全球定位系统(GlobalPositioningSystem,简称GPS)是美国从20世纪70年代开始研制的用于军事部门的新一代卫星导航与定位系统,历时20年,耗资200多亿美元,分三阶段研制,陆续投入使用,并于1994年全面建成。GPS是以卫星为基础的无线电卫星导航定位系统,它具有全能性、全球性、全天候、连续性和实时性的精密三维导航与定位功能,而且具有良好的抗干扰性和保密性。因此,GPS技术率先在大地测量、工程测量、航空摄影测量、海洋测量、城市测量等测绘领域得到了应用[1],并在军事、交通、通信、资源、管理等领域展开了研究并得到广泛应用。本文介绍GPS在山区工程测量中的应用,并提出几点体会。
1、GPS简介
1.1GPS构成
GPS主要由空间卫星星座、地面监控站及用户设备三部分构成。
(1)GPS空间卫星星座由21颗工作卫星和3颗在轨备用卫星组成。24颗卫星均匀分布在6个轨道平面内,轨道平面的倾角为55°,卫星的平均高度为20200km,运行周期为11h58min。卫星用L波段的两个无线电载波向广大用户连续不断地发送导航定位信号,导航定位信号中含有卫星的位置信息,使卫星成为一个动态的已知点。在地球的任何地点、任何时刻,在高度角15°以上,平均可同时观测到6颗卫星,最多可达到9颗。
(2)GPS地面监控站主要由分布在全球的一个主控站、三个注入站和五个监测站组成。主控站根据各监测站对GPS卫星的观测数据,计算各卫星的轨道参数、钟差参数等,并将这些数据编制成导航电文,传送到注入站,再由注入站将主控站发来的导航电文注入到相应卫星的存储器中。

(3)GPS用户设备由GPS接收机、数据处理软件及其终端设备(如计算机)等组成。GPS接收机可捕获到按一定卫星高度截止角所选择的待测卫星的信号,跟踪卫星的运行,并对信号进行交换、放大和处理,再通过计算机和相应软件,经基线解算、网平差,求出GPS接收机中心(测站点)的三维坐标。
1.2GPS定位原理
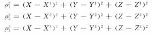
GPS定位是根据测量中的距离交会定点原理实现的[2]。如图1所示,在待测点Q设置GPS接收机,在某一时刻tk同时接收到3颗(或3颗以上)卫星S1、S2、S3所发出的信号。通过数据处理和计算,可求得该时刻接收机天线中心(测站点)至卫星的距离ρ1、ρ2、ρ3。根据卫星星历可查到该时刻3颗卫星的三维坐标(Xj,Yj,Zj),j=1,2,3,从而由下式解算出Q点的三维坐标(X,Y,Z):

1.3GPS测量的特点
相对于常规测量来说,GPS测量主要有以下特点:①测量精度高。GPS观测的精度明显高于一般常规测量,在小于50km的基线上,其相对定位精度可达1×10-6,在大于1000km的基线上可达1×10-8。②测站间无需通视。GPS测量不需要测站间相互通视,可根据实际需要确定点位,使得选点工作更加灵活方便。③观测时间短。随着GPS测量技术的不断完善,软件的不断更新,在进行GPS测量时,静态相对定位每站仅需20min左右,动态相对定位仅需几秒钟。④仪器操作简便。目前GPS接收机自动化程度越来越高,操作智能化,观测人员只需对中、整平、量取天线高及开机后设定参数,接收机即可进行自动观测和记录。⑤全天候作业。GPS卫星数目多,且分布均匀,可保证在任何时间、任何地点连续进行观测,一般不受天气状况的影响。⑥提供三维坐标。GPS测量可同时精确测定测站点的三维坐标,其高程精度已可满足四等水准测量的要求。
2、应用实例
2.1工程概况
本文涉及的工程由某集团公司投资建造,是一个集休闲、娱乐、旅游、渡假等功能于一体的综合项目。工程位于城郊,占地66.7hm2多,属两山夹一沟地形,山地面积约占三分之二。最高处约90m。山上树木茂盛,地形复杂,通视困难,行走不便。为了该工程的设计和施工,需建立首级控制网。考虑到工程复杂,工期较紧,测区通视困难,地形起伏大等因素,决定采用GPS测量。
2.2GPS测量的技术设计
(1)设计依据GPS测量的技术设计主要依据1999年建设部发布的行业标准《城市测量规范》、1997年建设部发布的行业标准《全球定位系统城市测量技术规程》[3]及工程测量合同有关要求制定的。
(2)设计精度根据工程需要和测区情况,选择城市或工程二级GPS网作为测区首级控制网。要求平均边长小于1km,最弱边相对中误差小于1/10000,GPS接收机标称精度的固定误差a≤15mm,比例误差系数b≤20×10-6。

