在功率MOSFET的数据表中,通常包括单脉冲雪崩能量EAS,雪崩电流IAR,重复脉冲雪崩能量EAR等参数,而许多电子工程师在设计电源系统的过程中,很少考虑到这些参数与电源系统的应用有什么样的联系,如何在实际的应用中评定这些参数对其的影响,以及在哪些应用条件下需要考虑这些参数。这里将论述这些问题,同时探讨功率MOSFET在非钳位感性开关条件下的工作状态。
EAS,IAR和EAR的定义及测量
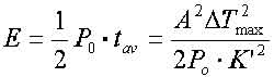
MOSFET的雪崩能量与器件的热性能和工作状态相关,其最终的表现就是温度的上升,而温度上升与功率水平和硅片封装的热性能相关。功率开云棋牌官网在线客服对快速功率脉冲(时间为100~200μs)的热响应可以由式1说明:

(1)
其中,A是硅片面积,K常数与硅片的热性能相关。由式(1)得:

(2)
其中,tav是脉冲时间。当长时间在低电流下测量雪崩能量时,消耗的功率将使器件的温度升高,器件的失效电流由其达到的峰值温度所决定。如果器件足够牢靠,温度不超过最高的允许结温,就可以维持测量。在此过程内,结温通常从25℃增加到TJMAX,外部环境温度恒定为25℃,电流通常设定在ID的60%。雪崩电压VAV大约为1.3倍器件额定电压。
雪崩能量通常在非钳位感性开关UIS条件下测量。其中,有两个值EAS和EAR,EAS为单脉冲雪崩能量,定义了单次雪崩状态下器件能够消耗的最大能量;EAR为重复脉冲雪崩能量。雪崩能量依赖于电感值和起始的电流值。
图1为VDD去耦的EAS测量电路及波形。其中,驱动MOSFET为Q1,待测量的MOSFET为DUT,L为电感,D为续流管。待测量的MOSFET和驱动MOSFET同时导通,电源电压VDD加在电感上,电感激磁,其电流线性上升,经导通时间tp后,电感电流达到最大值;然后待测量的MOSFET和驱动MOSFET同时关断,由于电感的电流不能突变,在切换的瞬间,要维持原来的大小和方向,因此续流二极管D导通。

图1 VDD去耦的EAS测量图
由于MOSFET的DS之间有寄生电容,因此,在D导通续流时,电感L和CDS形成谐振回路,L的电流降低使CDS上的电压上升,直到电感的电流为0,D自然关断,L中储存的能量应该全部转换到CDS中。
如果电感L为0.1mH,IAS=10A,CDS=1nF,理论上,电压VDS为
CDSVDS2=LIAS2 (3)
VDS=3100V
这样高的电压值是不可能的,那么为什么会有这样的情况?从实际的波形上看,MOSFET的DS区域相当于一个反并联的二极管。由于这个二极管两端加的是反向电压,因此处于反向工作区,随着DS的电压VDS增加,增加到接近于对应稳压管的钳位电压也就是 V(BR)DSS时,VDS的电压就不会再明显的增加,而是维持在V(BR)DSS值基本不变,如图1所示。此时,MOSFET工作于雪崩区,V(BR)DSS就是雪崩电压,对于单次脉冲,加在MOSFET上的能量即为雪崩能量EAS:
EAS=LIAS2/2 (4)
同时,由于雪崩电压是正温度系数,当MOSFET内部的某些单元温度增加,其耐压值也增加,因此,那些温度低的单元自动平衡,流过更多的电流以提高温度从而提高雪崩电压。另外,测量值依赖于雪崩电压,而在去磁期间,雪崩电压将随温度的增加而变化。
在上述公式中,有一个问题,那就是如何确定IAS?当电感确定后,是由tp来确定的吗?事实上,对于一个MOSFET器件,要首先确定IAS。如图1所示的电路中,电感选定后,不断地增加电流,直到将MOSFET完全损坏,然后将此时的电流值除以1.2或1.3,即降额70%或80%,所得到的电流值即为IAS。注意到IAS和L固定后,tp也是确定的。
过去,传统的测量EAS的电路图和波形如图2所示。注意到,VDS最后的电压没有降到0,而是VDD,也就是有部分的能量没有转换到雪崩能量中。

图2 传统的EAS测量图
在关断区,图2(b)对应的三角形面积为能量,不考虑VDD,去磁电压为VDS,实际的去磁电压为VDS-VDD,因此雪崩能量为

(5)
对于一些低压的器件,VDS-VDD变得很小,引入的误差会较大,因此限制了此测量电路的在低压器件中的使用。
目前测量使用的电感,不同的公司有不同的标准,对于低压的MOSFET,大多数公司开始趋向于用0.1mH的电感值。通常发现:如果电感值越大,尽管雪崩的电流值会降低,但最终测量的雪崩能量值会增加,原因在于电感增加,电流上升的速度变慢,这样芯片就有更多的时间散热,因此最后测量的雪崩能量值会增加。这其中存在动态热阻和热容的问题,以后再论述这个问题。
雪崩的损坏方式
图3显示了UIS工作条件下,器件雪崩损坏以及器件没有损坏的状态。

图3 UIS损坏波形
事实上,器件在UIS工作条件下的雪崩损坏有两种模式:热损坏和寄生三极管导通损坏。热损坏就是功率MOSFET在功率脉冲的作用下,由于功耗增加导致结温升高,结温升高到硅片特性允许的临界值,失效将发生。
寄生三极管导通损坏:在MOSFET内部,有一个寄生的三极管(见图4),通常三级管的击穿电压通常低于MOSFET的电压。当DS的反向电流开始流过P区后,Rp和Rc产生压降,Rp和Rc的压降等于三极管BJT的VBEon。由于局部单元的不一致,那些弱的单元,由于基级电流IB增加和三级管的放大作用促使局部的三极管BJT导通,从而导致失控发生。此时,栅极的电压不再能够关断MOSFET。

图4 寄生三极管导通
在图4中,Rp为源极下体内收缩区的电阻,Rc为接触电阻,Rp和Rc随温度增加而增加,射极和基极的开启电压VBE随温度的增加而降低。因此,UIS的能力随度的增加而降低。

图5 UIS损坏模式(VDD=150V,L=1mH,起始温度25℃)
在什么的应用条件下要考虑雪崩能量
从上面的分析就可以知道,对于那些在MOSFET的D和S极产生较大电压的尖峰应用,就要考虑器件的雪崩能量,电压的尖峰所集中的能量主要由电感和电流所决定,因此对于反激的应用,MOSFET关断时会产生较大的电压尖峰。通常的情况下,功率器件都会降额,从而留有足够的电压余量。但是,一些电源在输出短路时,初级中会产生较大的电流,加上初级电感,器件就会有雪崩损坏的可能,因此在这样的应用条件下,就要考虑器件的雪崩能量。
另外,由于一些电机的负载是感性负载,而启动和堵转过程中会产生极大的冲击电流,因此也要考虑器件的雪崩能量。
