方周1,付蓉1,孙勇2
(1.南京邮电大学 自动化学院,江苏 南京 210023;2. 江苏省邮电规划设计院有限责任公司,江苏 南京 210019)
摘要:随着分布式能源发电在电力系统中的日益渗透,针对未来分布式能源管理出现的通信时延和即插即用特点,提出了基于通信时延和即插即用下的分布式能源管理策略。该策略不仅考虑了通信时延时系统的收敛性,同时针对系统即插即用的特性进行研究。分布式能源管理策略通过在分布式控制器中嵌入有效的分布式控制算法实现能源的最优经济调度,通过母线之间的局部信息交互传递经济调度信息。边际成本一致性(ICC)算法可以用分布式的方式解决经济调度问题(EDP)。仿真结果表明了该分布式能源管理策略的有效性。
关键词:电力系统;通信时延;即插即用;经济调度;一致性算法
0引言
未来电网中,可再生能源发电在电力系统中的渗透率不断提高[1]。可再生能源发电(光伏发电或风力发电)存在随机性、间歇性以及波动性等固有缺陷,会对电网产生冲击,严重时将引发大规模恶性事故。电力系统正面临着越来越多的挑战[2-3]。有效的通信和信息技术可以提高能源传输的质量、效率和安全性。然而,现有的电网技术很难解决这些问题,并且可再生能源和分布式能源发电日益渗透使电力系统管理极为复杂。
智能电网通过利用有效的现代技术解决这些挑战。智能电网分布式能源管理策略要求电力系统上的每个智能体与其相邻的智能体进行信息交互,每个智能体通过局部通信所获得的信息来控制自身的行为,进而使整个系统完成某种控制目标。在实际环境中,当多智能体系统运行时,每个智能体在接收其他智能体发送的信息时会因彼此间的距离而产生时间延迟[4]。电力系统的安全稳定运行需要考虑通信系统的影响,智能电网多智能体之间存在的时延往往会影响多智能体系统的动态性能,可能会降低系统的收敛速度,更严重的可能会使系统变得不稳定[5]。
在未来电力系统中,研究人员已经讨论了即插即用作为电网连通资源的有效方法[1]。类似于计算机系统,电力系统中的即插即用表明在不需要重置控制下,一个插件可以被放置在电气系统的任何位置[6-7]。即插即用接口包含通信接口,因此当一个新的设备被添加到变电站,将自动报告数据给控制中心,例如设备参数和设备互联信息。因此控制中心要有高带宽的通信设施来收集系统中的所有信息并且要求系统通信拓扑具有较高的连通度,这增加了通信拓扑的投资,对控制中心的运算能力也提出了很高的要求。由于即插即用的特性,不同的设备频繁接入和退出,这使系统的拓扑结构变化和未知[1]。分布式优化[8-11]更适合解决通信拓扑结构多变和适应即插即用的要求,分布式算法具有更高的鲁棒性和可扩展性,能更好地适应可再生能源发电广泛渗透的未来电网。
经济调度是电力系统中能源管理的基本问题。基本目标是为发电机寻找一个对负荷配电的最优方案以尽量减少总发电成本,同时满足所有的系统约束。经典优化技术[12]例如迭代法、牛顿法、线性规划法等是主要用来解决成本函数为凸函数的启发式算法,如微分进化、粒子群、布谷鸟搜索是用来解决更为复杂非凸解空间和更严格约束的情况,这些优化技术属于集中式优化的范畴。
分布式优化不要求每个电力元件都与调度中心具备通信功能,通过局部信息交互实现全局优化调度。分布式控制算法具有比集中式更大的可扩展性[13]。本文提出了基于通信时延和即插即用下的分布式能源管理策略。几个初步算例分析表明考虑发电机容量限制的边际成本一致性(ICC)算法的有效性[14]。此外,本文还讨论了通信时延与收敛速度之间的关系,重点介绍了如何使用算法解决通信时延和即插即用下的分布式能源管理问题。
1分布式能源管理策略
1.1边际成本一致性算法
文献[10]提出了基于一阶离散系统的边际成本一致性算法。选择边际成本作为一致性变量,用分布式的方法解决经济调度问题。
由传统方法可知,发电机组的成本函数是一个二次函数[15]:

其中,Ci(PGi)是燃料成本($/h),PGi是发电机的发电量(MW),ai,bi,ci分别是第i台发电机燃料成本函数系数,设定ci>0,SG表示发电机集合。
经济调度问题的目标指在满足发电机发电约束下,使N个发电机系统的总成本最小:


