教学:CD型铁芯电感量的一种测量方法
2022-08-30
来源:21ic电子网
1实现原理
将导线穿过磁环就构成了一个共模扼流圈,也可以将导线在磁环上面绕几匝,电感量与匝数的平方成正比,匝数越多,对频率较低的干扰抑制效果越好,而对频率较高的噪声抑制作用较弱,在实际工程中,要根据干扰电流的频率特点来调整磁环的匝数。用一根导线穿过铁芯电感,并缠绕一定的圈数,在导线两端加上适当的交流电压,获得该电压与流经导线的电流的矢量数据,计算出铁芯电感量。
1.1等效电路
电感等效电路如图1所示。

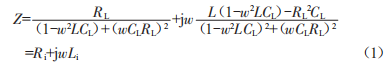
电感的等效阻抗:电感元件除电感L外,也总是有损耗电阻RL和分布电容CL。一般情况下,RL和CL的影响很小。电感元件接于直流并达到稳态时,可视为电阻:若接于低频交流电路,则可视为理想电感L和损耗电阻RL的串联。
1.2计算方法
如图1所示,电路总阻为:

式中,Ri和Li分别为电感元件的等效电阻和等效电感。
从式(1)知,当CL甚小或RL、CL和o都不大时,Li才会等于L或接近等于L。
在低频电路中C可视为开路,这里选取50iH工频电源,电感等效电路为L与RL串联,如图2所示。

将式(2)代入式(1),得式(3):

电感电流与电压的频率相同,工频交流电中,都是50iH。纯电阻负载电压、电流同相位,纯电感负载电压超前电流90m,电流滞后于电压角度9,可得:

将式(5)代入式(3)中,可得:

电感量与匝数的平方成正比,实际电感量L4,f为缠绕导线圈数,将式(6)代入可得:

2测试计算
实验用漆包线穿绕10圈,绕紧,漆包线两端加上交流电压,测量漆包线两端的电压与流过的电流,获得波形如图3所示。

示波器测量所得数据:电压0.36V,电流14.91A,其中电压超前72o,可得tan9=3(wL=3R)。将Ui=0.36V,I=14.91A,tan9=3,n=10,f=50代入式(7),计算可得L=0.73μH。
3实验验证
为了验证该方法的应用可行性,选择了MT4080D手持电桥,如图4所示,用其电感测量功能测量获得电感值182.6μH,圈数n=16,可得铁芯电感值0.71μH,对比实验数据L=0.73μH知,这种铁芯电感的测量方法可行。

图4 电桥测量
4结语
经过多个型号铁芯电感测试,这种利用增加缠绕线圈来获取相应电压、电流值与相位差,从而最终得到电感值的方法是可行的,这种方法无需专用的检测装置即可获得铁芯电感值,非常适合没有专用仪器的测试,具有广泛的应用前景。
更多信息可以来这里获取==>>电子技术应用-AET<<

