随着全球经济的发展,能源问题日益尖锐,越来越多的国家开始关注能源利用及转换效率的问题。光伏发电具有无污染、无噪音、取之不尽、用之不竭等优点,因而越来越受关注。但是由于光伏系统本身非线性和光电池制造工艺复杂的特点,导致其转换效率一般为14%~15%。为了让太阳能电池阵列在同样日照、温度的条件下输出更多的电能,提出了最大功率点跟踪(MPPT)问题。
MPPT本质上是一个寻优过程。通过测量电压、电流和功率,以及比较它们之间的变化关系,决定当前工作点与峰值点的位置关系,然后控制电流(或电压)向当前工作点与峰值功率点移动,最后控制电流(或电压)在峰值功率点附近一定范围内来回摆动。模糊控制适应性强,鲁棒性好,作为一种新的控制思想,非常适合用在对于太阳能光伏发电这种包含许多不确定量,而且很难用精确的数学模型描述出来的系统。
1 光伏特性
光伏电池相当于具有与受光面平行的极薄PN截面的大面积等效二极管,其等效电路如图1所示。

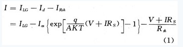
在图1中,I为太阳能电池输出电流;Id为二极管工作电流;Irsh为漏电流;ILG为led/'''' target=''''_blank''''>光电池电流源;Rsh为光伏电池的并联等效电阻;Rs为光伏电池的串联等效电阻。由图1得到光伏电池的输出特性方程为:

式中:

前式表明,并联电阻Rsh越大,越不会影响短路电流的数值。所以设计中可忽略Rsh,而得到简化的光伏电池输出特性方程:

式(1)~式(4)中:I为光伏电池输出电流;V为光伏电池输出电压;Ios为光伏电池暗饱和电流T为光伏电池的表面温度;K为波尔兹曼常数(1.38×10-23J/K);λ为日照强度;q为单位电荷(1.6×10-19C);k1为短路电流的温度系数;ISCR为标准测试条件(光伏电池温度25℃,日照强度为1 000 W/m2)下,光伏电池的短路电流;ILG为光电流;EGO为开云棋牌官网在线客服材料的禁带宽度;Tr为参考温度(301.18 K);Ior为Tr下的暗饱和电流;A,B为理想因子,一般介于1和2之间。
随着全球经济的发展,能源问题日益尖锐,越来越多的国家开始关注能源利用及转换效率的问题。光伏发电具有无污染、无噪音、取之不尽、用之不竭等优点,因而越来越受关注。但是由于光伏系统本身非线性和光电池制造工艺复杂的特点,导致其转换效率一般为14%~15%。为了让太阳能电池阵列在同样日照、温度的条件下输出更多的电能,提出了最大功率点跟踪(MPPT)问题。
MPPT本质上是一个寻优过程。通过测量电压、电流和功率,以及比较它们之间的变化关系,决定当前工作点与峰值点的位置关系,然后控制电流(或电压)向当前工作点与峰值功率点移动,最后控制电流(或电压)在峰值功率点附近一定范围内来回摆动。模糊控制适应性强,鲁棒性好,作为一种新的控制思想,非常适合用在对于太阳能光伏发电这种包含许多不确定量,而且很难用精确的数学模型描述出来的系统。
1 光伏特性
光伏电池相当于具有与受光面平行的极薄PN截面的大面积等效二极管,其等效电路如图1所示。

在图1中,I为太阳能电池输出电流;Id为二极管工作电流;Irsh为漏电流;ILG为led/'''' target=''''_blank''''>光电池电流源;Rsh为光伏电池的并联等效电阻;Rs为光伏电池的串联等效电阻。由图1得到光伏电池的输出特性方程为:

式中:

前式表明,并联电阻Rsh越大,越不会影响短路电流的数值。所以设计中可忽略Rsh,而得到简化的光伏电池输出特性方程:

式(1)~式(4)中:I为光伏电池输出电流;V为光伏电池输出电压;Ios为光伏电池暗饱和电流T为光伏电池的表面温度;K为波尔兹曼常数(1.38×10-23J/K);λ为日照强度;q为单位电荷(1.6×10-19C);k1为短路电流的温度系数;ISCR为标准测试条件(光伏电池温度25℃,日照强度为1 000 W/m2)下,光伏电池的短路电流;ILG为光电流;EGO为开云棋牌官网在线客服材料的禁带宽度;Tr为参考温度(301.18 K);Ior为Tr下的暗饱和电流;A,B为理想因子,一般介于1和2之间。
当负载RL从0变化到无穷大时,即可得到如图2所示太阳能电池的输出特性曲线。调节负载电阻RL到某一值Rm时,在曲线上得到一点M,其对应的工作电压和工作电流之积最大,即Pm=ImVm。现将此M点定义为最大功率输出点(MPP)。

