文献标识码: A
DOI:10.16157/j.issn.0258-7998.181689
中文引用格式: 潘健,刘天俊,黎家成. 一种用于光伏最大功率点跟踪的Boost电路[J].电子技术应用,2019,45(2):113-116.
英文引用格式: Pan Jian,Liu Tianjun,Li Jiacheng. A boost circuit for photovoltaic maximum power point tracking[J]. Application of Electronic Technique,2019,45(2):113-116.
0 引言
光伏发电系统中,太阳能电池发电效率决定了光能的使用率,在动态环境下,维持电池板工作在最大功率是保证最大程度利用太阳能的关键。实际应用中,多采用爬坡法结合Boost电路对电池板输出功率进行调节[1]。因此Boost电路的性能在很大程度上决定了跟踪的速度和精度,影响着开关管开通关断时间及器件电压应力,间接影响光伏电池MPPT(最大功率点跟踪)系统的寿命[2-3]。
传统Boost电路电压增益为V(1-D),输出纹波较大。为减小输出纹波,同时降低器件电压应力,出现了并联交错Boost电路[4-6],该结构由两组电感和开关管构成的回路并联而成,开关管交替导通,在一定程度上降低了开关器件和二极管的电压应力,输入电流纹波低。
但由于传统Boost电路及并联交错Boost电路输出电压增益相同,在应对普通低电压场合时能够满足需求,当升压需求增大时,电路工作占空比会随之呈正比例增大,因升压能力限制而造成开关器件在高占空比下长久使用,会缩短其寿命。因此具有高增益的改进型电路应运而生,如加入了开关电感的Boost电路[7-8]、具有开关电容的并联交错Boost电路[9]以及增加输出电容从而提升升压能力的并联交错Boost电路[10-11]和增加耦合电感的并联交错电路[12-13]等。
本文在并联交错Boost电路基础上,提出了一种基于开关电感的并联交错Boost电路,将并联交错电路中的电感替换成由三个二极管和两个电感构成的开关电感形式,电路继承了并联交错Boost电路的低纹波优势,同时加入的开关电感取代了单一的电感,使得电路在运行过程中同一占空比下输出增益更大。其适用于对控制精度和升压效果要求较高的MPPT应用。
1 改进型并联交错Boost电路工作状态分析
改进型Boost电路如图1所示,利用开关电感结构替代了传统Boost电路单电感的工作结构,每组开关电感由两个电感和三个二极管构成,且L1=L2=L3=L4=L。

电路工作时采用并联交错电路控制模式,两个开关管占空比相同,但开关管S2比开关管S1滞后半周期导通(相位差180°),主要工作状态分为四个阶段,如图2所示。具体过程如下:
(1)第一阶段t1~t2(图2(a)),S1导通,S2关断。二极管D1、D3、D5导通,D2、D4、D6截止;电感L1、L2并联充电,充电电压为Vi,L3、L4串联放电,电流为i2。
(2)第二阶段t2~t3(图2(b)),S1关断,S2关断。二极管D2、D5导通,D1、D3、D4、D6截止。电感L1、L2串联放电,电流为i1,L3、L4串联放电,电流为i2。
(3)第三阶段t3~t4(图2(c)),S1关断,S2导通,二极管D2、D4、D6导通,D1、D3、D5截止。电感L1、L2串联放电,电流为i1,L3、L4并联充电,充电电压为Vi。
(4)第四阶段t4~t5(图2(d)),S1导通,S2导通。二极管D1、D3、D4、D5导通,D2、D5截止。电感L1、L2并联充电,充电电压为Vi,L3、L4并联充电,充电电压为Vi。
四个阶段电感电压
和电容电流ic的关系如图2(a)~图2(d)。

2 改进型并联交错Boost电路分析
2.1 输出电压增益
因占空比决定了Boost电路不同的工作模态,在一个周期中,当占空比处于0<D<0.5和处于0.5≤D<1时,单周期内系统所包含的工作状态因S1、S2开通与关断时间不同而有所区别,如图3所示,图中数字表示对应的工作状态。现对系统连续工作模式下不同占空比情况进行分析:

(1)占空比0<D<0.5
在一个周期中,此时有三种不同的工作状态,分别是S1导通、S2关断(第一阶段),S1关断、S2关断(第二阶段)和S1关断、S2导通(第三阶段),如图3(a)所示。
对该周期采用平均周期建模法,一个周期内电感上的平均电压大小有:

将式(1)、式(2)化简得:

(2)占空比0.5≤D<1
此时电路在一周期中有S1导通、S2导通(第四阶段),S1导通、S2关断(第一阶段)和S1关断、S2导通(第三阶段)三种工作状态,如图3(b)所示。同理分析可得式(6)相同结论。
综上分析,本改进型并联交错Boost电路工作在0<D<1情况下电压增益为:

相比于传统Boost,电压增益增加了D/(1-D)。
2.2 输入电流纹波
如前面所述,当电路工作在不同占空比(0<D<0.5和0.5≤D<1)时,输入电感的纹波也会由此分为两种情况讨论,电流与开关信号之间的关系如图4所示。

