梁新媛
(南京邮电大学 自动化学院,江苏 南京 210023)
摘要:考虑了真实社交网络中的舆论传播过程中存在与舆论大方向相悖的劣势观点,在MORENO Y等人研究的谣言传播模型的基础上,提出了一种新的舆论传播模型,研究了拥有劣势观点节点的存在对舆论演化带来的影响。接着对模型建立动态方程并进行分析求解,得到舆论传播的最终规模的表达式。最后,在Facebook用户数据构成的网络上进行仿真分析,得出舆论演化过程中的状态变化情况,并分析最终规模的影响因素。
关键词:社交网络;舆论传播;劣势节点
中图分类号:TP311;N94文献标识码:ADOI10.19358/j.issn.1674 7720.2016.20.015
引用格式:梁新媛. 基于在线社交网络的舆论传播模型研究[J].微型机与应用,2016,35(20):54 57.
0引言
随着Web2.0时代的到来,网络用户可以更加自由地在社交网络平台上发布消息、表达观点,这为舆论提供了更方便的传播路径,因此,研究舆论传播模型能更好地掌握舆论传播的特点,为控制社交网络平台上的舆论传播提供依据。
20世纪60年代,DALEY D Y和KENDALL D G提出了谣言传播的DK模型,将人群分为三类:不知道谣言的人、传播谣言的人以及知道谣言但不传播谣言的人。ZANETTE D H[1-2]基于复杂网络理论,对谣言传播机理进行了研究,得出了谣言传播存在临界值的结论。MORENO Y等人[3]在无标度网络的基础上,提出了改进的谣言传播动力学方程组,并通过仿真和随机分析得出在不同的网络拓扑结构下谣言的传播规律具有差异性。
近年来,学者们结合社会学知识,从社会群体的心理特征对舆论传播的影响来研究舆论传播模型,王筱莉等人[4]研究了具有怀疑机制的谣言传播模型,发现怀疑机制会减缓谣言传播速度和增大谣言真相传播率。Huo Liangan等人[5]通过在谣言传播模型中引入一个非单调和非线性的动态化描述函数,来表征突发事件下谣言传播过程中人们的心理变化,发现紧急事件下政府及时的信息公开能够有效抑制谣言的传播。夏玲玲等人[6-7]在谣言传播模型中引入犹豫机制,发现降低谣言内容的模糊性可以有效减弱谣言传播的负面影响。
本文考虑到真实在线网络中存在的与占优势观点相悖的劣势观点用户的现象,提出一种新的谣言传播概率的动态化描述函数,分析谣言在网络中的传播规律,使用真实在线社交网络的用户数据构成的网络拓扑图作为底图,仿真谣言在真实在线网络中的传播演化过程,分析劣势节点的存在对舆论传播过程的影响。
1舆论传播模型
德国的舆论专家伊丽莎白·诺依曼[8]曾经提出舆论在形成过程中具有“沉默螺旋”特性,即在面对争议性话题时,人们会根据公众舆论的优势方向来决定自身意见,寻求与公众舆论保持一致,从而处于劣势的舆论变回渐渐沉默下去。
但是,随着Web2.0时代的到来,人们可以更加自由地在互联网上表达自己的观点,甚至是与舆论优势观点相反的意见[9],所以在讨论社交网络平台上的舆论传播时应加以考虑这种反沉默现象,引入一种新的状态[10],使得舆论传播模型更符合实际。
因此,本文定义了图1所示的SIMR舆论传播模型,其中,I为健康节点,表示当前时刻还没有接触到舆论的节点;S为传播节点,表示当前时刻正在传播舆论的节点;M为劣势节点,表示当前时刻与舆论优势方意见相左的节点;R为免疫节点,表示对舆论不再关注的节点。

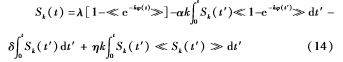
图1所示的SIMR模型的舆论传播过程的一般情况为:(1)当健康节点I接触到传播节点S后,会以λ的概率转化为传播节点;(2)当传播节点S接触到其他传播节点S或免疫节点R或劣势节点M后,会以α的概率转变为免疫节点;(3)当劣势节点M接触到传播节点S后,会以η的概率转变为传播节点;(4)传播节点S会由于遗忘、反向思考等因素影响以δ的概率转变为劣势节点。
SIMR模型的均场方程如下:




