在汽车电子的驱动负载的各种应用中,最常见的开云棋牌官网在线客服元件就是功率MOSFET了。本文不准备写成一篇介绍功率MOSFET的技术大全,只是让读者去了解如何正确的理解功率MOSFET数据表中的常用主要参数,以帮助设计者更好的使用功率MOSFET进行设计。
数据表中的参数分为两类:即最大额定值和电气特性值。对于前者,在任何情况下都不能超过,否则器件将永久损害;对于后者,一般以最小值、最大值、和典型值的形式给出,它们的值与测试方法和应用条件密切相关。在实际应用中,若超出电气特性值,器件本身并不一定损坏,但如果设计裕度不足,可能导致电路工作失常。
在功率MOSFET的数据表给出的参数中, 通常最为关心的基本参数为
、
、Qgs、和Vgs。更为高级一些的参数,如ID、Rthjc、SOA、Transfer Curve、EAS等,将在本文的下篇中再做介绍。
为了使每个参数的说明更具备直观性和易于理解,选用了英飞凌公司的功率MOSFET,型号为IPD90N06S4-04(http://www.infineon.com/optimos-T)。本文中所有的表格和图表也是从IPD90N06S4-04中摘录出来的。下面就对这些参数做逐一的介绍。
: 通态电阻。
是和温度和Vgs相关的参数,是MOSFET重要的参数之一。在数据表中,给出了在室温下的典型值和最大值,并给出了得到这个值的测试条件,详见下表。

除了表格以外,数据表中还给出了通态电阻随着结温变化的数据图。从图中可以看出,结温越高,通态电阻越高。正是由于这个特性,当单个功率MOSFET的电流容量不够时,可以采用多个同类型的功率MOSFET并联来进行扩流。
如果需要计算在指定温度下的
,可以采用以下的计算公式。
![]()
上式中 为与工艺技术有关的常数,对于英飞凌的此类功率MOSFET,可以采用0.4作为常数值。如果需要快速的估算,可以粗略认为:在最高结温下的 通态电阻是室温下通态电阻的2倍。下表的曲线给出了
随环境温度变化的关系。
![]()
:定义了MOSFET的源级和漏级的最大能购承受的直流电压。在数据表中,此参数都会在数据表的首页给出。注意给出的
值是在室温下的值。
![]()
此外,数据表中还会给出在全温范围内(-55 C…+175 C)
随着温度变化的曲线。

从上表中可以看出,
是随着温度变化的,所以在设计中要注意在极限温度下的
仍然能够满足系统电源对
的要求。
Qgs:数据表中给出了为了使功率MOSFET导通时在给定了的Vds电压下,当Qgs变化时的栅级电荷变化的曲线。从图表中可以看出,为了使MOSFET完全导通,Qgs的典型值约等于10V,由于器件完全导通,可以减少器件的静态损耗。


Vgs:描述了在指定了漏级电流下需要的栅源电压。数据表中给出的是在室温下,当Vds= Vgs时,漏极电流在微安等级时的Vgs电压。数据表中给出了最小值、典型值和最大值。
![]()
需要注意的是,在同样的漏极电流下,Vgs电压会随着结温的升高而减小。在高结温的情况下,漏极电流已经接近达到了Idss (漏极电流)。为此,数据表中还会给出一条比常温下指定电流大10倍的漏极电流曲线作为设计参考。如下图所示。

以上介绍了在功率MOSFET数据表中最为设计者关心的基本参数
、
、Qgs、和Vgs。
为了更深入的理解功率MOSFET的其它一些参数,本文仍然选用英飞凌公司的功率MOSFET为例,型号为IPD90N06S4-04(http://www.infineon.com/optimos-T)。为了使每个参数的说明更具备直观性和易于理解,所有的表格和图表也是从IPD90N06S4-04中摘录出来的。下面就对这些参数做逐一的介绍。
如果需要更好的理解功率MOSFET,则需要了解更多的一些参数,这些参数对于设计都是十分必要和有用的。这些参数是ID、Rthjc、SOA、Transfer Curve、和EAS。
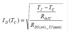
ID:定义了在室温下漏级可以长期工作的电流。需要注意的是,这个ID电流的是在Vgs在给定电压下,TC=25℃下的ID电流值。
ID的大小可以由以下的公式计算:


