摘 要: 二维经验模态分解(Bidimensional Empirical Mode Decompositio,BEMD)是一种优秀的多尺度几何分析工具,特别适用于非线性、非平稳信号的分析处理。以BEMD与新型隐马尔可夫树(Hidden Markov Tree,HMT)模型理论为基础,提出了一种基于BEMD的新型HMT模型的图像去噪算法。该算法的基本思想是,首先对含噪图像进行BEMD变换,然后采用新型HMT模型对BEMD系数进行建模,并通过期望最大(EM)算法对图像BEMD的HMT模型参数进行估计,最后对训练后的BEMD系数进行逆变换,以获得去噪图像。仿真实验结果表明,该算法不仅拥有较强的抑制噪声能力,而且具有较好的边缘保护能力,其整体性能优于现有HMT图像去噪方案。
关键词: 图像去噪;二维经验模态分解;隐马尔可夫树;参数估计
0 引言
图像在获取和传输的过程中,经常会受到各种噪声的污染。噪声的存在将大大降低原图像的分辨率,从而严重影响后续的图像处理,如图像检索、图像分割等。图像去噪的关键和难点在于抑制噪声的同时保护边缘纹理。
一般说来,传统图像去噪方法大致可以划分为双边滤波、非局部均值、条件随机场、各向异性扩散和统计模型方法等[1]。
双边滤波[2]不仅考虑空间位置上的距离关系,同时也考虑相邻像素灰度值之间的距离关系,通过对二者的非线性组合,在去除噪声的同时实现了对边缘信息的良好保留,然而,它常常使图像过于平滑。非局部均值法[3]是利用图像中具有重复结构的性质来去除噪声,可以得到较好的去噪效果,但它计算复杂度高,限制了其实际应用。条件随机场(CRFs)[4]建模比较灵活,且不需要明确的先验模型,然而,在真实世界中,很难找到拥有全局最小值的能量函数。各向异性扩散法[5]能在保持边缘的前提下平滑噪声,获得较好的去噪效果,但是该方法过于平滑图像且边界过于尖锐,以至于丧失了很多纹理信息。统计模型法[6]通常基于简单的统计模型去刻画图像信息,这些信息往往是自然图像的某些共同特征。统计模型的目的就是使用少量的参数捕获这些典型的特征,并且将这些特征在图像处理中作为先验信息使用。
传统分析工具对于图像边缘纹理信息捕获不是很理想,二维经验模态分解(Bidimensional Empirical Mode Decoposition,BEMD)[7-8]是一种新型的自适应信号时频处理方法,特别适用于非线性、非平稳信号的分析处理。这种方法的主要思想是把一个时间序列的信号分解成不同尺度的本征模函数(IntrinsicMode Function,IMF),分解后的本征模态函数的频率逐步降低,并在分解过程中保持信号本身的特性。它与传统方法的主要不同之处在于不需要事先选择“基函数”,而是根据信号本身的特性自适应地产生合适的表示函数,与小波方法相比有更好的时频特性。综合各种模型和多分辨率分析方法的优缺点,提出了一种基于BEMD域的新型HMT模型去噪算法。
1 BEMD变换
BEMD[7-8]可以将信号分解为多个局部窄带的IMF和残差趋势项的和:

其中f(x)代表信号,n为分解层数,imfi(x)表示第i层IMF,rn(x)表示残差趋势项。二维经验模态分解算法简述如下:
(1)初始化:r0(x1,x2)=f(x1,x2),j=1。
(2)筛选抽取第j个IMF:
①初始化:h0(x1,x2)=rj-1(x1,x2),i=1。
②提取hj-1(x1,x2)的上包络hupper(x1,x2)、下包络hlower(x1,x2)和包络均值mj-1(x1,x2)。
③hj(x1,x2)=hj-1(x1,x2)-mj-1(x1,x2)。
④计算终止条件SD:
其中,Maxmid为mi-1(x1,x2)的绝对值的最大值;Maxma为f(x1,x2)的绝对值的最大值。
⑤若SD小于给定阈值ε,则imfj(x1,x2)=hi-1(x1,x2);否则令i=i+1,转到步骤②。
(3)rj(x1,x2)=rj-1(x1,x2)-imfj(x1,x2)。
(4)得到BEMD分解表达:

2 BEMD域的新型HMT图像去噪
首先对图像进行BEMD变换,得到高频子带IMF和低频子带rn(x)。大量实验结果表明,噪声主要存在于分解的高频子带,而低频子带中几乎不含有噪声能量,所以接下来只对高频子带进行去噪处理。
2.1 计算变换系数的条件概率密度
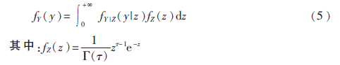
含有加性高斯白噪声的图像经过变换后,其系数所含噪声依然为加性。根据这一原理,可以使用卷积运算得到噪声系数的条件概率密度[9-12]:

由于卷积计算非常困难,此处采用GSM方法表示式(3),其方差为zCX+CW,在隐乘子z下的条件概率密度为:
fY|Z(y|z)=N(y;0,zCX+CW)(4)
对fY|Z(y|z)进行积分运算:

2.2 计算系数尺度间平均圆锥比率概率密度
之前的HMT模型去噪算法基本上都是只考虑了系数尺度内的关系,忽略了尺度间的关系。系数尺度间比率(Average Cone Ratio,ACR)[10]能够很好地描述图像分解后每个尺度间系数的特性,结合邻域间的关系,把它定义为:

其中,
j表示尺度,l表示中心点位置,yj,m表示变换系数。子带中每个点都有自己的圆锥比率,但是我们需要计算的是某个点的平均圆锥比率,这才是后面进行联合概率密度计算时需要的。首先,求出子带所有点的圆锥比率之和,然后除以系数的个数得到整个子带的平均圆锥比率,最后点A的平均圆锥比率等于A点的圆锥比率除以整个子带的平均圆锥比率。
2.3 新型HMT树训练
在2.1、2.2节中计算出了变换系数尺度内的条件概率密度|yl|以及变换系数尺度间对应位置的平均圆锥比率?茁,使用联合概率密度函数[10]:

求出上述联合概率密度之后,应用新型HMT模型对BEMD变换系数进行训练,详细步骤如下[12]:
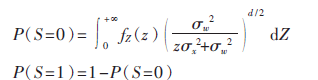
(1)对每一个高频子带,估计它们的指数分布参数:?专={τ,CX}。
(2)计算条件概率密度fM|S(m|s=0)和fM|S(m|s=1)。
(3)为了加快训练速度,采用如下状态概率进行初始化:

(4)使用EM算法进行训练,其中,E步:估计隐状态变量的概率;M步:更新
,最大化似然函数。
(5)一直递归运算,直到收敛。
2.4 使用贝叶斯规则进行去噪
隐状态概率
已经在HMT中被计算出来,所以可以使用收缩函数算法进行去噪:

通过式(8)对含噪图像进行去噪,得到去噪后系数
,应用BEMD逆变换得到去噪后图像。
3 仿真实验结果
为了检验本文算法的正确性和有效性,实验中比较了ProbShrink去噪、BLS-GSM去噪、SUREbivariate去噪、Contourlet HMT去噪以及C-CHMM去噪,实验结果如表1、图1所示。


从表1中可以看出,与ProbShrink去噪、BLS-GSM去噪、SUREbivariate去噪相比,本文方法的PSNR值较高,尤其是Barbara图像。与Contourlet HMT去噪、C-CHMM去噪相比,本文方法有0.5 dB~1 dB的提高。
同时为了从主观上比较本文算法与以上HMT算法的去噪效果,给出了Lena图像去噪主观结果的比较。图1中包含了去噪图像的对比以及残差图像的对比。从图1中可以看出,BEMD+新型HMT去噪后的图像得到了适度的平滑,同时细节信息比较完整地保存了下来,视觉效果有明显改善。综上所述,本文方法更好地保存了原始图像的细节特征,同时有效消除了噪声,在图像质量和PSNR值的表现上都有显著的提升,视觉效果有明显的改善。
本文算法性能突出,归结为以下两个原因:(1)新型HMT利用联合概率密度对系数进行训练,通过描述系数尺度内与尺度间的多种关系,可以较好地保存图像的细小边缘和纹理等信息,明显地改善了图像的视觉效果;(2)BEMD具有多尺度、多方向性,能够有效捕捉图像中的几何特征及对图像进行稀疏表示,为图像去噪提供更多的有用信息,保留更多的细节信息。
4 总结
本文提出了一种基于BEMD域新型HMT的图像去噪方法。首先在BEMD变换的基础上利用HMT建立图像模型,然后通过贝叶斯估计得到去噪后的图像。实验结果表明,该方法能很好地去除图像中的高斯白噪声,提取图像的轮廓细节,提高去噪图像的PSNR值。与其他的去噪方法相比,BEMD+新型HMT的去噪方法不仅在去噪性能指标而且在边缘保持的主观视觉上都表现出优异的性能。
参考文献
[1] QIU P, MUKHERJEE P S. Edge structure preserving image denoising[J]. Signal Processing, 2010,90(10):2851-2862.
[2] TIAN C, KRISHNAN S. Accelerated bilateral filtering with block skipping[J]. IEEE Signal Processing. Lett, 2013,20(5):419.
[3] 郑钰辉,孙权森,夏德深,基于2DPCA的有效非局部滤波方法[J].自动化学报,2010,36(10):1379-1389.
[4] CHEN S, LIU M, ZHANG W. Edge preserving image denoising with a closed form solution[J]. Pattern Recognition, 2013,46(3):976-988.
[5] TSIOTSIOS C, PETROU M. On the choice of the parameters for anisotropic diffusion in image processing[J]. Pattern Recognition, 2013,46(5):1369-1381.
[6] Sun Qi, Wang Yaming, Xu Chunxia. Fabric image denoising method based on wavelet-domain HMT model[J]. Multimedia and Signal Processing, 2012,346(9):383-388.
[7] 李峰,吕回.基于BEMD和小波阈值的MRI医学图像去噪[J].中国图象图形学报,2009,14(10):1972-1977.
[8] 王婷.EMD算法研究及其在信号去噪中的应用[D].哈尔滨:哈尔滨工程大学,2010.
[9] FATHI A, NAGHSH-NILCHI A R. Efficient image denoising method based on a new adaptive wavelet packet thresholding function[J]. IEEE Trans. on Image Processing, 2012,21(9):3981-3990.
[10] PIZURICA A, PHILIPS W, LEMAHIEU I, et al. A joint inter-and intrascale statistical model for bayesian wavelet based image denoising[J]. IEEE Trans. on Image Processing, 2002,11(5):545-557.
[11] Hou Biao, Zhai Yanxia, Jiao Licheng. Second generation bandelet-domain hidden markov tree-3S model for SAR image segmentation[J]. Journal of Infrared and Millimeter Waves, 2010,29(2):145-149.
[12] 刘阳成.图像去噪的若干问题研究[D].大连:辽宁师范大学,2014.