(3)设计基准和网形如图2所示,控制网共12个点,其中联测已知平面控制点2个(I12,I13),高程控制点5个(I12,I13,105,109,110,其高程由四等水准测得)。采用3台GPS接收机观测,网形布设成边连式。
(4)观测计划根据GPS卫星的可见预报图和几何图形强度(空间位置因子PDOP),选择最佳观测时段(卫星多于4颗,且分布均匀,PDOP值小于6),并编排作业调度表。
2.3GPS测量的外业实施
(1)选点GPS测量测站点之间不要求一定通视,图形结构也比较灵活,因此,点位选择比较方便。但考虑GPS测量的特殊性,并顾及后续测量,选点时应着重考虑:①每点最好与某一点通视,以便后续测量工作的使用;②点周围高度角15°以上不要有障碍物,以免信号被遮挡或吸收;③点位要远离大功率无线电发射源、高压电线等,以免电磁场对信号的干扰;④点位应选在视野开阔、交通方便、有利扩展、易于保存的地方,以便观测和日后使用;⑤选点结束后,按要求埋设标石,并填写点之记。
(2)观测根据GPS作业调度表的安排进行观测,采取静态相对定位,卫星高度角15°,时段长度45min,采样间隔10s。在3个点上同时安置3台接收机天线(对中、整平、定向),量取天线高,测量气象数据,开机观察,当各项指标达到要求时,按接收机的提示输入相关数据,则接收机自动记录,观测者填写测量手簿。
2.4GPS测量的数据处理
GPS网数据处理分为基线解算和网平差两个阶段,采用随机软件完成。经基线解算、质量检核、外业重测和网平差后,得到GPS控制点的三维坐标(见表1),其各项精度指标符合技术设计要求。

3、结束语
通过GPS在测量中的应用,得到如下体会。
(1)GPS控制网选点灵活,布网方便,基本不受通视、网形的限制,特别是在地形复杂、通视困难的测区,更显其优越性。但由于测区条件较差,边长较短(平均边长不到300m),基线相对精度较低,个别边长相对精度大于1/10000。因此,当精度要求较高时,应避免短边,无法避免时,要谨慎观测。
(2)GPS接收机观测基本实现了自动化、智能化,且观测时间在不断减少,大大降低了作业强度,观测质量主要受观测时卫星的空间分布和卫星信号的质量影响。但由于各别点的选定受地形条件限制,造成树木遮挡,影响对卫星的观测及信号的质量,经重测后通过。因此,应严格按有关要求选点,择最佳时段观测,并注意手机、步话机等设备的使用。
(3)GPS测量的数据传输和处理采用随机软件完成,只要保证接收卫星信号的质量和已知数据的数量、精度,即可方便地求出符合精度要求的控制点三维坐标。但由于联测已知高程点较少(仅联测5个),致使的控制点高程精度较低。因此,要保证控制点高程的精度,必须联测足够的已知高程点。
参考文献
[1]管国斌.对中小城镇GPS控制网中几个问题的探讨[J].浙江测绘,2003,(2):45-46.
[2]刘大杰.全球定位系统(GPS)的原理与数据处理[M].上海:同济大学出版社,1996.
[3]北京市测绘设计研究院.CJJ73-97,全球定位系统城市测量技术规程[S].北京:中国建筑工业出版社,1997
