HT81293单节/双节锂电供电内置自适应动态升压20W单声道D类功放IC解决方案
2022-01-11
来源:电子创新网
2017年以来,户外蓝牙音箱(包括2寸/4寸喇叭便携式蓝牙音箱及6寸/8寸户外拉杆音箱等产品类型)成为增长最快的音箱品类。这类音箱供电是以单节锂电池为主,一般选用内置升压的音频功放芯片,电荷泵无电感升压的功放芯片最常见升压至6.3V上下功率输出3~5W/4欧,电感Boost升压的功放芯片升压至7V左右功率输出6~8W/3欧,其性能基本满足室内,户外场景的应用。但是更大功率更好音质一直是音箱市场永恒的追求。
深圳市永阜康科技有限公司顺应拉杆音箱以及蓝牙小音箱市场音质功率升级的需求,推广一款单节双节锂电供电内置自适应动态升压20W单声道D类功放IC-HT81293。采用最新的BCD工艺,内部Boost模块升压至12V,已经与铅酸电池/三节串联锂电池的电压持平,实现了单节锂电供电极致功率输出。
HT81293特有的自适应动态升压,能根据芯片需要输出功率的大小来对应调整电源模块的输出电压,极大提高锂电池的续航时间;其输入电流限制功能可设定最大输入电流,以免因锂电池瞬间电压跌落太低造成主控重启(考虑到功率要求,一般推荐最大输入电流设定为8A左右);能通过一个主控IO口实现关断、开启、防破音开启/关闭等各种模式的切换,节省蓝牙主控的资源;2档防破音模式,ACF1宽动态音量震撼模式适合户外拉杆音箱,ACF2高保真低失真模式适合便携式蓝牙音箱,两种模式选择只需要改动外围电阻,便可呈现不同风格的音质。
HT81293概述
HT81293是一款内置升压的单声道D类音频功率放大器,由锂电池供电时, THD+N=10%,能连续输出18W功率(4Ω负载)。
HT81293A内置可动态调节的升压,可以提供一个适应不同输出功率的电压给D类功放,其可大幅提高系统效率,延长电池续航时间。HT81293F则内置固定升压,提供一个固定9V或12V的升压给D类功放。HT81293可配置升压限流值,以防止过大的电流尖峰。
HT81293的最大特点是防削顶失真(ACF)输出控制功能,可检测并抑制由于输入音乐、语音信号幅度过大所引起的输出信号削顶失真(破音),也能自适应地防止在BOOST升压电压下降所造成的输出削顶,显著提高音质,创造非常舒适的听音享受,并保护扬声器免受过载损坏。HT81293提供两种不同音乐体验的ACF模式,以及ACF-Off模式。 HT81293具有先进的扩频功能来抑制EMI。 HT81293的增益为32dB。此外,HT81293集成了输出端过流保护、片内过温保护、升压过压保护等功能。
HT81293特性
?防削顶失真功能(防破音, Anti-Clipping Function, ACF)
?扩频技术
?输出功率:
18W (VBAT=3.7V, RL=4?, THD+N=10%, fIN = 1kHz)
16W (VBAT=3.7V, RL=4?, THD+N=1%, fIN = 1kHz)
?VBAT供电范围:3.0V至12V,兼顾单节双节锂电应用
?高效H类升压功能 -自适应功放功率的升压轨,延长电池播放时间 (HT81293A) -可调节最大限流值,有效防止电池拉死
?保护功能:过流/过热/过压保护功能
?无铅封装,ESOP16
HT81293应用
?蓝牙/ Wi-Fi音箱 ?便携式音箱 ?智能音箱 ?智能家居
HT81293动态升压波形图:

HT81293应用信息
1. HT81293脚位图

2.HT81293管脚说明

3.HT81293DEMO板原理图

4.HT81293DEMO板PCB顶层设计图

5. HT81293DEMO板PCB底层设计图

6.HT81293DEMO板贴片图

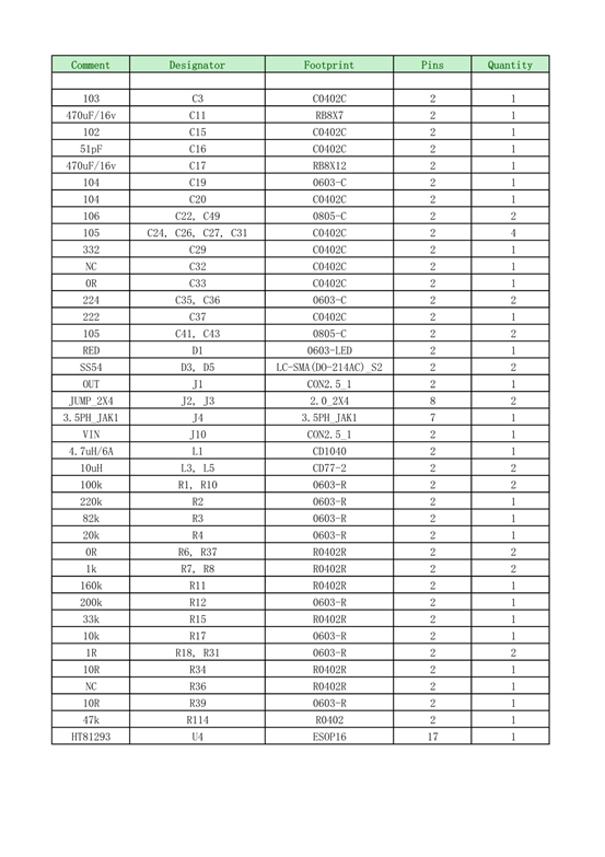
7.HT81293DEMO板物料清单

8.HT81293DEMO板3D布局图正面

9.HT81293DEMO板3D布局图反面

10.HT81293 DEMO板实物图

