煤矸石是采煤和洗煤过程中排放的固体废物,是一种在成煤过程中与煤层伴生的黑灰色岩石。全国现有矸石山1500余座,堆积量30亿吨以上,占中国工业固体废物排放总量的40%以上。煤矸石的大量堆放,不仅占用土地资源,而且造成环境污染。用洗中煤和矸石混烧发电,是解决污染的有效途径。2009年,煤矸石综合利用量3.9亿吨以上,利用率达到70%以上。如何快速、精确地定量分析混合燃料中煤与矸石的搭配比例,就成为监管部门及企业需要解决的问题。为解决上述问题,本文基于ARM7芯片S3C44BOX,设计了一个集数据采集、处理、显示为一体的嵌入式定量分析系统,并可以通网络将数据传送到远程PC。
1 系统原理及总体方案设计
1.1 系统原理
γ射线,它与物质的相互作用主要是光电效应。不同物质由于原子序数不同,对γ射线的质量系数也明显不同,意味着按不同比例配制的煤与矸石的混合燃料,其吸收系数会发生明显变化,因此通过放射性强度的测量,可以分析混合燃料中煤与矸石的混合比例。
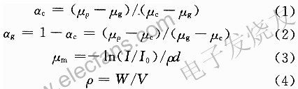
用单能、窄束γ射线照射混合燃料,经理论推导可得:

式中:αc,αg分别为混合燃料中煤、矸石的重量百分比;μc,μg,μp分别为煤、矸石、混合燃料的质量吸收系数;μm为待测的质量吸收系数;I0,I分别为γ射线穿过物体前、后的强度;V为标准样品盒的净容积,d为盒内样品厚度,二者均可看作已知常量;ρ为样品密度。
因此只需要测出γ射线照射混合燃料前后的强度及混合燃料的质量,就可以计算出煤、矸石的重量百分比。
1.2 系统总体方案设计
系统主要包括γ射线源、探测器、数据采集电路、精密电子天平、S3C44BOX硬件平台、LCD显示屏、网络接口。硬件框图如图1所示。

系统的核心是S3C44BOX微处理器,它是Samsung公司推出的16/32 b RISC处理器,采用2.5 VARM7TDMI内核,0.25/μm工艺的COMS标准宏单元和存储编译器。它提供了丰富的内置部件,主要包括8 KB Cache、内部SRAM、带自动握手的2通道URAT、4通道DMA、系统管理器、RT-C、I/O端口、LCD控制器等,很好地满足了系统设计要求。S3C44BOX可以很方便地扩展一个网络接口,实现数据的网络传输。另外S3C44BOX提供了70多个I/O端口,极大地方便了以后的功能扩展。
信号采集电路采集γ射线的能量信号,精密电子天平同步测量混合燃料的质量信号,并通过RS 232串口将数据传送到处理器,S3C44BOX对采集到的数据进行处理,得到煤与矸石的混合比例,将其显示在LCD屏上,同时可以通过网络接口将数据传送到远程PC,以备后期分析。
2 系统功能模块设计
2.1 γ射线强度检测部分
由探测器、线性放大电路、脉冲幅度分析电路等几部分组成,原理框图如图2所示。

NaI闪烁探测器输出与入射γ射线成正比的脉冲信号,入射γ射线强度越大,单位时间内探测器输出的脉冲数就越多。
线性放大电路对探测器输出的脉冲进行放大整形,以满足后接信号处理设备的要求。LMl38集成运算放大器具有15 MHz带宽,转换速度达50 V/μs,LMl38先对γ脉冲进行放大,然后进行成形,最后由缓冲放大器输出。
脉冲幅度分析电路由2个甄别器和1个反符合电路组成。2个甄别器分别设定计数脉冲的上下阈值,上下阈值之差即为道宽,反符合电路输出此设定道宽内的脉冲。如图3所示。

脉冲幅度分析电路的上下阈值选取γ射线的全能峰脉冲,送到微处理器的计数器计数,根据单位时间内落在此道宽内的脉冲计数即可测得γ射线强度。
2.2 质量信号采集部分
系统选用JA2003精密电子天平测量混合燃料的质量,它采用专利陶瓷电容称重技术,内部集成一个用户温度补偿电路,具有测量精度高等优点。JA2003带有一个标准的RS 232接口,可以很方便地实现和S3C44BOX之间的通信。
当天平与S3C44BOX连接时,可以使用立即打印符“#”进行数据传送,天平将显示的数据以字符串的形式传送给处理器。数据格式如下:
+/- 1 2 3 4 5 6 . CO C1 C2 C3 CR LF前六个为数字区,前面通常有符号(+或-)。C0为空格,当天平被设定为自动模式时C1为空格,C2表示传出单位,如果天平设定的单位为克时,则传送“g”,C3表示数据传输的稳定性,空格表示不稳定,“s”表示传输稳定,CR、LF分别代表回车和换行符。
2.3 网络传输部分
RTL8019AS是台湾Realtek公司生产的以太网控制器,适应于EthernetⅡ,IEEE 802.3,全双工,收发可同时达到10 Mb/s的速率,支持8 b、16 b的数据总线。RTL8019AS内部可分为本地DMA通道和远程DMA通道,本地DMA完成控制器与网线的数据交换,主处理器收发数据只需要对远程DMA进行操作。RTL8019AS与S3C44BOX的链接如图4所示。

当系统向网络发送数据时,D[O:15]数据通过远程DMA送到RTL8019AS发送缓存区,然后发出传送命令,RTL8019AS完成上一帧的发送后,再完成此帧的发送。接收数据时D[0:15]数据经74F163245反相后传给处理器。
同时还扩展了一个8.4英寸640×480的。TFTLCD屏,作为人机界面。
3 软件设计
系统选用μClinux操作系统,它在标准的Linux基础上进行了适当的裁剪和优化,形成了一个高度优化、代码紧凑的Linux。虽然体积小,但仍然保留了Linux的大多数优点,非常适合嵌入式系统的应用。
在μClinux内核基础上,编写了RS 232串口驱动程序、LCD驱动程序和网络接口驱动程序。设备驱动程序屏蔽了是硬件细节,这样操作系统可以像操作普通文件一样对其进行读写操作。
为了长期保存数据,系统在μClinux编译时添加了JFFS2文件系统。操作系统通过J17FS2文件系统管理FLASH空间,不仅可以保存系统设置的各种参数,还可以将采集到的数据以文件形式保存在FLASH中,即使掉电也不会丢失。
本地软件在Linux下用C语言编写,并通过交叉编译得到适合在μClinux运行的程序。本应用采用多线程编程,将系统工作划分为γ射线强度检测线程、串口通信线程、数据处理线程、LCD显示线程、网络传输线程。各线程是相对独立的工作子模块,可以同时工作,有利于提高实时性。
γ射线强度检测线程负责采集脉冲信号;串口通信线程负责采集煤与矸石混合燃料的质量信号;数据处理线程负责对采集到的两路数据进行处理,分别得到煤、矸石的混合比例;LCD显示线程显示煤、矸石的混合比例;网络传输线程将处理得到的数据传送到远程PC。
4 结语
基于S3C44BOX微处理器的工业用煤成分定量分析系统,其电路设计简单、易于操作、可靠性强,具有良好的人机界面。可配备于热电厂及监测部门的化验室,对混合燃料的成分进行快速定量分析。
由于矸石本身含有一定量的煤,减小了矸石与煤的区分度,造成测量误差。因此,如何合理选择混合燃料质量吸收系数测量时的修正值,就成为精确测量的关键,可以通过大量实验确定。
