0引言
电力线通信(PowerLineCommunication,PLC)是以电力网作为信道,进行载波通信的一种有线通信方式。PLC在欧洲(德国、英国、瑞典等)发展得较快,最近,英国在电力线媒介开发方面取得了突破性进展,用户可通过电力线进入Internet网,从简单的数据传输提高到了网络联接。
中国电力系统也已组建国电通信中心,并向信息产业部正式申请了牌照。国家电力公司计划在2015年建成全国统一的联合电力网通信系统。
但是,低压电力线是一种通信环境非常恶劣的信道,许多问题有待进一步研究。低压电力线传送着220V/50Hz的电能,在低压电力线上并接了许多不同阻抗的用电器。低压电力线的这一固有特点,给低压电力线通信带来了很大的困难。因此,低压电力线通信必须首先解决以下2个难题:
(1)电力网50Hz的工频信号不能给载波通信系统带来太大的干扰,同时,考虑到整个通信系统的安全,必须进行强电隔离;(2)低压电力线上并接的所有用电器的“统计载波阻抗”要高,以确保较高的载波信号加载效率。
上述问题,正是低压电力线通信的接口技术问题,以下从这两方面介绍其设计原理和实现方法。
1接口电路的模型
根据低压电力线通信接口技术的要求:①必须进行强电隔离;②确保较高的载波信号加载效率。为此,就必须采用“电磁耦合”与“阻容耦合”相结合的“复合耦合技术”。接口电路模型如图1所示。

图1接口电路模型。
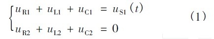
该电路的关键物理量是2个回路中的电流i1(t)和i2(t)。由基尔霍夫第二定律可得出该电路的数学模型:

式中,设i′、i″分别为i的一、二阶导数,则:

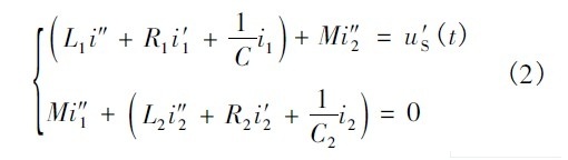
对于式(1),通过不同的处理将得到不同的数学模型。对图1所示的双RLC耦合回路进行去耦处理,得到2个独立的RLC串联回路。对式(1)求导,则可得到二元二阶方程组:

式(2)同时含有2个未知函数i1(t)和i2(t)的二阶导数,不便直接求解。
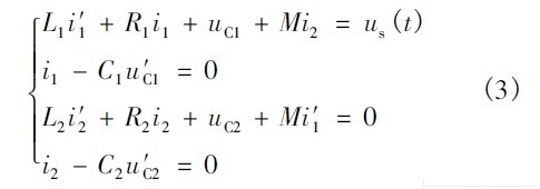
若将RLC串联回路表示成二元一阶方程,则由2个RLC回路便可得到四元一阶方程组:

该方程组含有4个未知数:i1(t),i2(t),uc1(t),uc2(t),其定解条件直接由电路的初始储能情况给出。当无初始储能时,为齐次初始条件,即:

设所有电路元件都是非时变性元件,则所对应的常系数线性一阶常微分方程组可转化成线性代数方程组进行求解。
通过对上述接口电路数学模型的分析、化简可知,基于“复合耦合技术”的接口电路模型,电路的主要参数是可以通过线性代数方程组进行求解,接口电路的原理清晰,计算复杂度较小,符合低压电力线载波通信要求,是简洁、可行的。
2ST7538电力线接口电路的设计
2.1ST7538调制解调芯片
ST7538载波芯片是一款为家庭和工业领域电力线网络通信而设计的半双工、同步/异步FSK调制解调器芯片。ST7538内部集成了发送和接收数据的所有功能,通过串行通信,可以方便地与微处理器相连接,且只要通过耦合变压器等少量外部器件,即可连接到电力网中。ST7538功能强大、集成度很高,采取了多种抗干扰技术,如果能够很好地利用其多频段性,就可以克服窄带通信的缺点。ST7538作为很有代表性的窄带通信芯片,在远程抄表、灯光控制、智能家电等领域已经有了广泛的应用。
除此之外,该芯片还有以下主要特点:
(1)有8个可编程(载波)频率,即60、66、72、76、82.05、86、110、132.5kHz;(2)内部集成电力线驱动接口,并且提供可编程电压控制和电流控制;(3)可编程通信速率高达4800b/s;(4)极低的功耗,在接收状态下功耗只有5mW;(5)接收灵敏度很高,接收灵敏度为1mVRMS。
2.2接口电路框图
ST7538电力线收发信号通道框图设计如图2所示。接收信号通道由耦合电路、滤波电路、保护电路、电压放大电路组成。发送信号通道由电压放大电路、功率放大电路、滤波电路、保护电路、耦合电路组成。
电力线接口首先是一个耦合电路,用于FSK信号的传输与接收,同时也是一个滤波系统,能可靠地过滤掉220V/50Hz的电力信号、噪声信号和浪涌信号。

图2ST7538的电力线收发信号通道框图。
由于希望系统使用时有较远的通信距离,就必须要求模块发送端有足够大的功率输出,而大输出功率的放大电路不宜长时间连续工作,否则容易过热损坏;若设计高要求的大输出功放。功放是功率放大器的简称,即是在以定的失真率范围内,能产生最大功率输出来驱动某一负载(例如扬声器)的放大器,通常主机的额定输出功率不能胜任带动整个音响系统,这时候就需要用到功放。由此可见,功放在一定程度上决定了系统输出的音质。
电路,会增加系统成本。为此,系统采用如图2框图中的发送放大电路电源控制,使系统只有处于发送状态时发送电路中的电压放大和功率放大电路才能得到合适的工作电源而工作;系统处于接收状态时,发送电路中的电压放大和功率放大电路因得不到电源而不工作;而模块中的接收信号通路的电压放大电路是始终工作的。
2.3耦合保护窄带滤波接口电路
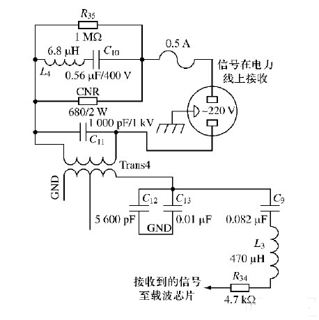
根据上述接口电路的模型,可设计出低压电力线通信发送端的接口电路,如图3所示。

