引言
RFID技术利用无线射频方式进行非接触双向通信,可达到识别并交换数据的目的。与磁卡和IC卡等接触式识别技术不同,RFID系统的电子标签和读写器之间无需物理接触就可完成识别,属于非接触识别。RFID技术具有一些独特的优点,它可更广泛地应用于交通运输、医疗和防伪等领域中。
随着我国经济的迅猛发展,铁道部已投入大量资金用于建立全路车号自动识别系统的工程建设中,目标是在所有机车上安装电子标签,在所有区段站、编组站、大型货运站安置地面读写装置,对运行的列车以及车辆信息进行准确的识别。铁路射频车号自动识别系统已经成为铁路信息化建设的一个重要组成部分。TKCG-08RFID列车自动识别系统正是在这一背景下进行研发的,它利用微波射频通信技术,实现了列车车号的自动识别。其数据通信方案如图1所示。
数据传输是RFID系统运行的一个重要环节。射频信号通过阅读器天线和标签天线的空间耦合(交变磁场或电磁场)实现数据传递,因此,天线在整个RFID系统中扮演着重要角色,一方面天线的好坏决定了系统的通信质量,另一方面天线决定了系统的通信距离。
根据工作频段不同,在RFID产品中使用不同类型的天线,可选择的天线种类很多。在选择的时候,天线大小、成本、性能都是非常重要的因素。三种最常见的短距天线设备是PCB微带天线、芯片天线和有一个连接器的鞭状天线。TKCG-08地铁列车识别系统应用主要是将阅读器安装在线路轨道中间,射频卡安装在车体下部中央相应的位置,如图2所示。当列车以一定速度通过阅读器时,阅读器识别出射频卡相应的卡号,进而得到列车车号信息。由于射频卡体积有限,而且需要控制成本,微带天线具有低成本、高性能、小尺寸等优势,因此选择微带天线作为本系统使用的天线形式。
微带天线
微带天线是在带有导体接地板的介质基片上贴加导体薄片而形成的天线。它利用微带线、同轴线等馈线馈电,在导体贴片与接地板之间激励起射频电磁场,并通过贴片四周与接地板间的缝隙向外辐射,因此微带天线可看作是一种缝隙天线,如图3所示。和常用的微波天线相比,它有如下一些优点:体积小、重量轻、成本低,馈电网络可与天线结构一起制成,适用于用印刷电路技术大批量生产,能与有源器件和电路集成为单一的模件,容易获得圆极化,容易实现双频、多频段工作等。
根据天线辐射特性的需要,可以设计贴片导体为各种形状。通常贴片天线的辐射导体与金属底板距离为几十分之一波长。假设辐射电场沿导体的横向与纵向两个方向没有变化,仅沿约为半波长的导体长度方向变化,则微带贴片天线的辐射基本上是由贴片导体开路边沿的边缘场引起的,辐射方向基本确定。
微带天线利于选取合适的馈电位置使辐射元与馈线良好匹配,且体积小剖面低、电性能优良、实现了一维小型化。基于此小型化天线采用微带天线形式。而微带天线实现圆极化的馈电方法主要有: 双馈点馈电和单馈点馈电。其中每一种馈电方法又分别可采用直接馈电、缝隙耦合馈电、探针馈电等多种馈电方式。直接馈电的单馈点法不需设计任何复杂的移相网络和功率分配就可实现圆极化辐射,是实现圆极化的简易方法,所以一般采用单馈点直接馈电的方式馈电。
微带天线设计
根据微带天线理论,贴片单元宽度W的尺寸直接影响着微带天线的方向性函数、辐射电阻以及输入阻抗。考虑到要兼顾辐射效率和避免产生高次模,通常要求宽度W满足公式(1)的要求:
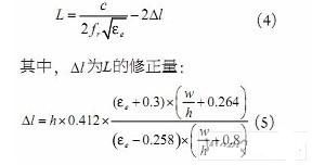
其中,h、w分别是天线的高度和宽度。但在实际设计时应考虑边缘场的影响,要对L值进行修正,因此L由公式(4)决定:

因为电场沿 L方向非均匀分布,故可通过改变同轴馈点在 L方向上的位置来改变馈电点的阻抗大小,达到信号的匹配状态。馈电点位置的导纳如公式(6)所示:

式中Z0是把天线视为传输线时的特性阻抗;Y0是其对应的导纳;ZW是壁阻抗;β是介质中的相位常数; L1、 L2为馈点沿 L 方向分别到辐射电极边沿的距离。通过改变L1、 L2的大小可以使输入阻抗满足阻抗匹配的要求。
设计中还要考虑到辐射电极的长和宽L、W要满足矩形贴片天线圆极化工作必要条件,即:

式中Qr,Qd,Qe,分别对应辐射,介质和导体损耗的Q值。
我们在设计时,考虑到微带天线应用在手持扩频通信设备中,要求天线具有剖面薄、体积轻、小型化的特点。根据上述公式计算出天线的实际尺寸,然后在AGILENT公司的电路和系统分析软件ADS上建模,仿真优化,得到图4所示的天线模型。该天线工作频率为2.4GHZ,尺寸为10MM×7.88mm,天线固定在尺寸为53mm×6.72mm的基板上,其材料选用FR4,相对介电常数为4.4,基板厚度为1.2mm。对贴片天线进行单点直接馈电,馈电点到贴片中心的距离为4.2mm,保证了天线体积的小型化。在馈线末端开出一个0.38mm的接地孔,以便和接地层相连。Length的长度与板厚有关系,板厚1.2mm,对应的Length长度为3.175mm。一体式结构适合大规模的生产和调试,并且坚固抗折,适合在卡状设备中使用。

为了优化射频卡天线的传输性能,天线的辐射电阻必须适应射频电路的阻抗特性。阻抗匹配是指在天线能量传输时,要求负载阻抗要和传输线的特征阻抗相等,此时的传输不会产生反射,这表明所有能量都被负载吸收了,反之则在传输中有能量损失。在设计天线时,为了防止信号的反射,要求线路的阻抗为50欧姆。通过ADS的仿真分析后得到50欧的微带参数为:铜箔厚度为0.7mil,基片厚度为10mil,导线宽度为20mil,导线距地平面的距离为31mil。
仿真结果与整版测试
应用ADS的高频信号仿真对天线进行仿真,仿真结果如图5所示。

从仿真图 5的(a)(b)(c)中可以看出天线工作在频率为2.44GHz的时候,天线辐射特性良好,主辐射方向垂直于天线表面。由于微带天线尺寸和接地板尺寸都比较小,把天线放在一个常见的周围环境中进行操作的时候要进行一些调整[5]。图(d)显示三个远程控制2.4GHZ天线的反射测试方法的结果。红线表示天线放在周围没有障碍物的自由空间里面的反射结果。把天线放在塑料障碍物里,通过降低回声频率来影响性能,对性能的影响更加明显。在设计的过程中应重点考虑这一因素并加以调整。在实际应用中,在天线前端加上功率放大器和滤波器,能有效的增大天线发射功率,进而提高射频卡的整体性能。使用频谱仪对发射功率进行测试,结果显示发射功率达到了预期的指标(不小于20 dBm),发射功率测试结果及射频卡样机实物如图6所示。

结语
天线的小型化适应未来通信的发展趋势,如何兼顾增益和频带是实现小型化必须要考虑的问题。本文所设计的微带天线,具有体积小、重量轻、成本低、辐射效果好等优点。室内和现场测试表明:该微带天线性能稳定,可以满足TKCG-08地铁列车自动识别系统指标要求,同时对于其他射频卡板载微带天线的开发设计也具有一定参考意义。
