文献标识码: A
DOI:10.16157/j.issn.0258-7998.2015.09.011
中文引用格式: 章雪挺,魏晗冬,曾凡宗,等. 一种用于深海装备的着陆控制技术[J].电子技术应用,2015,41(9):42-44,
英文引用格式: Zhang Xueting,Wei Handong,Zeng Fanzong,et al. A kind of landing control technology used for deep-sea equipment[J].Application of Electronic Technique,2015,41(9):42-44,
0 引言
深海装备开发及其配套技术是海洋技术领域的重要分支,在国防安全、海洋科学调查、海洋资源勘探、水下工程等多个领域有着广泛的应用。本文根据深海装备在海底作业中出现的实际需求,针对需要在海底复杂地形下平稳着陆,保持水平姿态进行作业的情况,提出了一种用于深海装备的四足着陆控制技术,并制作了实现该技术的原理样机。该样机采用了传感器技术、微处理技术、水下密封技术等构成系统单元的硬件,在研究和分析了国内外深海装备着陆及调平技术方案的基础上,采用了一种创新性的“二次调平”机制,并通过自适应控制理论设计实现了一种水下四足着陆算法,在实验室水池中实现了原理样机在模拟海底地形下的平稳着陆与调平功能。与以往研究相比,该技术能实时根据地形地貌,自主、平稳地着陆到海底地面,辅助勘探工作顺利进行,大大提高了水下资源采集的能力。
1 系统工作原理

深海装备的着陆控制系统的工作示意图如图1所示。系统分为水上的甲板供电单元和水下作业平台两个部分。母船行驶到指定海域后,下放搭载了着陆控制系统的深海装备进行水下作业。当整个装备离底10 m时,着陆控制中的距离调平系统被触发,4个安装在支腿底部的距离传感器开始测距,并通过RS-232总线将数据传送到主控模块。主控模块进行数据处理计算后,输出PWM信号给电机驱动模块,从而通过电机的转动调整各个支腿的长度,完成第一次调平工作。随着整个装备的继续下降,当离底距离小于0.5 m时,距离调平系统停止工作。随后装备坐底,角度调平系统被触发,安装在平台中央的角度传感器将实时的水平X、Y两个方向的角度通过I2C总线传送给主控模块,通过数据融合解算,反复调节各个支腿的伸缩长度,使整个装备尽可能地水平着陆在指定的海底。当X、Y的角度同时小于1°时,角度调平系统暂停工作,从而完成整个装备的第二次调平工作。这一调平技术可为该深海装备的执行机构平稳、可靠地进行水下作业(如钻机钻具下行、CPT探针下行、ROV或HOV机械手取样等)提供一系列的保障。
2 系统硬件设计
系统的硬件设计主要包含主控模块、传感器模块和步进电机驱动模块,如图2所示。

本系统选择意法开云棋牌官网在线客服公司生产的STM32F103VCT6作为控制模块处理器,其工作频率高达72 MHz,内部集成嵌套矢量中断控制器NVIC、64 Kb闪存、20 Kb的RAM,支持SWD调试,多个16位定时器可以实现输入捕获、PWM输出等功能,另外芯片内部集成2个SPI外设接口、2个I2C接口、5个U(S)ART等外设,完全能满足本系统设计的资源要求[1]。
角度传感器采用的是ADI公司生产的采用MEMS技术的三轴加速度计ADXL345,具有小巧轻薄、超低功耗、可变量程、高分辨率等特点;具有SPI和I2C数字输出功能;最大量程可达±16 g,另可选择±2、±4、±8 g量程,可采用固定的4 mg/LSB分辨率模式,该分辨率可测得0.25°的倾角变化。在系统工作时,微处理器通过SPI总线访问ADXL345的寄存器中的X、Y、Z的值,经过处理得到水平X、Y方向的倾角值[2]。
距离传感器是直接采用Tritech公司生产的Micro Sounder高度计,其工作频率为500 kHz,测量范围0.5 m~50 m,分辨率达到1 mm,完全符合本系统设计要求。其通过RS232总线将高度值以ASCII码的形式传送给微处理器。
电机驱动模块采用的是以THB7128作为驱动芯片,其特点是:低功耗、多种细分、高细分,且电机运行稳定,无噪声,不失步。采用两片6N137高速光耦隔离输入,在保护控制器的同时,更高的传输速率让步进电机工作更加稳定准确。在系统工作时,微处理器通过2个I/O与一路驱动电路相连,分别控制步进电机的转速和转向。
3 系统软件设计
整个着陆控制系统以STM32微处理器为控制核心,使用C语言编写。着陆控制系统软件包括高度计和姿态模块数据的采集、数据处理和PID控制三个部分。
3.1 高度计的数据采集及处理
测距模块程序设计可以分为以下几个步骤,如图3所示。

