kaiyun官方注册
您所在的位置:首页 > 电源技术 > 设计应用 > Buck电路的平均状态方程及小信号分析
Buck电路的平均状态方程及小信号分析
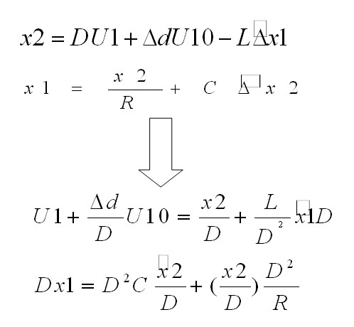
摘要: Buck电路的平均状态方程及小信号分析总结稳态分析针对不同的开关状态,写出对应的状态方程,求平均加入小信号进行分析。
Abstract:
Key words :

  Buck电路的平均状态方程小信号分析

  


 

  

 

  

 

  

 

  

 

  

 

  

 

  

 

  

 

  

 

  

 

  

 

  

 

  

 

  总结

  稳态分析

  针对不同的开关状态,写出对应的状态方程,求平均

  加入小信号进行分析

  得出等效的电路

  传递函数

此内容为AET网站原创,未经授权禁止转载。
Baidu
map