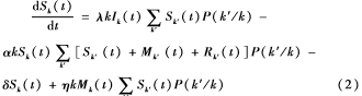
其中,Ik(t)、Sk(t)、Mk(t)、Rk(t)分别表示在t时刻度为k的健康节点、传播节点、劣势节点、免疫节点的比例。相应地,定义I(t)、S(t)、M(t)和R(t)分别为在t时刻健康节点、传播节点、劣势节点以及免疫节点的比例。得到S(t)=
其中P(k)为度分布函数,同理也可以得到I(t)、M(t)和R(t)的表达式。此外,Ik(t)+Sk(t)+Mk(t)+Rk(t)=1,I(t)+S(t)+M(t)+R(t)=1。P(k′/k)表示度为k的节点和度为k′的节点连接的概率。
表示t时刻度为k的节点的一条边指向一个传播节点的概率。类似地,
Rk′(t)]P(k′/k)表示t时刻度为k的节点的一条边指向一个传播节点、劣势节点或免疫节点的概率。
本文假设在舆论传播的初始时刻,网络只有一个传播节点,其余均为健康节点。本文用R=R(∞)表示舆论传播的最终规模,以此来衡量舆论的影响。
2模型稳态值分析
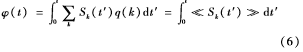
本文基于异构网络[11]对方程(1)~(4)进行分析来探讨舆论传播的临界值。节点间度的关系可以表示为P(k′/k)=k′P(k′)/<k>,其中<k>为平均度[12]。为了便于计算,令q(k′)=P(k′/k)=k′P(k′)/<k>。假设初始时刻Ik(0)=I(0)≈1,那么可以直接对式(1)进行积分,得到:

其中,

引入了缩写形式
此外,如下定义了ψ(t)的表达式:

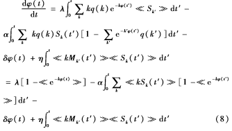
那么,求解出φ(∞)就可以推导出R。因此,将式(2)乘以q(k)后以度k求和,并从0到t积分,得:

同理,对式(3)进行处理得:

当
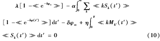
由式(8)和(9)可以推导出:


结合式(10)和(11)可以推导出:

用ODE对式(3)求解,推导出Mk(t)的表示式如下:

分别对式(2)和式(3)积分,得:


以上所得结果表示为α的零阶导,可以直接推导出:

将式(15)代入式(16)并使用ODE可以推导出Sk(t)的表达式为:

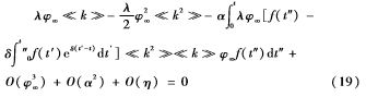
当接近临界值时,φ(t)和φ∞都非常小。令φ(t)=φ∞f(t),其中f(t)是一个有界函数,并将式(17)表示为φ∞的高阶无穷小,得:

接着,对式(12)求解得出φ∞,并代入式(18),表示为φ∞的等价无穷小,得:

进一步化简得到:

其中,
是一个有界函数和正定积分[13]。下文的分析建立在λ≠0的基础上。显然φ∞=0始终是一个解,得出φ∞的正解如下:

其中
进一步推导出φ∞的表达式如下:

由式(22)可知在异构网络中SIMR模型实际上并不存在传播临界值,这表明谣言一经传播就会扩散开并影响社交网络用户。
因为Rk(∞)=1-Ik(∞),所以可以推导出舆论传播的最终规模R为:

3数值分析
本节进行了仿真实验来验证上文的分析结果并进一步探讨SIMR模型的特性。本文的仿真基于Caltech的Facebook用户数据集,包含762个节点,度分布情况如图2所示,满足幂律分布[14]。


以Facebook数据集作为底图,选取λ=0.6、α=0.3、δ=0.5、η=0.4,初始时刻随机选取网络中的一个节点为传播节点,其余均为健康节点。得到SIMR舆论传播模型过程中各节点概率变化情况如图3所示。随着舆论传播开来,健康节点迅速下降,传播节点迅速上升,符合舆论在社交网络平台上爆发速度快的特征[15]。随着舆论传播节点数量的上升,传播节点逐渐占领舆论优势方向,此时,劣势节点数量也小幅上升,正如社交网络上有些用户开始表达自己关于舆论的另一种观点,数量上并不能超越舆论优势方,但是这部分用户往往会坚持自身观点。随着时间推移,舆论优势方用户渐渐遗忘或不在关注舆论而转变为免疫节点,但是舆论劣势用户依旧坚持自身观点,舆论在小范围内传播[16],不再产生大的影响,至此,一个舆论传播周期[17]结束。
最后通过仿真分析舆论传播最终规模R与η和δ的关系,如图4所示,随着δ的增大,表示传播节点中出现劣势节点的概率增大,相应的舆论传播最终规模R逐渐减小;在δ一定的情况下,随着η的增大,劣势节点放弃自身观点而转变为传播节点的概率增大,因此舆论传播的最终规模也增大。

