工作在甚低电压的甲乙类S2I存储单元
2020-05-24
来源:与非网
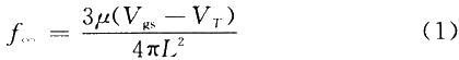
开关电流技术是一种模拟取样信号处理新技术,主要应用于开关电流滤波器和模数转换器设计。由于开关电流电路无需使用双层多晶硅电容,因此电路可以采用标准的 CMOS 数字工艺实现,从而降低了制造成本;采用开关电流技术可以缩小芯片尺寸,满足现代 SoC 系统低电压、低功耗需求。开关电流电路的建立时间由环路带宽 f∞决定:

式中的μ为沟道电荷迁移率,Vgs 为 MOS 管的栅一源电压,VT 为开启电压,L 为沟道长度。根据式(1)确定的关系,表明开关电流电路完全可以在数百兆赫兹的高频下正常工作,因此可以用于高速电路的设计。
1、甲乙类 SI 存储单元
在便携式电子系统中,功耗是一个关键性问题。甲类存储单元的输入信号摆幅受偏置电流制约,即输入信号幅度不能超过偏置电流幅度。如果要增大信号摆幅,就必须相应增大偏置电流,这无疑会使电路的静态功耗增大,因此甲类电路无法满足现代电子系统的低电压、低功耗设计需求,而甲乙类结构的电路仅需要极小的偏置电流就能实现较大的信号摆幅,即输入信号的幅度可以超过偏置电流幅度,所以很适合于低功耗电路应用。甲乙类存储单元由甲乙类电流传输器衍变而来,甲乙类电流传输器[3]如图 1 所示。当用存储管取代甲乙类电流传输器中的电流镜并增加相应的控制开关后,就构成如图 2 所示甲乙类存储单元。图 2 中对应于电流传输器的 Y 端子接地,以确保 X 端子“虚地”。


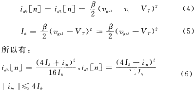
基本甲乙类存储单元的工作过程如下所述:电路采用两相控制时钟,在φ1 相期间,对输入电流取样,此时 M5 和 M6 为二极管接法,栅一源电容 Cgs5,Cgs6 处于充电状态。电路中电流关系如下:

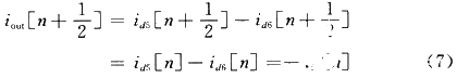
式中的υi 为电流输入端对地电压。需要注意的是,当︱iin︱》4Ib 时,输入电流只存储于 M5 或 M6 中。在φ2 相期间,M5 和 M6 为输出管,其栅极处于断开状态,将仍相期间栅一源电容 Cgs5,Cgs6 所存储的电流输出到负载,输出电流为:

此时 M2 和 M4 的漏极经 CMOS 开关与电源相连,输入电流继续流入晶体管 M2 和 M4,这样可以缩短采样相φ1 的恢复时间。通过以上分析可知,开关电流甲乙类存储单元的输入电流的幅值不受限于偏置电流 Ib,在相同的偏置条件下输入动态范围比甲类存储单元大得多。由于甲乙类存储单元的存储管由互补的 NMOS 和 PMOS 管构成,因此可以减小由 MOS 开关注入电荷引起的存储电流误差。甲乙类电路的另一个优点是:当多个电路单元级联时,可以共用同一个偏置电路,既节省了硬件开支,也降低了电路的功耗。
2、甲乙类 S2I 存储单元
甲乙类 S2I 存储单元的工作原理与简单的 S2I 存储单元的工作原理相似,电路结构和时序如图 3 所示。图 3 中的 M5 和 M6 为粗存储管,M7 和 M8 为细存储管,在φ1a 相期间 M5 和 M6 对输入电流采样、存储;在φ1b 相期间,存储管 M7 和 M8 对存储管 M5 和 M6 中存储的误差电流采样,然后在φ2 相期间输出电流,实现电路如图 4 所示。其工作过程如下所述:
在φ1a (φ1ad) 相期间开关 S3~S6 导通,其余开关处于关断状态;输人电流 iin 对 M5 和 M6 的栅一源电容充电,M5 和 M6 所存储的电流为 i。=-iin+△(iin),其中△iin 是开关切换时产生的误差电流;在φ1b(φ 1bd )相期间,开关 S7,S8 以及 S11~S14 导通,S3~S6 断开;M5 和 M6 的存储电流与输入电流的差值△(iin)由 M2 和 M4 的源极输入,细存储管 M7 和 M8 只对误差电流△(iin)采样,所存储的电流为 if=-△(iin)+△(△(iin))。在φ2 相期问,S9,S10,S15,S16 接通,粗存储管 M5 和 M6 的存储电流与细存储管 M7 和 M8 的存储电流相减输出:

由于△(△(iin))是由△(iin)产生的,而△(△(iin))《《△(iin),因此可以认为输出电流与输入电流相等。从理论上讲,电流误差项△可以变成“阶误差;只要将细存储单元增加为 n 级,即 n 步采样。但是这会使定时变得更为复杂,并且需要占用更多的芯片面积。以上的分析表明:采用 S2I 技术的 AB 类存储单元比基本甲乙类存储单元具有更佳的性能。


实现电路采用 CMOS 开关以增大输入信号动态范围,控制时钟为互补对称时钟。时序的安排说明如下:φ1ad 的脉冲宽度略大于φ1a 的宽度,即 M5 的栅极比他的漏极提早切换,避免将开关切换所引起的误差电流存储。φ1b 和φ 1bd 之间的脉冲宽度关系与前者相同。
3、仿真实验及其分析
采用 EKV MOST 模型参数对设计的电路进行 SPICE 仿真。实现电路的 MOS 晶体管几何尺寸如下:M1,M2,M6,M8 的宽长比 W/L=17μm/5μm;M3,M4,M5,M7 的宽长比 W/L=64 μm/5μm。开关管的尺寸:所有的 NMOS 管的宽长比都为 W/L=1.6/μm/1.6 μm,PMOS 管的宽长比都为 W/L=4.4 μm/1.6 μm。其他仿真参数如下:电源电压±0.5 V,偏置电流 Ib=20 nA,输入电流 iin=300 nA,信源频率 fin=20 kHz,采样时钟频率 fc=200 kHz。基本甲乙类存储单元的仿真结果如图 5(a)所示,S2I 存储单元的仿真结果如图 5(b)所示。对比二者的波形可知,S2I 存储单元中的输出电流误差明显小于基本甲乙类存储单元的输出电流误差,这与前面理论分析得出的结论是一致的。
4、 应用举例
积分器是开关电流电路中常用的构建模块,以积分器为基础可以构成各种滤波器及其他应用电路。将提出的 S2I 存储单元级联并适当引入电流反馈,就构成一种甲乙类 S2I 通用积分器,如图 6 所示。其传递函数表达式与相应的甲类积分器相同[5]:
式中:


由于只需将输入电流进行适当组合即可得到不同的传递函数,而无须对电路内部结构进行改动,因此使用灵活、方便。
5、结 语
本文提出一种工作于甚低电压的甲乙类 S2I 存储单元,与基本的甲乙类存储单元相比他具有更好的系统性能,其低电压、低功耗的特点使其适合于用作便携式移动设备的基本单元电路。