2光伏系统的最大功率点跟踪
在光伏系统中,通常要求光伏电池的输出功率保持在最大,也就是让光伏电池工作在最大功率点,从而提高光伏电池的转换效率。MPPT就是一个不断测量和不断调整以达到最优的过程,它不需要知道光伏阵列精确的数学模型,而是在运行过程中不断改变可控参数的整定值,使得当前工作点逐渐向峰值功率点靠近,使光伏系统运作在峰值功率点附近。
对于电阻型负载,其负载线与I-V曲线的交叉点决定了光伏电池的工作点。不同的负载RL决定了不同的工作点。因此在不同温度、日照强度条件下,当最大功率点发生漂移时,可通过调整负载使光伏电池重新工作在最大功率点处。关于光伏电池的最大功率点跟踪算法,先前许多文献已提出过多种方法,如电压回授法、扰动观察法、功率回授法、直线近似法、实际测量法和增量电导法。
然而,在光伏组件环境变化复杂的情况下,这些方法不能即时追踪,迅速反应。常规方法只能收敛到局部最高运行点,却不是P-V曲线的真正最高点。于是提出了占空比扰动法。图3为一般光伏发电系统的结构,MPPT控制器通过调整PWM信号的占空比D,来调节输入/输出关系,从而达到阻抗匹配的功能。

3基于模糊控制的MPPT实现
3.1模糊控制基本原理
模糊控制建立的基础是模糊逻辑,它比传统的逻辑系统更接近于人类的思维和语言表达方式。在一些复杂系统,特别是系统存在定性的不精确和不确定信息的情况下,模糊控制的效果常优于常规控制。模糊控制系统基本结构如图4所示。

模糊控制系统一般按输出误差和误差的变化对过程控制进行控制,其首先将实际测量的精确量误差e和误差变化Δe经过模糊处理而变换成模糊量,在采样时刻k,定义误差和误差变化为:

式中:yr和yk分别表示设定值和k时刻的过程输出;ek为k时刻的输出误差。用这些量来计算模糊控制规则,然后又变换成精确量对过程进行控制。
3.2模糊控制器的设计
模糊逻辑控制器的设计主要包括以下几项内容:
(1)确定模糊控制器的输入变量和输出变量;
(2)归纳和总结模糊控制器的控制规则;
(3)确定模糊化和反模糊化的方法;
(4)选择论域并确定有关参数。
模糊化的设计,其解答往往不是惟一的,在很大程度上要运用启发式试探方法以求取得最佳的选择。对于初始设计可先模拟,若控制性能达不到要求,则需要重新确定隶属函数,有时甚至要重新确定输入/输出量。
3.2.1输入/输出量模糊子集及论域
模糊系统的输入输出变量有输入功率变化量E;输入上次步长量A(n-1);输出步长量A(n)。将语言变量E和A分别定义为8个和6个模糊子集,即:
E={NB,NM,NS,NO,PO,PS,PM,PB)
A={NB,NM,NS,PS,PM,PB}
式中:NB,NM,Ns,NO,PO,PS,PM,PB分别表示负大、负中、负零、正零、正小、正中、正大等模糊概念,并且它们的论域规定为14个和12个等级,即:
E={-6,-5,-4,-3,-2,-1,-0,+0,+1,+2,+3,+4,+5,+6)
A={-6,-5,-4,-3,-2,-1,+1,+2,+3,+4,+5,+6}
3.2.2 MPPT的模糊控制算法
图5中e(n)表示第n时刻与第n-1时刻输出功率之差的实际值;E(n)表示这个差值对应于模糊集论域中的值;a(n)表示第n时刻步长的实际值;A(n)表示这个步长值对应于模糊集论域中的值;Ke,Ka分别为量化因子。

通过对光伏电池输出P与占空比D之间的特性曲线分析,并且考虑到外界环境因素对光伏电池输出功率的影响,对实际仿真结果进行调整得到的最终控制规则如表1所示。

4系统建模与仿真
Matlab的模糊逻辑工具箱拓展了Matlab对模糊逻辑系统的设计能力,已经成为运用模糊手段解决工程问题的重要工具。在此结合Matlab7.1中的模糊逻辑工具箱进行辅助设计。模糊逻辑工具箱在默认状态下给出了mamdani型控制器,选择“交”方法为min;“并”方法为max;推理方法为min;聚类方法为max;解模糊方法为重心法。图6为模糊逻辑工具箱界面。

模糊控制器设计完毕后,利用Simulink搭建光伏电池模型,如图7所示。

其次搭建MPPT模糊控制系统如图8所示。

图中,subsystem为光伏电池模型;S函数只实现D(n)=D(n-1)+a(n)的功能。其中,经过反复试验,量化因子Ka取0.01;Ke取10。模拟外界因素强度从600 W/m2突然增大到900 W/m2,表面温度T=25℃,并设置仿真最大步长时间为0.025 s,运行时间为10 s。由此得到输出功率波形如图9所示。

图10为扰动观察法输出功率的跟踪波形。通过比较可以发现,采用模糊逻辑控制跟踪光伏电池最大功率点,不仅跟踪迅速,而且达到最大功率点后基本没有波动,即具有良好的动、稳态性能。
5结语
在太阳能发电系统中进行最大功率点跟踪时,根据跟踪情况和电池表面温度、日照强度等外界因素的变化,利用模糊控制来智能地调整步长。
运用Simulink建立模型并进行仿真,其结果表明,将模糊控制运用于最大功率跟踪是可行的,并且表现出良好的控制性能。
