低压差稳压器(LDO)能够在很宽的负载电流和输入电压范围内保持规定的输出电压,而且输入和输出电压之差可以很小。这个电压差被称为压降或裕量要求,在负载电流为2A时可以低至80mV。可调输出低压差稳压器于1977年首次推出。现在,便携设备需要使用的低压差线性稳压器经常多达20个。最新便携设备中的许多LDO被集成进了多功能电源管理芯片(PMIC)——这是高度集成的系统,拥有20个或以上的电源域,分别用于音频、电池充电、设备管理、照明、通信和其它功能。
然而,随着便携系统的快速发展,集成式PMIC已经无法满足外设电源要求。在系统开发的后期阶段必须增加专用LDO来给各种选件供电,如相机模块、蓝牙、WiFi和其它连接模块。LDO还能用来辅助降低噪声,解决由电磁干扰(EMI)和印刷电路板(PCB)布线造成的稳压问题,并通过关闭不需要的功能来提高系统效率。
本文将讨论基本的LDO拓扑,解释关键的性能指标,并展示低压差稳压器在系统中的应用。同时使用ADI公司LDO产品系列的设计特征进行示例说明。

图1:采用低压差 (Vout和在额定负载电流时Vin的最低给定值之间的差值) 技术稳定输出电压的LDO框图。
基本的LDO架构。LDO由参考电压、误差放大器、反馈分压器和传输晶体管组成,如图1所示。输出电流通过传输器件提供。传输器件的栅极电压由误差放大器控制——误差放大器将参考电压和反馈电压进行比较,然后放大两者的差值以便减小误差电压。如果反馈电压低于参考电压,传输晶体管的栅极电压将被拉低,允许更多的电流通过,进而提高输出电压。如果反馈电压高于参考电压,传输晶体管的栅极电压将被拉高,进而限制电流流动、降低输出电压。
这种闭环系统的动态特性基于两个主要的极点,一个是由误差放大器/传输晶体管组成的内部极点,另一个是由放大器的输出阻抗和输出电容的等效串联电阻(ESR)组成的外部极点。输出电容及其ESR将影响环路稳定性和对负载电流瞬态变化的响应性能。为了确保稳定性,推荐1Ω或以下的ESR值。另外,LDO要求使用输入和输出电容来滤除噪声和控制负载瞬态变化。电容值越大,LDO的瞬态响应性能越好,但会延长启动时间。ADI公司的LDO在使用规定电容时可以在规定工作条件下达到很好的稳定性能。
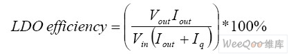
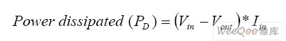
LDO效率:提高效率一直是设计工程师的永恒追求,而提高效率的途径是降低静态电流(Iq)和前向压降。

由于Iq在分母上,因此很明显Iq越高效率就越低。如今的LDO具有相当低的Iq。当Iq远小于ILOAD时,在效率计算公式中可以忽略Iq。这样,LDO的效率公式可以简化为(Vo/Vin)*100%。由于LDO无法存储大量的未使用能量,没有提供给负载的功率将在LDO中以热量形式消耗掉。

LDO可以提供稳定的电源电压,这种电压与负载和线路变化、环境温度变化和时间流逝无关,并且当电源电压和负载电压之间的压差很小时具有最高的效率。例如,随着锂离子电池从4.2V(满充状态)下降到3.0V(放电后状态),与该电池连接的2.8V LDO将在负载处保持恒定的2.8V(压差小于200mV),但效率将从电池满充时的67%增加到电池放电后的93%。
为了提高效率,LDO可以连接到由高效率开关稳压器产生的中间电压轨,例如使用3.3V开关稳压器。LDO效率固定为85%,假设开关稳压器效率为95%,那么系统总效率将是81%。
电路特性增强LDO性能: 使能输入端允许通过外部电路控制LDO的启动和关闭,并允许在多电压轨系统中按正确的顺序加电。软启动可以在上电期间限制浪涌电流和控制输出电压上升时间。睡眠状态能使漏电流最小,这个特性在电池供电系统中特别有用,并且允许快速启动。当LDO的温度超过规定值时,热关断电路将关闭LDO。过流保护电路可以限制LDO的输出电流和功耗。欠压闭锁电路可以在供电电压低于规定的最小值时禁止输出。图2是用于便携设计的典型电源系统简图。

图2:便携系统中的典型电源域。
理解线性稳压器要求
LDO用于数字负载:像ADP170和ADP1706这类数字线性稳压器设计用于支持系统的主要数字要求,通常是微处理器内核和系统输入/输出(I/O)电路。用于DSP和微控制器的LDO必须具有较高的效率,并能处理快速变化的大电流。更新的应用要求给数字LDO造成了巨大的压力,因为处理器内核为了节能而经常改变时钟频率。为了响应软件导致的负载变化而发生的时钟频率变化对LDO的负载调整功能提出了严格的要求。
