摘 要: 扩散映射(Diffusion Maps)是一种基于流形学习的非线性降维方法。基于对扩散映射的研究,提出了一种新的非线性降维算法。根据近邻点分布的不同和模糊聚类原理,新算法定义了扩散映射算法构建权值矩阵的误差近似系数,并采用改进的距离公式来选取样本点的近邻点,很大程度地降低了近邻点的选取对降维效果的影响。实验结果表明,新算法有效地保持了高维数据中的流形结构,具有更好的降维效果,并在基于内容的图像检索中达到很高的查准率,新算法的有效性和优越性得到了证实。
关键词: 扩散映射;降维;流形学习;聚类
0 引言
流形是局部具有欧几里得空间性质的空间,包括各种维数的曲线、曲面等,是一般的几何对象的总称。流形学习[1-3]以流形理论为基础,把高维空间中的样本集在低维空间中重新表示出来,并能求出其相应的嵌入映射,很好地保持了样本点的拓扑结构,达到了维数约简的目的。流形学习方法减少了高维数据的冗余性,解决了维数灾难的问题,因此,流形学习具有非常重要的研究意义。目前,流形学习的方法主要分为两类:一类是线性降维方法,主要有主成分分析(Principal Component Analysis,PCA)[4]、独立分量分析(Independent Component Analysis,ICA)[5]、多维尺度分析(Multidimensional Scaling,MDS)[6]等;另一类是非线性降维方法,主要有核主成分分析(Kernel Principal Component Analysis,KPCA)[7]、等度规映射(Isometric Mapping,Isomap)[8]、局部线性嵌入(Locally Linear Embedding,LLE)[9]等。
扩散映射(Diffusion Maps,DM)[10]是COIFMAN R等人在2006年提出的一种基于流形学习的非线性降维方法,其主要思想来自于动力系统。作为一种新的流形学习框架,扩散映射通过在扩散过程中尽可能地保持扩散距离来进行降维,即保持样本点的局部结构不变,通过局部关系定义全局关系,使样本点在低维空间中仍保持这种稳定的全局关系。近邻点选取和分布的不同可产生不同的邻接图,对扩散映射的降维效果影响很大,由此本文提出了一种改进的算法。由于聚类的中心含有大量的信息,新算法根据聚类原理,先定义了扩散映射构建权值矩阵的误差近似系数,然后利用改进的距离函数来选取近邻点,构建邻接图。新算法模糊了近邻点的选取对实验结果的影响,达到了较为理想的降维效果,并在实验中得到了证实。
1 Diffusion Maps(DM)算法
DM算法主要分为如下4步:
(1)构建邻接图。对于给定的数据集X={x1,x2,…,xN},xi∈RD,i=1,2,…,N,若xi是xj的近邻点,则将xi与xj之间赋一个边,边反映了样本点之间的局部关系,近邻点一般用欧氏距离来度量,距离公式为:
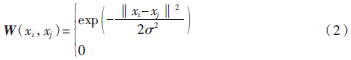
(2)构建权值矩阵W。权值矩阵的元素Wij(W(xi,xj))反映样本点xi与xj之间的相似程度,因此满足:
①W是对称的:Wij=Wji;
②W是非负的:Wij≥0。
一般采用高斯核函数定义成对数据点之间的相似度矩阵,即:
其中,
为高斯核的方差,
越大,权值越大,数据点间的相似程度越大。
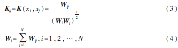
(3)构建扩散核矩阵K。利用加权的图Laplacian归一化方法。
其中,Wi表示xi与其他各点的权值之和。
(4)核矩阵K的特征分解。对内积矩阵K进行特征分解,求K的特征值和特征向量,K的最大的d个特征值λ1,λ2,…,λd对应的特征向量为U=[u1,u2,…,ud],则高维数据X降维后的数据集为Y=UT=[u1,u2,…,ud]T。
2 新算法的提出
2.1聚类原理
聚类是解决高维数据问题的常用方法。聚类分类产生一些簇,簇是一组数据对象的集合,同一簇中的对象相似,不同簇中的对象相异,每个簇的中心含有丰富的可利用的信息,具有代表性。模糊C均值(Fuzzy C-Means,FCM)算法[11-13]是应用最广泛的聚类分析方法之一。
对于给定的采样于维流形的高维观测数据集X={x1,x2,…,xN},xi∈RD,i=1,2,…,D。设样本点聚类分类的类别个数为M,第j类样本的中心为cj,第j类样本的个数为rj,总体样本的中心为c。则定义第j类样本点的类内平均距离为:
第j类样本中心与总体样本中心的距离为:
其中,‖‖表示欧式距离。由此,定义样本点构建权值矩阵的误差近似系数为:
其中,j为样本点xi所属的类。
用误差近似系数重新构建样本点在低维空间上嵌入的权值矩阵,从而提高样本点之间的相似程度,获得更好的实验结果。
2.2 改进的距离函数
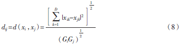
对于分布不均匀的数据集,假设P为分布密集的区域上的点,其k个近邻点所占的区域为SP,O为分布稀疏的区域上的点,其k个近邻点所占的区域为SO,显然SP要比SO小得多。因此对于分布不均匀的样本集,近邻点k个数的选取会影响实验结果。所以要对近邻点间的距离进行改进,降低样本点分布的影响。下面定义一种新的距离[14-15]。

