。
生命物质电阻抗作为一个重要的电参数,在电性质研究中占有很重要的地位,生物组织生理病理特性可以通过电阻抗来反映。许多研究表明,生物组织电特性的频率依赖性很强,因此,对生物组织电特性的研究常采用多频电阻抗法。目前,国内外学者已经通过研究生物组织的阻抗特性预测早期疾病、治疗过程中的监护、区分正常组织和病变组织等。在这些研究报道中发现,对相关生物组织的阻抗特性主要使用现成的阻抗分析仪测量,这些仪器均非针对生物组织而设计,因此存在对测量对象造成破坏、非实时、价格昂贵等问题。同时对生物组织频谱测量系统的研究也在逐渐展开,并有少数的国外相关报道。因此,在这些研究的基础上,总结并设计一种先进、优化、方便快捷的生物电阻抗测量系统。该系统能全自动、在很短时间内完成从1 Hz~10 MHz的逐频扫描,并记录和显示各频率点对应的幅值和相位。同时,系统可以和PC机相关联,具有很强的可扩展性。
1 测量原理
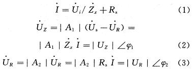
生物组织在不同的频率下,具有不同的阻抗特性。对生物组织阻抗特性测量采用两电极法,电路由电极和组织组成的电极系统Zx及无感容的标准纯电阻Rs串联组成。由于信号源产生的电压只有毫伏,检测到的Zx和Rs两端电压通过同比例放大后的电压为UZ和UR。设信号源输出电压Ui=Umsin(ωt)。同时信号源Ui,UZ和UR之间的关系满足平行四边形法则,通过Zx和Rs的电流I,UZ和UR可表示为:

通过式(2)和式(3),可以计算得式(4):

因此,通过测量和计算就可以获得生物组织的幅频和相频特性。
2 生物电阻抗频谱测量系统
2.1 系统总体
生物阻抗频谱测量系统原理如图1所示。该系统主要包括电源模块、实验平台、信号检测、MCU、液晶显示、键盘、SD卡存储器、USB接口等。

实验平台是由测量对象和电极组成的电极系统,其中电极采用自制的共面电极,如图2所示。首先在合适的测量环境下,准备好测量对象,启动测量系统。单片机通过控制DDS芯片产生由低频到高频的正弦信号,作用于电极系统,测量系统对信号处理后通过单片机内部的A/D转换,将数据存储于单片机内。单片机通过对数据分析处理,将不同频率时|Zx|和θ(ω)的值通过液晶对应显示,同时将数据存储在SD卡中。PC机可以通过USB接口直接读取SD卡中的信息并分析。

2. 2 信号源部分
信号发生器是系统的重要组成部分,要保证输出的正弦波信号失真小,幅值稳定且具有幅值、相位和频率可调的功能。该系统采用直接频率合成(Direct DigitalSynthesizer,DDS)技术,选用AD9852芯片来产生电压信号。AD9852是美国Analog Devices公司生产的新型直接数字频率合成器,具有频率转化速度快、频谱纯度高、工作温度范围宽、集成度高等特点。工作电压为3.3 V,片内有4~20倍可编程时钟乘法电路,系统最高时钟可达300 MHz,输出频率可达120 MHz,频率转化速度小于1μs。内部有12位D/A转化器、48位可编程频率寄存器和14位可编程相位寄存器,具有12位振幅调谐功能,能产生频率、相位、幅度可编程控制的高稳定模拟信号,完全能满足实验要求。信号源的电路原理框图如图3所示。

信号源的时钟采用外接一个20 MHz的有源晶振,通过内部时钟乘法器倍频得到系统时钟。由于DDS芯片直接输出的信号中带有内部时钟的干扰成份,为了抑制杂散,在AD9852输出端要加低通滤波器。
AD9852的最大输出幅度由5,6脚的电阻器RSET决定,RSET=39.93/IOUT。AD9852输出电流范围是5~20 mA。在输出典型值为10 mA时,可提供最好的SFD(Spurious Free Dynamic range)性能,因此选择RSET=3.9 kΩ。而数模变换器的输出电压幅度为-O.5~+1 V,输出信号功率不能直接满足要求,所以还要对输出信号进行放大。
2.3 测量部分
测量电路如图4所示。