数字负载的重要特征有线路调整率和负载调整率,以及瞬态下冲和过冲。在给低电压的微处理器内核供电时,精确的输出控制总是非常重要,没有足够的调整率将致使内核闭锁。数据手册中并不总是提供上述参数,瞬态响应图形也许表现出对瞬态信号不错的上升和下降响应速度。线路和负载调整率有两种方式表述:一种是输出电压随负载变化的偏离百分比,实际的V/I值,或者在规定负载电流条件下同时用两者表示。
为了节省功耗,数字LDO需要具有较低的Iq以延长电池寿命。便携系统有很长时间软件处于空闲状态,这段时间系统处于低功耗状态。在不活动时,系统将进入睡眠状态——要求LDO关闭,消耗电流不到1 ?A。当LDO处于睡眠模式时,所有电路(包括带隙参考)都将被关闭。当系统回到活动模式时,要求快速启动 ——在此期间数字供电电压必须不产生过高的过冲。过高的过冲将导致系统闭锁,有时需要拔出电池或按下主复位按钮才能解决问题,并重启系统。
LDO用于模拟和射频负载: 像ADP121和ADP130具有的低噪声和高电源抑制(PSR)性能对模拟环境中使用的LDO来说非常重要,因为模拟器件比数字器件对噪声更敏感。模拟LDO需求的主要来自无线接口要求——不损伤接收器或发送器,并在音频系统中不产生爆破音或嗡嗡声。无线连接非常容易受噪声的影响,如果噪声干扰到信号,接收器的效果将大打折扣。在考虑模拟线性稳压器时,器件要能抑制来自上游电源和下游负载的噪声,而且自身不增加噪声,这一点很重要。
模拟稳压器噪声的测量值用电压有效值(rms)和PSR表示,后者代表了抑制上游噪声的能力。增加额外的滤波器或旁路电容可以减小噪声,但增加了成本和体积。仔细和灵活的LDO内部设计也有助于噪声降低和电源噪声抑制。在选择LDO时,对涉及每个系统所需的总体性能的产品细节进行检查很重要。
关键的LDO指标和定义
备注:制造商数据手册首页一般是一些摘要信息,通常突出了一些吸引人的器件特性。关键参数经常强调典型的性能特征,但只有查阅了文档中的完整指标和其它数据后才能得到更完整的理解。另外,由于制造商提供指标的方式几乎没有标准可言,因此电源设计师需要理解用来获得电气指标表格中列出的关键参数的定义和方法。系统设计师应该密切关注关键参数,如环境和结点温度范围、图形信息中的X-Y刻度值 、负载、瞬态信号的上升和下降时间以及带宽。下面讨论与ADI公司LDO的表征和应用有关的一些重要参数。
输入电压范围:LDO的输入电压范围决定了最低的可用输入电源电压。指标可能提供宽的输入电压范围,但最低输入电压必须超过压降加上想要的输出电压值。例如,150mV的压降对于稳定的2.8V输出来说意味着输入电压必须大于2.95V。如果输入电压低于2.95V,输出电压将低于2.8V。
接地(静态)电流:静态电流Iq就是输入电流IIN和负载电流IOUT之间的差值,在规定的负载电流条件下测量。对于固定电压稳压器,Iq等于接地电流Ig。对于可调稳压器,如ADP171,静态电流等于接地电流减去来自外部分压电阻网络中的电流。
关断电流:这是指设备禁用时LDO消耗的输入电流,对便携LDO来说通常低于1.0 uA。这个指标对于便携设备关机时长待机期间的电池寿命来说很重要。
输出电压精度:ADI公司的LDO具有很高的输出电压精度,在工厂制造时就被精确调整到±1%之内(25℃)。输出电压精度在工作温度、输入电压和负载电流范围条件下加以规定。误差规定为±x%最差情况。
线路调整率:线路调整率是指输出电压随输入电压变化而发生的变化率。为了避免由于芯片温度变化引起的误差,线路调整率的测量通常在低功耗状态或使用脉冲技术进行。
动态负载调整率:只要负载电流缓慢变化,大多数LDO都能轻松地保持输出电压接近恒定不变。然而,当负载电流快速改变时,输出电压也将发生改变。当负载电流发生变化时输出电压会改变多少就决定了负载瞬态性能。
压差:压差指保持电压稳定所需的输入电压和输出电压之间的最小差值。也就是说,LDO能够在输入电压降低时保持输出负载电压不变,直到输入电压接近输出电压加上压差,在这个点输出电压将“失去”稳定。压差应尽可能小,以使功耗最小,效率最高。当输出电压降低到低于标称值 100mV的电压时,通常被认为达到了这个压差。负载电流和结点温度会影响这个压差。最大压差值应在整个工作温度范围和负载电流条件下加以规定。
