传统电子线路的分析、设计方法首先是根据指标要求设计电路及其元件参数,在简化电路的基础上,对电路进行手工估算,然后在实验室搭建电路,使用仪器、仪表进行测试,验证是否满足指标要求。仿真软件Multisim借助虚拟现实技术,使设计者能“如实”地选择、更换元件,能“如实”地操作各种仪器、设备,进行“现场”实验,能快速地模拟、分析、验证所设计电路的性能。与传统方法相比,这种虚拟技术既省时又经济,而且还可避免实验中发生的各种损坏和事故,在教学中更能节省时间和精力,有着广泛的应用前景。
1 仿真软件介绍
Multisim是用于电子电路仿真和设计的EDA工具软件之一,属于Electronics Workbench(EWB)系列软件的高版本。EWB由加拿大Interactive。ImageTechnologies公司(IIT公司)于1988年推出。IIT公司从EWB 5.0版本开始,将电路图输入仿真与设计的模块更名为Multisim。随着软件的升级,2005年,公司将其命名为Multisim 9。其特点如下:
(1)Multisim是全功能电路仿真系统。
(2)Multisim是一个完整的电子系统设计工具。
(3)具有强大的仿真分析功能。
(4)具有多种常用的虚拟仪表。
(5)与NI相关虚拟仪器软件的完美结合,提高了模拟及测试性能。
2 仿真实例
下面分别以在电路分析、模拟电子电路中的实际电路分析来说明该软件在电子电路中的应用。
2.1 RC一阶动态电路的响应
2.1.1 RC一阶动态电路的描述
动态电路的过渡过程是十分短暂的单次变化过程,对时间常数较大的电路,可用超低频示波器观察其过渡过程。然而,若用一般的中频示波器观察过渡过程和测量有关的参数,则必须使这种单次变化的过渡过程重复出现。为此,实验中利用信号发生器输出的方波信号来模拟阶跃激励信号,即用方波输出的上升沿作为零状态响应的正阶跃激励信号,利用方波的下降沿作为零输入响应的负阶跃激励信号,方波信号的周期大于电路的时间常数。电路在这样的方波序列脉冲信号的激励下产生的响应过程,与直流电压源的接通与断开的过程类似。
2.1.2 积分电路

2.1.3 微分电路

2.1.4 电路仿真
积分电路
取R=10kΩ,C=100nF,信号发生器的输出为方波(幅值为2V,偏移为2V,频率为1kHz,占空比为50%)作为激励电压,其仿真电路图如图2所示。

微分电路
取R=510Ω,C=100nF,信号发生器的输出为方波(幅值为2V,偏移为2V,频率为1kHz,占空比为50%)作为激励电压,其仿真电路图如图3所示。

2.2 基本共射放大电路仿真
通过对图4所示基本共射放大电路的静态和动态性能测试进一步说明该软件的功能及适用范围。

2.2.1 静态工作点分析
确定静态工作点的方法是动静结合,在电路的输入端加上正弦信号(幅值为10mV,频率为1kHz)。加上示波器(示波器的A通道接输入端,B通道接输出端),打开仿真开关,双击示波器图标,保持其他参数不变,调节电位器R的阻值(按A键阻值增大,按Shift+A键阻值减小,每次增减5%),同时观测输出信号波形和UCE读数(由万用表或电压表测得),直至波形无失真且(此时电位器的阻值为50%),即可认为电路的静态工作点基本合适。当确定了静态工作点后,将输入正弦输入信号置为0mV,由仿真结果可知,UC=7.869V,UE=1.902V,UB=2.543V,IC=1.726mA。
2.2.2 动态性能分析
放大器的动态性能指标主要包括电压放大倍数、输入电阻、输出电阻和幅频特性分析。
(1)电压放大倍数Au
当放大器调整到合适的静态工作点时,加入输入电压(10mV的正弦信号),用万用表或电压表测出输入电压Ui和输出电压Uo的值,则接上负载是电压放大倍数为:

负载开路时电压放大倍数为:

可知,电压的放大倍数与负载有关,负载开路时电压放大倍数增大。
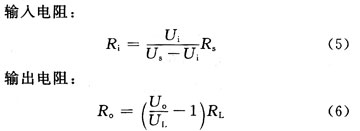
(2)输入、输出电阻
输入电阻Ri是指从放大器的输入端看进去的等效电阻,它表明放大器对信号源的影响程度;输出电阻Ro是指从放大器的输出端看进去的信号源等效电阻。

式(5)中的Ui和Us分别是输入端与信号源之间串入的已知电阻和不加电阻时所测得的输入值,Rs即为所串入的电阻值,其阻值的大小取为1~2 kΩ;式(6)中Uo和UL分别是负载开路和接上负载时的输出值,其测试图如图5所示。

在图5中通过开关J1控制在输入端是否串入电阻,开关J2控制是否加入负载。通过万用表测得数据可计算出输入电阻Ri=9.57 kΩ,输出电阻Ro=2.4 kΩ。
(3)幅频特性
放大器的幅频特性是指放大器的电压放大倍数与输入信号频率之间的关系曲线。在Multisim中频率特性的测试方法有两种:直接测量法和扫描分析法。
①直接测量法
将波特图仪连接在电路中,如图5所示。双击波特图仪,仿真后,放大电路的幅频响应和相频响应如图6所示。可知下限频率fL=21.319Hz,上限频率fH=1.82lMHz,则通频带BW=fH-fL=1.821MHz。
②扫描分析法
通过单击Simulate→Analyses(AC Analysis菜单,在弹出的对话框中“Output”栏选择输出节点MYM7,设置完成后点击Simulate按钮进行分析。得到电路的幅频特性和相频特性曲线图同图6所示一致,且与理路论分析结果完全吻合。

3 结语
利用Multisim对RC一阶动态电路及共射极放大电路主要性能指标的分析是一种方便、易行的方法,省去了在电子电路教学中用实际元器件安装调试电路的过程,能启发学生从验证性实验的传统思维过渡到对电路的分析、故障的排除和电路的设计;降低了实验成本,弥补了硬件环境下实验教学的不足,对更新实验教学方法,提高实验教学质量,改善实验教学效果有着非常重要的作用。另外还可利用Multisim软件自身提供的交流分析、噪声分析等来优化电路设计和分析。
