随着便携式电子设备的广泛使用,系统集成度越来越高。对于数/模混合的片上系统中,数字电路对模拟电路的干扰加大,因此模拟电路与数字电路需要施加独立电源,以减小数/模混合带来的相互干扰以及动态调整功耗。全集成型LDO线性稳压器可以用来为系统中各子模块单独供电,具有抑制电源噪声,减小干扰,同时消除键合线电感引入的瞬态脉冲的优点,此外还可以减小片外器件和芯片引脚,所以全集成型LDO线性稳压器成为片上系统(SoC)型集成电路中不可或缺的模块。由于LDO的负载电流变化大,且调整管尺寸较大,为满足LDO的稳定性要求,必须对LDO进行频率补偿。传统方法是利用负载电容的ESR进行补偿,但是,全集成型LDO不允许使用片外电容,因此设计一个不需片外电容,稳定,响应速度快的LDO是面临的主要挑战。
1 LDO原理与频率补偿
LDO线性稳压器的传统电路结构如图1所示,由误差放大器,缓冲器,调整管M0,分压电阻RF1,RF2,以及片外滤波电容C0和其寄生的等效串联电阻RESR组成。片外电容C0和RESR组成的零点用来抵消LDO中第2个极点,从而达到环路稳定。当没有片外电容补偿时,由于输出负载电流变化大,LDO的输出极点变化大,环路稳定性设计变得困难。Leung提出了衰减系数控制频率补偿法(Damping Factor Control Compen-sation,DFC)和引入零点补偿,在稳定性,响应时间方面具有较好的特性。Milliken采用在调整管的输入端和输出端之间加入一个微分器,将调整管输入节点和输出节点的2个极点分离,从而在只使用片内电容时依然保持稳定。Kwok使用动态密勒电容补偿技术,通过串联一个在线性区工作的PMOS管作为动态可调电阻,在误差放大器的输出端引入一个动态零点抵消LDO的输出极点,实现系统稳定。本文中则采用在负载端引入零点,补偿误差放大器输出极点的方法,避免了为补偿LDO输出极点,而需要大电容和动态调整电阻的要求,且减小了需要的补偿电容值,降低了芯片面积。

2 电路设计
图2为所设计的LDO线性稳压器电路,误差放大器为折叠式共源共栅结构,由M1~M14组成,M0为输出调整管,反馈网络由RF1,RF2和CF1组成,电容Cc为误差放大器的补偿电容。
图2中电阻电容反馈网络的传输函数为:

这种反馈网络产生了一个零点zf和一个较高的极点pf,设置极点pf大于单位增益频率,即RF2//RF1>1/(CF1·pf)。
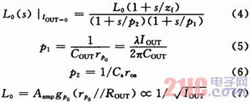
不施加片外电容时,LDO的传输函数为:

式中:Ca,roa为分别误差放大器输出a端的寄生电容和输出电阻;gp0,rp0分别为调整管M0的跨导和小信号输出电阻;Aamp为误差放大器的增益。由式(7)增益L0随着负载电流增大而降低,而极点p1随负载电流增大而升高,极点p2基本保持不变,对于不施加片外电容,其等效串联电阻RESR所提供的零点不存在,在输出负载电流IOUT=0时,调整管输出电阻rp0最大,gmp0最小,故小负载电流时,环路稳定性变差。为满足LDO稳定性要求,IOUT必须有一个最小输出电流,以保证M0的输出极点P1不会太低。为保证极点P2和零点zf相近而抵消,须适当减小调整管M0尺寸。在本应用中,LDO输入电压为2.5V,用于为1.2V核心电路供电,调整管M0的VDS=1.3V,所以M0可以取较小尺寸。

本设计采用了一阶温度补偿带隙基准电压源,图4所示为带隙基准电压源的核心电路,这里采用了典型的一阶温度补偿电流模结构。其中M1,M2和M3宽长比相同,R1=R2,A0为误差放大器,误差放大器的同相端接Va端,反相端接Vb端。为了保证电路的稳定性,必须保证电路中由M1,Q1和R1组成的正反馈网络的反馈系数小于M2,R2,Q0和R0组成的负反馈网络的反馈系数,即要求:

运算放大器A0使Va,Vb两点电压相等,忽略电阻的温度系数,电流I0为PTAT电流,I1为CTAT电流。通过选择
,可以得到-40~+85℃范围内温度系数小于4.76ppm/℃。

3 仿真验证
该电路采用SMIC 0.25μm CMOS工艺实现,输入电源电压为2.5V,输出电压为1.2V,作为芯片模拟部分的电源。LDO的环路稳定性采用Spectre stb仿真,结果如图5所示,负载电流从1mA变化到100mA,整个系统相位裕度均在40°以上,系统稳定。图6为负载电流从1mA到100mA转换时,输出电压和输出电流瞬态响应曲线。从图中可以看出,瞬态响应过冲小于20mV,无振铃现象产生。图6为仿真的电源电压抑制比(PSRR)。低频时PSRR好于75dB。整个LDO包括基准电压源共消耗静态电流390μA。

4 结语
本文设计了一种全集成型LDO线性稳压器,采用一种简单的频率补偿电路,通过输出反馈电路引入零点,抵消了LDO产生第二个极点,获得较好的稳定性。此方法结构简单、不损失环路开环增益、带宽高,而且所需要的补偿电容小,节省芯片面积和输出引脚。