以IPD90N06S4-04为例,计算出的结果等于169A。为何在数据表上只标注90A呢?这是因为最大的电流受限于封装脚位与焊线直径,在数据表的注释1)中可以看到详细的解释。如下表所示:

此外,数据表中还给出了ID和结温之间的曲线关系。从下表中可以看出,当环境温度升高时, ID会随着温度而变化。在最差的情况下,需要考虑在最大环境温度下的ID的电流仍然满足电路设计的正常电流的要求。

Rthjc:温阻是对设计者需要非常
关注的设计参数,特别是当需要计算功率MOSFET在单脉冲和不同占空比时的功率损耗时,就需要查看这个数据表来进行设计估算。笔者将在如何用数据表来进行设计估算中来具体解释。

SOA:功率MOSFET的过载能力较低,为了保证器件安全工作,具有较高的稳定性和较长的寿命,对器件承受的电流、电压、和功率有一定的限制。把这种限制用Uds-Id坐标平面表示,便构成功率MOSFET的安全工作区 (Safe Operating Area,缩称SOA)。同一种器件,其SOA的大小与偏置电压、冷却条件、和开关方式等都有关系。如果要细分SOA,还有二种分法。按栅极偏置分为正偏置SOA和反偏置SOA;按信号占空比来分为直流SOA、单脉冲SOA、和重复脉冲SOA。
功率MOSFET在开通过程及稳定导通时必须保持栅极的正确偏置,正偏置SOA是器件处于通态下容许的工作范围;相反,当关断器件时,为了提高关断速度和可靠性,需要使栅极处于反偏置,所以反偏置SOA是器件关断时容许的工作范围。
直流SOA相当于占空比->1是的工作条件;单脉冲SOA则对应于占空比-> 0时的工作条件;重复脉冲SOA对应于占空比在0 < D < 1时的工作条件。从数据表上可以看出:单脉冲SOA最大,重复脉冲SOA次之,直流SOA最窄。

Transfer Curve:是用图表的方式表达出ID和Vgs的函数关系。厂商会给出在不同环境温度下的三条曲线。通常这三条曲线都会相交与一点,这个点叫做温度稳定点。
如果加在MOSFET的Vgs低于温度稳定点(在IPD90N06S4-04中是Vgs<6.2V),此时的MOSFET是正温度系数的,就是說,ID的电流是随着结温同时增加的。在设计中,当应用在大电流的设计中时,应避免使功率MOSFET工作在在正温度系数区域。
当Vgs超过温度稳定点(在IPD90N06S4-04中是Vgs>6.2V), MOSFET是正温度系数的, 就是說,ID的电流是随着结温的增加是减少的。这在实际应用中是一个非常好的特性,特别是是在大电流的设计应用中时,这个特性会帮助功率MOSFET通过减少ID电流来减少结温的增加。

EAS: 为了了解在雪崩电流情况下功率MOSFET的工作情况,数据表中给出了雪崩电流和时间对应的曲线,这个曲线上可以读出在相应的雪崩电流下,功率MOSFET在不损坏的情况下能够承受的时间。对于同样的雪崩能量,如果雪崩电流减少,能够承受的时间会变长,反之亦然。环境温度对于雪崩电流的等级也有影响,当环境温度升高时,由于收到最大结温的限制,能够承受的雪崩电流会减少。

数据表中给出了功率MOSFET能够承受的雪崩能量的值。在次例子中,室温下的EAS=331mJ
![]()
上表给出的只是在室温下的EAS,在设计中还需要用到在不同环境温度下的EAS,厂商在数据表中也会给出,如下图所示。

