台积电分享碳纳米管的最新进展
2020-12-23
来源:半导体行业观察
硅基器件已经成为我们行业60多年的基础,这非常令人惊讶,因为最初的锗基器件将难以大规模集成。(值得一提,GaAs器件还开发了一个独特的微电子市场领域。)
最近,令人惊讶的是,通过引入诸如FinFETs之类的拓扑结构以及即将到来的纳米片,硅场效应器件获得了新的生命。硅基互补FET的研究正在进行中 (CFET)设计达到量产状态,其中nMOS和pMOS器件是垂直制造的,从而消除了当前单元设计中的横向n-p间距。
另外,材料工程学的进步已经将(拉伸和压缩)应力纳入硅通道晶体结构中,以增强自由载流子迁移率。
但是,硅设备收益递减的点正在逼近:
由于高电场下的速度饱和,无硅载流子迁移率接近最大值
尺寸的持续缩小降低了硅开云棋牌官网在线客服的导带和价带边缘的“自由载流子态密度”(DoS)–填充更大范围的载流子态需要更多的能量
与Fin图案相关的统计过程变化很大
散热片的热传导导致局部“自热”温度升高,从而影响了几种可靠性机制(HCI,电迁移)
为解决以上问题,目前业界正在进行大量研究,以评估与硅完全不同的场效应晶体管材料的潜力,但这也与当前的大批量制造操作相一致。一种选择是探索 器件通道的单层二维开云棋牌官网在线客服材料,例如二硫化钼(MoS2)。
另一个有希望的选择是从碳纳米管(CNT)构造设备沟道。下图提供了碳键独特性质的简单图示。(我对化学反应有些不熟悉,但我记得“ sp2”键是指原子核周围亚轨道“ p壳”中相邻碳原子的电子配对。没有“悬挂键”,并且碳材料是惰性的。)

请注意,石墨,石墨烯和CNT的化学结构相似-使用石墨进行的实验材料分析更加容易,并且最终可以扩展到CNT处理。
在最近的IEDM会议上,台积电提供了有关CNT器件制造进展的有趣更新。本文总结了该演讲的重点。
CNT设备具有一些引人注目的功能:
极高的载流子迁移率(>3,000cm2在/V-sec,“弹道运输”(ballistic transport),散射最小)
非常薄的CNT主体尺寸(例如,直径~1nm)
低寄生电容
优良的导热性
低温(<400C)处理
最后一个功能特别有趣,因为它还为基于硅的高温制造与后续的CNT处理集成提供了潜力。
门介电(Gate Dielectric)
台积电开发了独特的工艺流程来为CNT器件提供“高K”电介质等效栅极氧化物,类似于当前硅FET的HKMG处理。

上面的TEM图说明了CNT的横截面。为了与独特的碳表面兼容,需要沉积初始界面电介质(Al2O3)–即需要在碳上对该薄层进行适当的成核和整合。
随后,添加高K HfO2膜的原子级沉积(ALD)。(如前所述,这些关于材料性能的介电实验是在石墨基底上完成的。)

这些栅极电介质层的最小厚度受到非常低的栅极泄漏电流(例如,栅极长度为10nm的<1 pA/CNT)的限制。下面说明用于测量栅极到CNT泄漏电流的测试结构。(对于这些电测量,CNT结构使用石英衬底。)

实验得出的“最佳”尺寸为t_Al2O3=0.35nm和t_HfO2=2.5nm。由于这些极薄的层,Cgate_ox非常高,从而改善了静电控制。(请注意,这些层厚于CNT的直径,其影响将在稍后讨论。)
门方向(Gate Orientation)
台积电评估的CNT器件采用了独特的“顶栅加背栅”拓扑。

顶栅提供常规的开云棋牌官网在线客服场效应器件输入,而(较大的)背栅提供对S/D扩展区域中载流子的静电控制,以有效降低寄生电阻Rs和Rd。而且,背栅会影响CNT与钯金属之间的源极和漏极接触电势,从而降低肖特基二极管势垒以及在该开云棋牌官网在线客服-金属界面处的相关电流行为。
设备电流
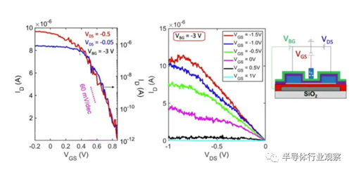
CNT pFET的IV曲线(线性和对数Ids(用于亚阈值斜率测量))如下所示。对于此实验,Lg=100nm,S/D间距为200nm,CNT直径=1nm,t_Al2O3= 1.25nm,t_HfO2=2.5nm。
对于此测试(制造在石英基板上),单个CNT支持超过10uA的Ids。接近上述目标尺寸的更薄电介质将实现进一步的改进。

最终将在生产制造中使用平行CNT-相关的制造指标将是“每微米CNT的数量”。例如,4nm的CNT间距将被引用为“ 250CNTs/um”。
挑战
规划CNT生产时肯定要解决一些挑战(仅举几例):
规则/均匀的CNT沉积,具有非常干净的表面,用于介电成核
需要最小化栅极电介质堆栈中的载流子“陷阱密度”
最佳S / D接触电位材料工程
设备建模设计
上面的最后一个挑战尤其值得注意,因为当前用于场效应晶体管的紧凑型器件模型肯定不够用。CNT栅氧化层拓扑与平面或FinFET硅通道完全不同。由于栅极到沟道的电场本质上是径向的,因此与平面器件一样,“有效栅极氧化物”并不存在简单的关系。
此外,S/D扩展需要唯一的Rs和Rd模型。而且,CNT栅氧化层的厚度比CNT的直径厚,从而导致从栅到S/D延伸以及到(小间距分隔)平行CNT的大量边缘场。为基于CNT的设计开发合适的紧凑模型是一项持续的工作。
顺便说一句,CNT“环绕栅极”氧化物(类似于纳米片周围的所有栅极)将比沉积的顶部栅极氧化物有所改进,但难以制造。
台积电显然正在投入大量研发资源,为“不可避免的”后硅器件技术的引入做准备。CNT的制造和电学表征结果证明了该器件替代产品的巨大潜力。