从理论分析可知,选用芯片AD8302可以得到从电极输出的两路信号的幅度比和相位差。AD8302是美Analog Devices公司生产的专门用于幅度和相位测量的首款单片集成电路,它能同时测量从低频到2.7 GHz频率范围内两输入信号之间的幅度比和相位差。它内部含两个精密匹配宽带对数检波器、一个相位检波器、输出放大器组、一个偏置单元和一个输出参考电压缓冲器等。该器件将精密匹配的两个对数检波器集成在一块芯片上,因而可将误差源及相关温度漂移减小到最低限度。
AD8302的幅度和相位测量原理主要基于对数放大器的对数压缩功能,其一般数学表达式为:VOUT=VSLPlog(VIN/Vz)其中VIN为输人电压,Vz为截距,VSLP为斜率。AD8302正是利用上述对数压缩原理,通过精密匹配的两个宽带对数检波器来实现对两输入通道信号的幅度和相位的测量,其方程式如下:

式中:VINA和VINB分别为A,B两通道的输入信号幅度;φ(VINA)和φ(VINB)分别为A,B两通道的输入信号相位;VCP为参考电压VCP=900 mV;RFISP=30 mV/dB;RFIφ=10 mV/(°)。
因此,两路电压信号经过AD8302输出增益和相位电压值;再通过C8051F340单片机内部自带的10位ADC转换后,取到增益和相位具体参数,计算后可直接得到被测的阻抗。
2.4 其他部分
在本系统的设计中除了信号源和检测部分,键盘、显示、数据存储等部分也是必不可少的。键盘主要用来设置信号源参数,包括信号的起止频率、频率步进、开始和复位等。键盘采用3×2矩阵式结构。
显示部分选用EDM12864B型图形点阵式LCD液晶显示模块,主要用来显示信号参数的具体设置信息和输出状态,如当前输出信号的频率和幅值.测量对象的频谱特性参数值(幅值和相位)等。
外部数据存储器采用SD卡。这种模式方便快捷,当测量结束后,将测量数据存入SD卡中;然后取下SD卡,插入到读卡器中,可以直接在计算机上读出数据文件并处理数据。另外,在该系统上还设计了USB接口。当连接USB与计算机,通过程序的控制,可以实现直接读取SD卡中的数据文件。
3 系统软件
系统软件设计完成单片机以及各外部芯片初始化,包括单片机时钟,A/D初始化,AD9852初始化,AD8302初始化,以及键盘、液晶显示、USB、SD卡初始化等。初始化完成后,向DDS芯片AD9852写入控制字,控制并输出信号;向幅度相位测试芯片AD8032写入控制字,控制测量输出幅度差、频率比的输出模式。另外完成检测按键状态,实时显示,存储数据,查询USB等。系统软件流程如图5所示。

对AD9852的驱动和控制是系统软件设置的重点和难点。对AD9852的初始化,首先,要设置工作模式。该设计采用单调模式(Single-Tone),要求输出1 Hz~10 MHz不同频率的正弦信号。首先计算每个需要的频率点的频率控制字的值,频率控制字的值由如下等式决定:FTW=输出频率×248/系统时钟频率;然后,在内存中输入对应频率表值,通过编程获取对应的频率值并送到DDS的频率控制字中,控制DDS输出频率,在一轮检测完成以后再送出下一个频率值。另外,在程序设计时要特别考虑程序的时序设计。
检测部分主要是一个A/D转换过程。ADC是单片机自带的模块,程序采用中断的方式读取A/D转换数据。当转换完成后,读取幅度比和相位差值,通过计算,直接得到被测组织的阻抗。
4 结 语
这里所设计的生物组织阻抗频谱测试仪能快速、准确、自动完成1 Hz~10 MHz范围的生物组织电阻抗(频率特性)测量。仪器结构完整、简单、成本低。DDS芯片的使用,让信号的质量得到了保证,而AD8302芯片极大的简化了幅度和相位测量电路,并且提高了测量精度。该系统能很好地完成生物组织电阻抗频谱特性的测量,极大地改善、拓展了相关测量,对相关研究具有重要意义。