启动时间:启动时间被定义为使能信号的上升沿到VOUT接近其标称值的90%时的时间。这个测试通常是接上VIN、使能引脚从断开到接通的触发条件下进行测量。备注:在使能引脚连接VIN的某些情况下,启动时间可能会大幅增加,因为带隙参考需要一定的稳定时间。在稳压器需要频繁关闭和启动以节省功耗的便携系统中,稳压器的启动时间是一个重要的考虑因素。
限流阈值:限流阈值被定义为输出电压下降到给定典型值的90%时的负载电流。例如,3V输出电压的限流阈值被定义为造成输出电压下降到3.0V的90%或2.7V时的负载电流。
工作温度范围:工作温度范围可以由环境温度和结点温度加以规定。由于LDO会发热,因此IC的工作温度总是超过环境温度,比环境温度高出多少取决于工作状态和PCB热设计。数据手册上规定有最大结点温度(TJ),因为在最大结点温度之上工作过长的时间会影响器件的可靠性——统计学上称为平均故障时间(MTTF)。
热关断(TSD):大多数LDO具有自动温度调节装置,用于防止IC发生热失控。当结点温度超过规定的热关断阈值时,这个装置将关断LDO。为了在重启之前让LDO冷却下来,要求一定的滞后时间。TSD很重要,因为它不单单保护LDO;过多的热量影响的不止是稳压器。从LDO传导到PCB(或从电路板上更热的元件传导到LDO)的热量随着时间的推移可能破坏PCB材料和焊接可靠性,也会破坏附近元件,进而缩短便携设备的寿命。另外,热关断将影响系统的可靠性。因此,用于控制电路板温度的热设计(散热器、冷却装置等)是重要的系统考虑因素。
使能输入:LDO使能信号以正和负逻辑的形式提供,用于关闭和启动LDO。高电平有效逻辑在使能端电压超过逻辑高电平门限时使能器件,低电平有效逻辑在使能端电压低于逻辑低门限电平时使能器件。使能输入允许外部控制LDO的关闭和启动,这是多电压轨系统中调整电源上电顺序的一个重要特性。一些LDO具要相当短的启动时间,因为它们的带隙参考在LDO禁用时是打开的,允许LDO更快地启动。
欠压闭锁:欠压闭锁(UVLO)可以确保只有在系统输入电压高于规定阈值时才向负载输出电压。UVLO很重要,因为它只在输入电压达到或超过器件稳定工作要求的电压时才让LDO器件上电。
输出噪声:LDO的内部带隙电压参考是噪声源,通常用给定带宽范围内的毫伏有效值表示。例如,ADP121在VOUT为1.2V时,在10kHz至100kHz的带宽范围内有40?V rms的输出噪声。在比较数据手册指标时,给定的带宽和工作条件是重要的考虑因素。
电源抑制比:电源抑制比(PSR)用分贝表示,代表了LDO在宽的频范围(1kHz至100kHz)内对来自输入电源的纹波的抑制能力。在LDO中,PSR可以用两个频段表征。频段1从直流到控制环路的单位增益频率,这时的PSR取决于稳压器的开环增益。频段2在单位增益频率之上,这时的PSR不受反馈环路的影响,PSR取决于输出电压以及从输入到输出引脚的任何泄漏路径。选择一个适合的高值输出电容通常会改善后个频段的PSR。在频段1,ADI公司专有的电路设计可以减少由于输入电压和负载变化引起的PSR变化。为了获得最佳的电源抑制性能,PCB版图设计时必须考虑减小从输入到输出的泄漏,而且要有鲁棒性的接地性能。
最小输入和输出电容:最小输入和输出电容应大于在各种工作条件 (尤其是工作电压和温度) 下的规定值。在器件选型时必须考虑应用中的各种工作条件,确保满足最小的电容规格。推荐使用X7R和X5R型电容。Y5V和Z5U电容不推荐在任何LDO电路中使用。
反向电流保持特性:采用PMOS传输管的典型LDO在VIN和VOUT之间有一个本征体二极管。当VIN大于VOUT时,这个二极管将处于反偏状态。如果VOUT大于VIN,这个本征二极管将变成前向偏置,产生从VOUT到VIN的电流,进而造成破坏性的功耗。一些LDO,如ADP1740/ADP1741,有额外的电路防止从VOUT到VIN的反向电流流动。反向电流保护电路检测到VOUT超过VIN时,将反转本征二极管连接的方向,使二极管仍处于反偏状态。
软启动:可编程软启动有助于减小启动时的浪涌电流和提供上电顺序。对于启动时要求浪涌电流受控的应用,有些LDO(如ADP1740/ADP1741)提供了可编程的软启动(SS)功能。为了实现软启动,在SS和地引脚之间需要连接一个小的陶瓷电容。
结束语
LDO执行的是一个重要功能。虽然概念上很简单,但在应用时需要考虑许多方面的因素。本文介绍了基本的LDO拓扑,解释了一些关键指标和低压差稳压器在系统中的应用。在数据手册中还包含了许多有用的信息。
