RECOM推出比半块巧克力还小的3kW转换器
2021-07-12
来源:RECOM
可升降压的开关稳压器

RECOM的RBBA3000是半砖封装的3kW升降压型转换器。该升降压技术提供9V至60V的输入电压,电流高达50A。它是车载网络的理想解决方案,例如,除了12V电路以外还有板载二次供电电路。RBBA3000也适合电池供电的设备或UPS(不间断电源)。发生电源故障时它可以使用48V电池来为设备供电,以帮助它完成当前任务然后返回到安全的位置。
转换器的尺寸为63.2mm x 60.6mm x 13.0mm,体积50cm³。96%的超高效率让它可以有很紧凑的尺寸以及非常平坦的曲线图。

图 1:输出电流与效率关系曲线图
转换器在轻载时也有出色的效率表现,但是在高功率密度下需进行冷却。将散热基板安装在半砖外壳的底板上可达到散热效果,因此转换器可在高达85°C的环境温度下全功率运行。超过此范围之后降额会是一个问题。在25°C和80%的负载下,根据Telcordia SR332计算MTBF为1.3 x 106小时。
设定输出电压
依照以下计算公式,微调电阻器Rtrim可以设定RBBA3000的输出功率Ua:

设定了Rtrim后,可以按以下公式计算输出电压:

或者,可以在微调引脚施加特定电压来设定输出电压,公式如下:

改变电压Utrim时,RBBA3000的输出电压将按照图2所示的曲线进行调整。因此可以使用微控制器和DA,在0V至60V的范围内调节和控制输出电压,最大输出电流为50A。这两个控制变量的特性如图2所示。

图2:设定输出电压
限制电流
最大输出电流可以使用第二个电阻加以限制。它连接到Iset引脚,计算公式如下:

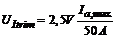
最大输出电流也可以由Iset引脚上的电压UItrim进行控制。计算公式如下:

电压也是可调的,与上述的电压设定相似。
测量电流
RBBA3000有内置电流测量功能,消除了电力电子电路中常见的电流测量问题。在Ishare引脚施加电压会提供电流信号,特性如图3所示:

图3:实际电流的电流信号
并联电路
应用需要50A以上的电流时可以并联两个RBBA3000-50。并联时必须连接两个Ishare引脚以确保两个转换器的电流平均分配。另外,两个转换器的输入电压、输出电压、感测引脚等必须有相同的设置。如需更多详细信息,请参阅《 RECOM应用手册》。
EMC
输入和输出滤波器的实际尺寸取决于实际应用,因此我们现在只能考虑最坏的情况。
为了满足传导和辐射噪声的标准,我们建议RBBA3000使用以下的滤波器:

图4:EMC输入和输出滤波器
C1:470μF/100V,电解电容
C2:10μF/100V,陶瓷电容
C3:10μF/100V,陶瓷电容
C4:10μF/100V,陶瓷电容
L1:10μH/56.7A,差模电感,例如Würth Elektronik 7443763540100
LCM:1.4mH/50A,共模电感,Schurter Inc. DKIH-3252-506J-NK
图5显示得出的噪声频谱。

图5:噪声频谱
RBBA3000的体积为50cm³,差模电感和共模电感分别为52cm³和87cm³。根据实际应用可以省略一些滤波器器件。
应用
我们已经简单概述了RBBA3000的潜在应用。现在让我们更详细地看一下实际应用,如何将可变输入电压(20-60V)转换为12V稳定输出电压:

图6:可变输入电压输出12V电压
为了获得不同的输出电压,唯一需要改变的器件是36kΩ电阻;请参见图2。
重要数据:
RBBA3000的重要数据:
输入电压:9V至60V(短时间80V)
输出电压:0V至60V(可调)
输入和输出电流:50 Amax;可调电流限制/调节
效率:96%,见图1
功耗:47W@Ue = 48V,Ua = 24V,Ia = 50A
外壳:半砖,63.2mm x 60.6mm x 13.0mm,体积 = 50cm³
冷却:基板散热,焊接或螺钉固定
可靠性:根据Telcordia SR332,MTBF为1.3 x 106小时
全面环境测试:RECOM信息来源
温度范围(有冷却):-40°C至+85°C
电绝缘:输入和输出接地端已连接