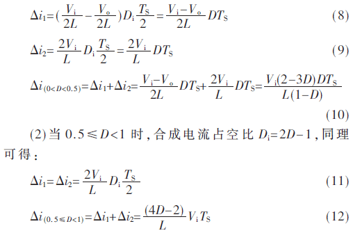
(1)当0<D<0.5时,合成电流为i,占空比Di=2D。在任意一个DiTS/2时间段内,开关管S1导通、S2关断,作用效果相同。选择i1所在支路S1处于关断状态,电感L1、L2串联放电;i1所在支路S2处于导通状态,电感L3、L4并联充电。

3 仿真分析验证
3.1 恒压输入下输出性能仿真
电感、电容和电阻的取值分别为:L1=L2=L3=L4=L=4×10-4H,C=2×10-4F,R=5 Ω。分别对传统Boost电路和本电路进行对比仿真。输入电压Vi=10 V,占空比分别取0.2、0.5、0.8,如图5所示,其中虚线为改进后电路输出电压,实线为传统Boost电路输出电压。改进型拓扑结构明显具有更好的升压优势,与理论计算基本符合。

3.2 光伏电池最大功率跟踪仿真
假设电池工作环境温度T=25 ℃,在0~1 s区间,最大光照辐射强度S=1 000 W/m2,其中0.5~0.7 s区间,光照辐射强度逐步下降至S=250 W/m2并逐步回升。L1=L2=L3=L4=L=1.03×10-3H,C=1×10-3F,R=20 Ω。MPPT策略采用传统扰动观察法。
图6(a)为光伏电池输出功率时间曲线。当仿真开始,输出功率逐步提升到260 W左右;在t=0.5 s时,辐照强度逐步下降至S=250 W/m2,输出功率降低至65 W左右,随后随着辐照强度上升,输出功率也随之上升,并回升至260 W,调节时间为0.035 s左右。可见本改进型拓扑能够实现光伏电池最大输出功率的实时跟踪,且跟踪响应速度较快,输出性能稳定。
图6(b)为改进型拓扑输入端电流,i1、i2分别为S1、S2对应回路输入电流;i为光伏电池输出电流即改进型拓扑输入总电流。可见输入电流i频率为i1、i2的2倍,且纹波经两路电流合成后明显降低,合成电流脉动范围为7.55~7.63 A,纹波较小,且与理论计算相符。

图7为改进型拓扑输出电压及电流仿真波形,稳定状态最大输出电压为72 V,根据光伏电池输出电压35 V计算可知,开通占空比为0.345左右,而传统拓扑达到此稳定状态开关占比需在0.5左右,在一周期中,改进型拓扑开关管开通时间明显减少,且能达到相同升压控制效果。

4 结论
本文提出的开关电感并联交错Boost电路,输出电压增益较传统拓扑升压倍率提升了D/(1-D),且继承了并联交错Boost电路低输入电流纹波的特点。仿真验证了拓扑的升压能力是传统拓扑的(1+D)倍;且在动态输入环境下,其跟踪的可靠性和稳定性,验证该拓扑能够应用于光伏电池最大功率点跟踪。
参考文献
[1] 徐德鸿,马皓,汪賧生.电力电子技术[M].北京:科学出版社,2006.
[2] 李京,胡仁杰.光伏电池在Boost电路中的最大功率跟踪[J].电气技术,2013(4):21-24.
[3] 高任龙,谢桦,陈宁.Boost电路在光伏发电系统中的应用[J].电源技术,2012,36(3):377-379.
[4] 孙宏宇,王婕.交错并联Boost PFC电路数学建模与仿真[J].电源世界,2014(9):26-29.
[5] 贾浩文,高波,徐海涛,等.基于交错并联Boost电路的光伏MPPT研究[J].电力科学与工程,2017(4):7-12.
[6] 艾建坤,秦会斌.一种交错并联型Boost PFC的建模与设计[J].电子器件,2016(6):1537-1542.
[7] 高嵩,宋鹤,陈超波,等.开关电感Boost变换器建模与仿真分析[J].电源学报,2015(4):77-84.
[8] YI J H,CHOI W,CHO B H.Zero-voltage-transition interleaved boost converter with an auxiliary coupled inductor[J].IEEE Transactions on Power Electronics,2017,32(8):5917-5930.
[9] 汪东,赵一,石健将,等.具有开关电容的隔离型交错并联Boost变换器[J].中国电机工程学报,2009(21):14-20.
[10] 邾玢鑫,任路路,吴袭.一种新型非隔离型高增益DC-DC变换器[J].电机与控制学报,2017(4):25-30.
[11] 程千,张代润,程满,等.一种适用于光伏发电系统的新型两相交错并联Boost变换器[J].可再生能源,2015(11):1614-1618.
[12] ABDEL-RAHIM O,ORABI M,ABDELKARIM E,et al.Switched inductor boost converter for PV applications[C].Applied Power Electronics Conference and Exposition(APEC),2012 Twenty-Seventh Annual IEEE.IEEE,2012:2100-2106.
[13] 薛利坤,王萍,王议锋.基于开关电容和耦合电感的交错并联型高电压增益双向DC-DC变换器[J].电工技术学报,2016,31(24):181-187.
作者信息:
潘 健,刘天俊,黎家成
(湖北工业大学 太阳能高效利用湖北省协同创新中心,湖北 武汉430068)