其中,Gi、Gj分别表示xi、xj和其他点之间距离的平均值。
因为新的距离的分子是欧氏距离,分母是数值,则有:
①非负性:dij≥0,当且仅当xi=xj,即i=j时等号成立;
②对称性:dij=dji;
③三角不等式性:dis+dsj≥dij。
由泛函分析知识可知,新的距离满足距离空间的定义。在DM的第一步构建邻接图时,采用新的距离公式取代欧氏距离来选取样本点的k个近邻点。新的距离使分布较密集区域的样本点间的距离增大,而使分布较稀疏区域的样本点间的距离缩小,这样区域SP和SO区域的差异性减小,样本点的整体分布趋于均匀化,从而降低样本点的分布对算法效果的影响。
2.3改进的算法(Improved Diffusion Maps,IMDM)
IMDM算法的步骤如下:
(1)对样本集进行聚类分类,得出构建权值矩阵的误差近似系数:
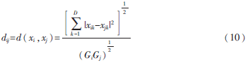
(2)构建邻接图。距离公式为:
(3)构建权值矩阵W′。
(4)构建扩散核矩阵K′。
(5)核矩阵K′的特征分解。求K′的特征值和特征向量,K′的最大的d个特征值λ′1,λ′2,…,λ′d对应的特征向量为U′=[u′1,u′2,…,u′d],则高维数据X降维后的数据集为Y=[U′]T=[u′1,u′2,…,u′d]T。
新算法首先对样本集进行聚类分类,利用类别信息得出构建权值矩阵的误差近似系数,然后采用新的距离函数选取近邻点构建邻接图,这样可适当降低近邻点个数k的选取对算法的影响,得到较好的降维效果。
3 实验结果及分析
3.1人工数据
用DM和IMDM对Scurve人工数据集(如图1所示)进行降维,实验选取2 000个样本点,近邻点的个数分别取8、12,将数据集降至2维,实验结果如图2所示。从图2中可以看出,IMDM比DM具有更好的降维效果,模糊了近邻点个数的选取,降维效果比较理想,具有更好的可视化效果。

3.2 图像检索
在基于内容的图像检索实验中,图像选自Corel数据库,共1 000幅图像,类别为10种,有建筑、风景、人物、动物、植物等。实验对第450号恐龙图像进行相关图像检索,降至维数d分别取6、14、20,检索出的图像数目设为20。实验一先用DM方法对图像数据集降维然后进行检索,得出实验结果如图3中的(a)、(c)、(e)所示。实验二先用IMDM方法对图像数据集降维再进行检索,得出实验结果如图3中的(b)、(d)、(f)所示。对比两次实验结果,可以清晰地看出,IMDM降维后进行基于内容的图像检索的准确率明显高于DM的。

查准率是衡量图像检索算法有效性的常用指标,查准率越高,表示图像检索方法越好,反之越差。
图4为在维数不同时,DM和IMDM查准率的变化情况。可以看出,多数情况下IMDM降维后图像检索的查准率高于DM的。特别地,当维数为20时,应用IMDM方法,查准率达到了100%。
4 结论
本文对基于流形学习的扩散映射非线性降维方法进行了分析研究,提出了一种改进的扩散映射非线性降维方法。此方法以聚类分类原理构造权值矩阵的误差近似系数,通过改变样本点间的距离公式重新构建邻接图,进而实现降维。新算法有效地降低了近邻点的选取对降维效果的影响,并且很好地保留了原始数据的拓扑结构。将改进的扩散映射方法用于Scurve数据集和基于内容的图像检索实验,都得到了很好的效果,具有很好的实际应用价值。
参考文献
[1] ORSENIGO C, VERCELLISN C. Kernel ridge regres-sion for out-of-sample mapping in supervised manifold learning[J]. Expert Systems with Application, 2012,39(9):7757-7762.
[2] 曹林林.基于流形学习的分类技术[D].济南:山东师范大学,2013.
[3] 王自强,钱旭,孔敏.流形学习算法综述[J].计算机工程与应用,2008,44(35):9-12.
[4] 曾宪华,罗四维.全局保持的流形学习算法对比研究[J].计算机工程与应用,2010,46(15):1-6.
[5] HYVARINEN A, OJA E. Independent component analysis:algorithms and applications[J]. Neural Networks, 2000,13(45): 411-430.
[6] COX T, COX M. Multidimensional scaling[M]. London:Chapman&Hall, 1994.
[7] SCHOLKOPF B, SMOLA A, MULLER K R. Nonliner co- mponent analysis as a kernel eigenvalue problem[J]. Neural Computation,1998,10(5):1299-1319
[8] THEODORIDIS S,KOUTROUMBAS K.模式识别(第4版)[M].李晶皎,王爱侠,王骄,等译.北京:电子工业出版社,2010.
[9] Zhang Zhenyue, Zha Hongyuan. Principal manifold and nonlinear dimensionality reduction via local tangent space alignment[J]. SIAM Journal of Scientific Computing, 2004,26(1):313-338.
[10] COIFMAN R, LAFON S. Diffusion maps. Applied and computational harmonic analysis[EB/OL]. [2006-05-30].http: www.elsevier.com/locate/acha.
[11] 姜伦,丁华福.关于模糊C-均值(FCM)聚类算法的改进[J].计算机与数字工程,2010,38(2):4-6.
[12] 苏锦旗,张文宇.基于模糊聚类的改进LLE算法[J],计算机与现代化,2014,225(5):9-13.
[13] BEZDEK J C, EHRLICH R. Full W. FCM: the fuzzy c-means clustering algorithm[J]. Computers & Geosciences,1984,10(2):191-203.
[14] 王和勇,郑杰,姚正安.基于聚类和改进距离的LLE方法在数据降维中的应用[J],计算机研究与发展,2006,43(8):1485-1490.
[15] JOSHUA B T, VIN.DE S, LANGFORD J C. A global geometric framework for nonliner dimensionality reduction[J]. Science, 2000,290:2319-2323.
