0 引 言
升压变换器是最常用的一种变换器,随着新能源的推广,由于太阳能、燃料电池、蓄电池等输入源具有输入电压较低的特性,升压变换器成为不可或缺的关键部件。常用的非隔离Boost" title="Boost">Boost升压变换器,在高输出电压场合,由于寄生参数的影响不可能达到很高的输入输出电压比。而另一种升压电路是隔离升压电路,例如正激、反激电路。隔离升压电路中必须用到的变压器通常具有隔离、变压的功能,在那些不需要隔离或体积要求较小的应用场合,通过变压器升压就很难满足要求,另外变压器漏感引起的一系列问题,比如开关电压过冲,EMI等,常常对电源本身及周围设备带来安全隐患。
为了克服常用升压变换器在大功率、高输入输出变比等场合应用的限制,本文研究分析了一种新的电路拓扑结构及其工作方式,并对其进行了仿真验证。
1 工作原理
下面分析Boost电路存在的不足,在理想情况下:

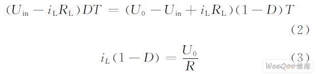
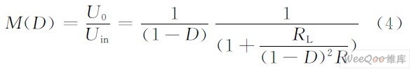
M(D)=U0Uin= 11-D(1)根据式(1),在一定的输入电压下,理论上可以产生任意高于输入电压的输出电压。而实际情况中,由于电感、二极管、开关管都会产生一定的损耗,这些损耗可以等效为一个与电感串联的电阻RL,如图1所示:

图1 Boost等效电路图
此时根据磁平衡原理:

由式(2)、(3)可得:

根据式(4),在不同的RL/R 情况下,M(D)如图2所示。由此可见,在实际电路中,Boost电路升压比有限制极限,输出电压一般能达到输入电压的4~5倍。在大功率应用环境中,由于损耗严重,升压比反而更低。
为了克服上述非隔离升压电路的不足,本文研究的升压变换器如图3所示,它由交错并联Boost电路与电容串联组合而成。
占空比" title="占空比">占空比关系曲线图" border="0" height="266" hspace="0" src="//www.ninimall.com/files/images/20110423/257ad1f8-944f-42d4-8e7e-ecdf1d95472c.jpg" style="FILTER: ; WIDTH: 331px; HEIGHT: 266px" width="331" />
图2 升压比与占空比关系曲线图

图3 高升压比交错并联Boost电路结构图
在电感电流连续模式下,当占空比大于0。5时,系统工作原理时序如图4所示,PS1、PS2分别为开关管S1、S2的驱动脉冲。ID1、ID2分别为流过续流二极管D1、D2的电流。
波形图" title="波形图">波形图" border="0" height="897" hspace="0" src="//www.ninimall.com/files/images/20110423/4e262d73-4948-4834-aae9-4385ffb10864.jpg" style="FILTER: ; WIDTH: 384px; HEIGHT: 897px" width="384" />
图4 系统工作波形图
在一个周期内系统工作状态如下:
[t0~t1]阶段,S1、S2同时导通" title="导通">导通。输入电流流过电感与开关管,所有的二极管电流为零,电感储存能量,如图5所示。
![[t0~t1]阶段电路工作图](http://www.ninimall.com/files/images/20110423/05abbc75-0bd1-43bb-b906-862395e628c8.jpg)
图5 [t0~t1]阶段电路工作图
[t1~t2]阶段,S1导通、S2关断" title="关断">关断。电感L2储存的能量通过D4、D2释放给C1、Co,如图6所示。此时C1、C2通过D4串联,同时与Co通过D2并联,输出电压等于C1或C2两端电压的两倍。
![[t1~t2]阶段电路工作图](http://www.ninimall.com/files/images/20110423/7f43a3c6-b7a7-40b2-8fd6-ef8935d5a718.jpg)
图6 [t1~t2]阶段电路工作图
[t2~t3]阶段,S1、S2同时导通。系统状态与[t0~t1]阶段相同。
[t3~t4]阶段,S1关断、S2导通。电感L1储存的能量通过D3、D1释放给C2、Co,如图7所示。此时C1、C2通过D3串联,同时与Co通过D1并联,L2继续导通并储存能量。
![[t3~t4]阶段电路工作图](http://www.ninimall.com/files/images/20110423/124c230c-1026-4b8d-939c-40d275bcfde9.jpg)
图7 [t3~t4]阶段电路工作图
在电感电流连续模式下,占空比大于0。5时,设L1=L2=L,C1=C2=C,UC1=UC2=U,由磁链守恒得:

根据式(5)可得:

输出电压U0等于UC1与UC2之和:

由式(7)可见,在相同占空比的条件下,采用本文所述电路结构的升压比比采用传统Boost电路的升压比提高了两倍。
在电感电流连续模式下,占空比小于0。5时,开关管S1、S2的驱动脉冲如图8所示。

图8 占空比小于0.5时,开关管S1、S2的驱动脉冲
在一个周期内系统的工作状态如下:
[t0~t1]阶段,开关管S1导通S2关断。电感L2储存的能量通过D4、D2释放给C1、C0,这时电路工作状态与图6所示相同,且C1、C2通过D4串联,同时与Co通过D2并联,输出电压等于C1或C2两端电压的两倍。
[t1~t2]阶段,开关管S1、S2同时关断。电感电流分别通过C1、D1与C2、D2向负载放电,如图9所示。

图9 S1、S2同时关断时工作原理图
[t2~t3]阶段,S1关断、S2导通。电感L1储存的能量通过D3、D1释放给C2、Co,这时电路工作状态与图7所示相同,且C1、C2通过D3串联,同时与Co通过D1并联,电感L2继续导通并储存能量。
[t3~t4]阶段,开关管S1、S2同时关断,系统状态与[t1~t2]阶段相同。
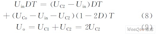
在电感电流连续模式下,占空比小于0.5时,设L1=L2=L,C1=C2=C,UC1=UC2=U,UCo=Uo,根据以上状态分析,在[t0~t1]时间段内,电感L1两端电压为Uin,在[t2~t3]时间段内,电感L1两端电压为UC2-Uin,在[t3~t4]与[t2~t3]时间段内,电感L1两端电压为UCo-UC1-Uin,由磁链守恒得:

根据式(8)、(9)可得:

输出电压Uo为UC1与UC2之和:

因此,在电感电流连续的状态下,无论占空比大于还是小于0.5,输出电压与输入电压关系都满足式(11)。
2 仿真验证
为了分析验证上述电路的工作原理,本文选用PSIM 软件进行仿真。电路参数选择如下:Uin=25V,Uo=200 V,L1=L2=200μH,C1=C2=Co=200μF,开关频率为50 kHz,输出功率为1 000 W。电感、电容的参数大小由式(12)、(13)、(14)确定。

式中,ΔlL1为电感L1的电流纹波。

式中,ΔUC1为电容C1的电压纹波,Iin为输入电流。

ΔUo为输出电压的纹波。
下文的仿真实验验证了本文所分析的电路工作原理。图10所示为稳态下开关管S1、S2的驱动波形,从图中可以看出占空比为0.75,输入电压与输出电压的关系为:


图10
图11、12所示为开关管电流IS1、IS2与二极管电流ID3、ID4的波形图。由图可见仿真波形与图4所示的开关管、二极管理论分析波形一致,验证了理论分析的正确性。图13、图14为输入电感L1、L2和输出电压Uo波形图。由公式(12)、(14)可得,理论电感电流、输出电压纹波分别为1.875 A、0.125 V。

图11 开关管S1、S2电流波形图 图12 二极管D3、D4电流波形图

图13 电感L1、L3电流波形图 图14 输出电压波形图
3 结 论
本文详细分析了非隔离Boost电路的升压比受到限制的原因,研究了一种高升压比交错并联Boost电路拓扑结构。此电路结构可以在不采用变压器的条件下,有效地提高输入输出电压比。文中主要对电路的工作过程和其主要参数进行了分析研究,并由仿真实验对其进行了验证。通过分析可知,采用该电路结构比采用普通Boost电路,升压比提高了2倍,极大地扩大了非隔离式Boost电路的应用范围。