图3载波发送端接口电路。
在发送电路中,三极管和变压器组成调谐功率放大电路。该谐振变压器TRANS4有着双重作用:①耦合载波信号;②使通信电路与220V/50Hz的强电隔离,C14为耦合电容。
前级功放输出的信号经谐振网络选频,耦合到交流电力线上,其调谐回路的谐振频率应满足:

若将中心频率选在82.05kHz,C11=1000pF,经计算可得电感能产生电感作用的元件统称为电感原件,常常直接简称为电感。电感器在电子制作中虽然使用得不是很多,但它们在电路中同样重要。我们认为电感器和电容器一样,也是一种储能元件,它能把电能转变为磁场能,并在磁场中储存能量。
L的取值在3.76mH左右。实用时,一般通过调节变压器一次绕组电感量来调节中心频率。C10=0.56μF,经计算可得电感L4=6.73μF(实用L4=6.8μF),变压器设计为部分接入功放,①考虑阻抗匹配的需要;②使变压器及电力线侧负载变化对谐振特性的影响最小。选取在电力线上的元件C10、C11、R35、CNR、L4时,既要考虑它们的通载波、隔离220V/50Hz的强电能力,还要考虑器件的耐压和功率、电路使用的安全及有效性。R35、CNR还兼有展宽通频带的作用,但信号增益有所下降。
变压器TRANS4将电力线与接口电路的其余部分相隔离,发送信号送至电力线;然后,从电力线上取接收载波信号;最后,滤除来自电力线上的干扰噪声。
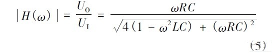
信号经变压器二次侧、L4、C11、C10、CNR、R35耦合至电力线上,变压器二次侧、L4、C11、C10、CNR、R35组成了带通滤波器,而低压电力线阻抗R具有时变特性。由此,可计算出经变压器二次侧、L4、C11、C10、CNR、R35和低压电力线阻抗R组成的双口网络的电压转移函数:

式中,R、C、L分别为双口网络的等效电阻、电容、电感。
低压电力线通信接收端的接口电路如图4所示。电力线侧的接口电路部分接收和发送信号共用,接收信号时,信号从交流220V的插座送入电力线,经0.5A熔断器保护电路,由C10、CNR、R35、C11、变压器线圈组成的降压选频电路(中心频率设计为82.05kHz)及变压器耦合后,经由C12、C13及变压器线圈组成的并联谐振回路选频,再经L3、C9组成的滤波耦合到运放进行电压放大及整形,放大整形后的信号输入到电力线载波芯片。

图4载波接收端接口电路。
3接口电路的仿真试验及分析
根据接口电路的电压转移函数,对双口网络进行计算机仿真分析。在此,重点分析在不同低压电力线阻抗条件下带通滤波器的通频带,即该接口电路的频率特性。频率特性是*价该接口电路耦合性能的一项重要指标。仿真显示,当电力线电阻为2、10、20、50、70、100Ω时,幅频特性情况如表1和表2所示。
对50Hz/220V强电的相对抑制力(dB)=
表1不同电力线阻抗及不同中心频率下的输出幅度(Uop/V)输入信号幅度=1V。

表2不同电力线阻抗的上、下限截止频率及通频带。

从表1和表2的分析结果可见:电力线阻抗越大,接口电路的通频带就越宽,对信号的耦合性能也就越好,但选择性差;反之,电力线阻抗越小,接口电路的通频带越窄,对信号的耦合性能就越差,但选择性好。经统计分析知,低压电力线的统计阻抗一般在5~15Ω之间[2]。因此,ST7538电力线载波芯片所使用的60~132.5kHz的载波信号均在通频带(衰减小于3dB)范围内。也就是说,以82.05kHz作为低压电力线通信接口电路的中心频率是合理的。用电力线载波芯片ST7538其他载波频率来收、发信号,也可用此接口电路。此接口电路有如下特性:①满足载波发射高阻抗的要求,提高了载波的加载效率;②在满足信号的耦合性能的同时,还兼顾对频率选择性的要求,从而提高了系统的抗干扰能力。
在电路的具体安装和调试过程中,通过调节电感磁来调节电感量,使通频带达到最佳。在基于电力线载波芯片ST7538低压电力线载波通信实验中,选用82.05kHz作为低压电力线通信的中心频率,设负载阻抗为5~15Ω。试验结果表明,能准确地实现点控、群控灯组(实现数据通信);能实现语音信号(信号中心频率1kHz,频率范围0.02~10kHz)的传输(实现模拟通信);能实现对正弦波形信号(频率范围0.01~100kHz)的传输(实现模拟通信)。
4结语
基于“电磁耦合”与“阻容耦合”相结合的“复合耦合技术”,建立了低压电力线载波通信的接口电路”的数学模型,由此设计了基于ST7538的低压电力线载波通信的接口电路。仿真试验结果表明:该接口电路既有较高的载波信号加载效率,较好的幅频特性,又能完全地隔离电力网50Hz的工频信号,且接口电路的通用性强,故可广泛应用于低压电力线通信系统。