其中,PDi是局部负荷需求量(MW) 。PGi,min、PGi,max分别表示发电机的最小输出功率和最大输出功率。
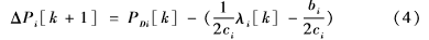
ΔPi(k)表示母线i通过与其他母线之间的信息交互所得到的全局功率偏差,作为分布式优化参数调节局部边际成本(IC)控制量。
第k步迭代:

λi[k]是第i个发电机在迭代k次后的边际成本量(IC)。
定义一个新的变量——评估功率偏差
用来评估全局功率偏差的平均值
可以通过分布式平均一致性网络获取评估功率偏差[16]:

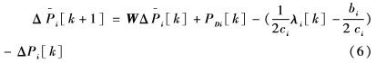
其中,W是更新矩阵[17]。
假设第i个发电机功率偏差的变化量在两步迭代之间是线性的,式(5)可以变成:

每个节点使用
来调整λi:

α是一致性算法的收敛系数,是一个正的标量。它与发电机组的分布式优化收敛速度有关。
为了考虑发电机组的功率约束,定义如下发电机输出功率函数:

每个发电机都需运行一致性计算公式(7)获得拉格朗日乘子λi 的值。修正项α
[k]作为分布式优化调节参数使每个发电机通过改变其边际发电成本的方式来满足电力系统功率平衡约束。发电机根据功率偏差修正项的符号(正或负)改变其拉格朗日乘子。当功率偏差修正项为正数时,发电机增大其边际发电成本和发电功率;当功率偏差修正项为负数时,发电机减小其边际发电成本和发电功率。
1.2时延环境下一阶多智能体系统描述
实际环境中,当多智能体系统运行时,每个智能体在接收其他智能体发送的信息时会因彼此间的距离而产生时间延迟。为了改善以上多智能体系统的动态性能,使系统的收敛速度得到提高,本文结合工业领域应用广泛的PD控制算法来分析和研究多智能体系统的一致性问题,将PD控制加入标准的时延动态模型中来改善系统因时延而减慢收敛速度的问题。
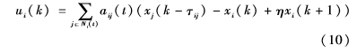
假设电力元件i具有状态 xi∈R,其表示一个物理量,例如输出(输入)功率、发电成本、用电效益、功率偏差等。假设电力元件之间的通信在离散时间进行,电力元件的动态特性可以通过离散等式表示为:

当且仅当x1=x2=…=xn时,认为所有的节点均达到一致。已知邻接矩阵A为行随机矩阵并且对于所有的i,aij>0,那么,加入PD控制通信时延的一致性算法[18]:

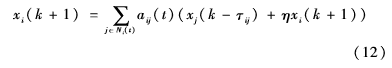
相应的,系统动态方程为:

由于矩阵A为行随机矩阵,上式可简化为:

其中η表示PD反馈强度参数,这里 η>0,η∈R;τij 表示通信网络中智能体j到i的固定通信时延,这里认为智能体的通信时延是相同的。
时延情况下的边际成本一致性算法可表示为:

2算例分析与仿真
2.1即插即用环境下的分布式调度的有效性
采用电力系统IEEE30节点系统进行一系列分布式调度仿真计算验证电力元件的即插即用能力。其通信拓扑图如图1所示。该系统包括6个发电机和24个负荷。所有发电机的参数如表1所示。


采用集中式优化调度(λ迭代法)时,该系统的经济调度最优解λ=6.75 $/MW,发电机的输出功率分别为:PG1=300.65 MW,PG2=596.53 MW,PG3=413.87 MW,PG4=194.69 MW,PG5=310.23 MW,PG6=296.52 MW。
开始阶段,系统处于平稳运行状态,6个发电机同时参与经济调度,运行边际成本一致性算法(ICC),假设系统平稳运行到时间点t=100 s时,发电机6退出电网运行,不参与经济调度,运行到时间点t=200 s时,将发电机6重新并网参与经济调度,仿真结果如图2所示。从图2可见:在时间点t=100 s时,发电机6退出电网运行,系统中所有的一致性变量重新收敛到最优值,边际成本λ*=6.75$/MW,并且系统总的供需达到一个新的平衡点;在时间点t=200 s时,将发电机6重新并网,系统重新收敛到发电机6退出电网运行前的稳定运行点,即λ*=6.75 $/MW。表明分布式经济调度能够实现电力元件的即插即用,该算法能很好地适应智能电网对电力元件的即插即用要求。

2.2通信时延环境下的分布式调度的有效性
采用电力系统5机5负荷10节点系统验证时延环境下的分布式调度的有效性,其通信拓扑图如图3所示。该系统包括5个发电机和5个柔性负荷,同一母线调度通信拓扑图部署一个发电机节点和一个负荷节点。