4结论
本文考虑了真实社交网络中的舆论传播过程中存在与舆论大方向相悖的劣势观点,在MORENO Y等人研究的谣言传播模型的基础上,提出了一种新的舆论传播模型——SIMR模型,研究了拥有劣势观点的节点的存在对舆论演化带来的影响。接着对SIMR模型建立动态方程并进行分析求解,得出舆论传播的最终规模的表达式,发现本文的SIMR模型在异构网络中并不存在传播临界值,表明舆论在社交网络中一经传播就会引起广泛关注。最后,在局部Facebook网络中进行模型仿真,研究了谣言传播最后总规模与R、η和δ之间的关系,即劣势节点的存在对舆论传播最终规模R的影响,发现劣势节点一般坚持自身观点,随着时间推移,舆论演化到最终只存在免疫节点和舆论劣势节点。
在实际社交网络的舆论演化过程中,影响因素还有很多,如何将这些因素通过数学形式在舆论传播概率的动态化函数中体现还需要进一步的研究,为舆论传播的控制提供更好的模型支持。
参考文献
[1] ZANETTE D H. Critical behavior of propagation on smallworld networks[J]. Physical Review E, 2001, 64(1): 1725-1732.
[2] ZANETTE D H. Dynamics of rumor propagation on smallworld networks[J]. Physical Review E, 2002, 65(4): 110-126.
[3] MORENO Y, NEKOVEE M, PACHECO A F. Dynamics of rumor spreading in complex networks[J]. Physical Review E, 2004, 69(6): 279-307.
[4] 王筱莉, 赵来军. 社会网络中具有怀疑机制的谣言传播模型[J]. 上海理工大学学报, 2012, 34(5): 424-428.
[5] Huo Liangan, Lin Tingting, Huang Peiqing. Dynamical behavior of a rumor transmission model with psychological effect in emergency event[C].Abstract and Applied Analysis, Hindawi Publishing Corporation, 2013:4339-4344.
[6] Xa Lingling, Jiang Guoping, Song Bo, et al. Rumor spreading model considering hesitating mechanism in complex social networks[J]. Physica A: Statistical Mechanics and Its Applications, 2015, 437: 295-303.
[7] 顾亦然, 夏玲玲. 在线社交网络中谣言的传播与抑制[J]. 物理学报, 2012, 61(23): 544-550.
[8] THOMAS S A. Lies, damn lies, and rumors: an analysis of collective efficacy, rumors, and fear in the wake of Katrina[J]. Sociological Spectrum, 2007, 27(6): 679-703.
[9] BHAVNANI R, FINDLEY M G, KUKLINSKI J H. Rumor dynamics in ethnic violence[J]. The Journal of Politics, 2009, 71(03): 876-892.
[10] KIMMEL A J. Rumors and rumor control: a manager’s guide to understanding and combatting rumors[M]. Routledge, 2013.
[11] BROOKS B. Rumour propagation on social networks as a function of diversity[A].Advanced Dynamic Modeling of Economic and Social Systems[C]. Springer Berlin Heidelberg, 2013,448: 49-60.
[12] DALEY D J, KENDALL D G. Epidemics and rumours[J]. Nature, 1964, 204(4963): 1118.
[13] MAKI D P, THOMPSON M. Mathematical models and applications[M]. PrenticeHall, 1973.
[14] NEKOVEE M, MORENO Y, BIANCONI G, et al. Theory of rumour spreading in complex social networks[J]. Physica A: Statistical Mechanics and its Applications, 2007, 374(1): 457-470.
[15] 王国华, 戴雨露. 网络传播中的 “反沉默螺旋” 现象研究[J]. 北京理工大学学报(社会科学版), 2010,12(6): 116-120.
[16] GU J, CAI X. The forget remember mechanism for 2 state spreading [EB/OL].(2007-02-11)[2016 05 30]http://arxiv.org/pdf/nlin/0702021v1.pdf.
[17] Zhao Laijun, Wang Jiajia, Chen Yucheng, et al. SIHR rumor spreading model in social networks[J]. Physica A: Statistical Mechanics and Its Applications, 2012,391(7):2444-2453.