(1)系统初始化
上电后,对系统时钟、I/O口、UART初始化配置。
(2)微处理器接收高度数据
单片机微处理器接收中断程序,判断是否接收到高度计发送数据的请求,如果接收到发送请求,则单片机进入到接收数据状态,存入预先设定好大小的数据缓存区。
(3)数据解析
从数据缓存区提取5帧完整字符串类型的数据,将其转化成浮点型数据,求出这5组数据的平均值,存入数组变量。
3.2 倾角计的数据采集及处理
ADXL345寄存器中存放的是X、Y、Z 3个方向的加速度值,微处理器通过SPI总线取出数据,计算得到X、Y方向的倾角值,软件流程图如图4所示。

3.3 着陆控制系统主程序设计
着陆控制系统主程序的软件流程图如图5所示。主程序将采集到的高度计和倾角计数据进行解析、判断、运算,结合PID算法,获得电机控制量。

距离调平系统采用向平均值靠拢的方法,设H为各个支腿的高度值,i为支腿编号,j为测量序数,P、I、D分别为PID调节中的比例、积分和微分参数,M为电机控制量。通过4个支腿的高度值Hi(i=1,2,3,4),分别计算出误差Hi:

角度调平系统采用位置误差控制调平的方法。当整个设备坐底后,各个支腿承受较大的力,因此采用各支腿只升不降,其他支腿向最高点靠拢的方式,可以快速平稳地完成系统的“微调”。

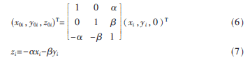
在如图6所示的模型分析图中,OX0Y0为水平坐标系,OXY为平台坐标系[5,6]。其中,平台长为La,宽为Lb,平台与X、Y方向的倾角。首先根据?琢、?茁的大小判断出最高的支腿;其次,设平台的4个支点的坐标为(xi,yi,0)(i=1,2,3,4),根据数学推算,得出各个支点的坐标为:

当平台刚落地后,各个支点在OX0Y0中的纵坐标的初值:

根据式(7),这里必有最高腿存在,同时假定i=h,且zi≤zh。那么动作过程中,各腿的高度差满足:


4 系统调试与结论

在实验室水池中搭建的试验环境如图7所示。在水池底部模拟一个高低不平的复杂海底环境,并将整个装置通过滑轮吊到半空中,处于模拟海底的正上方;接通电源,通过滑轮将装置缓缓下放;下放过程中,4个支腿将会通过水底的实际环境自动调节各个支腿的高度,进行“粗调”;当4个支腿到达底部时,倾角传感器开始工作,进行 “微调”;当倾斜度小于阈值时,调平结束,着陆成功。图7所示为调平过程中各个支腿的高度曲线。结果表明,系统工作正常,能很好地在水下完成平稳的着陆。
参考文献
[1] ST Microelectronics.STM32F103xC STM32F103xD STM32-F103xE[Z].2008.
[2] 肖茜,陈庆.基于ADXL345的超低功耗倾角测量仪的设计[J].电脑知识与技术,2014(16):3923-3925.
[3] 徐锋,张嫣华.数字控制系统的PID算法研究[J].机床电器,2008(6):8-10.
[4] 王虎,彭如恕,尹泉.基于STM32嵌入式模糊PID步进电机控制系统的设计[J].机械工程师,2014(11):139-141.
[5] 何兵怀.多点调平系统的研究[D].成都:电子科技大学,2014.
[6] 何林立.大型重载平台的自动调平系统研究[D].太原:中北大学,2010.