这里假设节点之间的通信时延相同且延时一个单元,即τij=1。在τij取值不变的情况下,选取PD控制器调节参数η取值分别为0.3、0.5和0.7。仿真结果如图4所示。系统的边际成本收敛时间分别为Ta=26.64 s,Tb=23.17 s,Tc=21.54 s。

表2给出了系统收敛时间随η的变化,由表2可知,随着η的取值不断增大,电力系统达到一致的收敛时间呈现先变短后变长的趋势。因此,在实际环境中,若适当地选取PD控制器调节参数η,可以在一定程度上提高系统的收敛速度,从而缩短系统趋向一致的收敛时间。

3结论
应用分布式优化技术,本文提出一种智能电网中基于通信时延和即插即用下的分布式能源管理策略。该算法通过母线之间局部信息交互的方式来传递全局调度信息,实现电力系统的分布式最优化经济调度。通过算例分析表明了该分布式经济调度策略的有效性,对通信时延环境的适应性,以及对电力元件随机接入和退出运行的即插即用能力。
参考文献
[1] ATWA Y M, EI SAADANY E F. Optimal allocation of ESS in distribution systems with a high penetration of wind energy[J]. IEEE Transactions on Power Systems, 2010, 25(4): 1815-1822.
[2] HUANG A Q, CROW M L, HEYDT G T, et al. The future renewable electric energy delivery and management(FREEDM) system: the energy internet[J]. Proceedings of the IEEE,2011,99(1): 133-148.
[3] ILIC M D, XIE L, KHAN U A, et al. Modeling of future cyberphysical energy systems for distributed sensing and control[J]. Systems, Man and Cybernetics, IEEE Transactions on, 2010,40(2): 825-838.
[4] Ren Wei, BEARD R W. Consensus seeking in multi agent systems under dynamically changing interaction topologies[J]. IEEE Transactions on Automatic Control,2005,50(15): 655-661.
[5] Fang Huajing, Wu Zhihai, Wei Jia. Improvement for consensus performance of multi agent systems based on weighted average prediction[J]. IEEE Transactions on Automatic Control, 2012, 57(1): 249-254.
[6] D’ANDREA R, DULLERUD G E. Distributed control design for spatially interconnected systems[J]. IEEE Transactions on Automatic Control, 2003,48(2):1478-1495.
[7] BAKIRTZIS A, PETRIDIS V, KAZARLIS S. Genetic algorithm solution to the economic dispatch problem[J]. Generation, Transmission and Distribution, IEEE Proceedings, 1994,141(3) : 377-382.
[8] CHOW M Y, ZHANG Z. Convergence analysis of the incremental cost consensus algorithm under different communication network topologies in a smart grid[J]. IEEE Transactions on Power Systems, 2012, 27(4): 1761-1768.
[9] BINETTI G, ABOUHEAF M I, LEWIS F L, et al. Distributed solution for the economic dispatch problem[C]. In Proc. 21st Mediterranean Conf. Control and Automation (MED),2013: 243-250.
[10] ZHANG Z, YING X C, CHOW M Y. Decentralizing the economic dispatch problem using a twolevel incremental cost consensus algorithm in a smart grid environment[C]. In: Proc. North American Power Symp, 2011: 1-7.
[11] KAR S, HUG G. Distributed robust economic dispatch in power systems: A consensus + innovations approach[C]. In: Proc. IEEE Power and Energy Society General Meeting, 2012: 1-8.
[12] WOOD A J, WOLLENBERG B F. Power generation, operation, and control[M]. New York: Knovel, 1996.
[13] JADBABAIE A, LIN J, MORSE A S. Coordination of groups of mobile autonomous agents using nearest neighbor rules[J]. IEEE Transactions on Automation Control, 2003, 48(6): 988-1001.
[14] MUDUMBAI R, DASGUPTA S, CHO B B. Distributed control for optimal economic dispatch of a network of heterogeneous power generators[J]. IEEE Transactions on Power Systems,2012,27(4) : 1750-1760.
[15] ABIDO M A. A novel multiobjective evolutionary algorithm for environmental/economic power dispatching[J]. Elect. Power Syst. Res, 2003, 65(1): 71-81.
[16] ZHU M, MARTNEZ S. Discrete time dynamic average consensus[J]. Automatica, 2010, 46(2):322-329.
[17] ZHANG Z, CHOW M Y. The leader election criterion for decentralized economic dispatch using incremental cost consensus algorithm[C]. In IECON 201137th Annual Conference of the IEEE Industrial Electronics Society, 2011: 2730-2735.
[18] OLFATI SABER R, MURRAY R M. Consensus problems in networks of agents with switching topology and timedelays[J]. IEEE Transactions on Automatic Control, 2004 49(9):1520-1533.
