入门:电源谐波治理与Matlab仿真在助航灯光供电系统中的应用研究
2022-09-18
来源:21ic电子网
引言
机场目视助航灯光系统是保障飞机在夜间和能见度受限制的情况下顺利进行起飞、着陆、滑行的目视助航设备,为飞行员提供跑道位置、方向和对正引导。因其对飞行安全的重要性,灯光站配置两路独立的l0kV进线,经两台l0/0.4kV变压器后形成l0kV侧单母线分段手动联络,400V侧单母线分段运行,自投不自复的供电网络,并配备一台柴油发电机组作为备用电源。恒流调光器则是目视助航灯光系统中的关键设备,它采用可控硅斩波来调节输出电压,以使各条助航灯光回路电流保持在l~5级光的规定值。自虹桥机场西区开航使用新的进口调光器后,灯光站多次发生恒流调光器“主频超限”报警后自行关机的故障,虽自动切换为备用调光器,未对助航灯光运行造成不良影响,但已对飞行安全构成较大隐患。在排除调光器设备本体故障可能性后,为进一步查明原因,用FLUKE43B电能质量分析仪对2个灯光站4台变压器的电能质量进行了检测。
1现状评估与分析
经检测,4台变压器低压进线侧电能质量情况均呈现如下规律:当调光器不开启时,变压器低压侧电能质量较好,谐波较少:但当恒流调光器从5级光(6.6A)逐级调到1级光(2.8A)时,随着总谐波电流有效值逐渐减小,电流谐波畸变率逐渐增大,功率因数则逐渐减小,谐波电流以3、5、7、9、11等奇次波为主。以0#站1号变压器(10/0.4kV,800kVA)为例,从5级光调到l级光时,A相总谐波电流有效值Ia从204.9A降到75.8A,电流谐波畸变率THDIa则从13.2%上升到51.2%,功率因数PFa由0.64下降为0.24(表1)。

从表1可以看出:
(1)电流谐波污染较严重。恒流调光器主电路包括反并联可控硅、升压变压器和保护开关等。其调压原理就是在电源电压正负半周分别导通可控硅,移相改变导通角,以达到调压目的。负载为升压变压器初级线圈,升压变压器将调节后的电压升压,以满足大负载灯光回路恒流要求。因此,恒流调光器作为非线性负载,导致助航灯光电力系统中不可避免地会存在大量谐波,且光级等级越低谐波畸变率越高。
(2)三相负荷不平衡。恒流调光器采用两相线供电,且由于机场根据不同的天气情况,会开启不同的灯光回路和不同的灯光等级,三相不平衡本就难以避免,谐波电流更进一步加剧了这一情况。
(3)功率因数偏低。助航灯光供电系统虽在变压器低压侧配备了电容柜,但电容柜一方面易与系统中的谐波发生共振,进一步放大谐波:另一方面其无法跟随负载变化需求实时补偿,容易出现过补和欠补等情况。
综合分析后,笔者推断引起调光器主频超限故障的原因,很可能是由于助航灯光供电系统主要负载为可控硅恒流调光器这种谐波源,导致电能质量明显下降,西区开航后引进的进口调光器,对电能质量要求较高,从而引起调光器报警并自动关机。
2改进策略
2.1改进目标
根据助航灯光供电质量检测情况,灯光站的电力系统主要存在电流谐波畸变率较大、三相负荷不平衡明显及功率因数偏低三大问题。为此笔者查阅了相关国标及行业标准,将助航灯光供电质量改进目标定为:主要次谐波电流补偿率大于等于90%,其次是改善电流不平衡,最后是将功率因数提升至0.85以上。
2.2改进技术方案对比
谐波治理的方式通常可分为就地治理、谐波母线集中治理及就地与集中综合治理。就助航灯光供电系统而言,主要的谐波源是灯光站内的调光器,其数量较多,就地治理成本会比较高,且安装空间受限,采用母线集中治理较为合理、可行。
滤波技术主要有无源滤波与有源滤波两种。无源滤波技术的基本原理就是利用电感、电容元件的谐振特性,在阻抗分流回路中形成低阻抗支路,从而减小流向电网的谐波电流。无源滤波虽然具有成本低,技术成熟,可以补偿无功功率等优点,但却存在只能对特定频次谐波进行滤波,并可能与系统阻抗发生谐振,放大谐波分量等不足,难以适应助航灯光供电系统谐波随光级动态变化的情况,并可能与系统阻抗发生谐振。有源滤波器的本质是一个谐波源,它通过一定的控制算法,将系统中所含有害电流(高次谐波电流、无功电流及零序负序电流)检出,并产生与谐波源所产生的谐波幅值相等、相位相反的量,以抵消谐波源中的谐波成分,使其只剩下基波成分。系统结构如图1所示,图中es表示交流电源,负载为非线性负载,它产生谐波并消耗无功功率。有源电力滤波器APF由四大部分组成,分别为指令电流运算电路、电流跟踪控制电路、驱动电路和主电路,其中后三者组成补偿电流发生电路。指令电流运算电路的核心部分就是谐波和无功电流检测电路,其主要作用是检测出需要补偿对象电流iL中的谐波、无功等电流分量。补偿电流发生电路的作用是根据指令电流运算电路得出的补偿电流的指令信号ic,产生实际的补偿电流ih。有源滤波器一般最大能补偿2~50次谐波,且不受系统阻抗变化影响,能自动跟随负载变化,不会与系统发生谐振。相比较而言,有源滤波更适合助航灯光供电系统的实际情况。

3Matlab建模仿真
3.1指令电流运算电路子系统
有源滤波器的谐波电流检测直接影响到有源滤波器的补偿效果。谐波电流检测方法主要有基于Fryze的时域分析法、基于频域分析的快速傅里叶变换(FFT)法、基于瞬时无功功率理论检测法等。根据助航灯光供电系统为三相四线制,三相电流非正弦、不对称,且谐波电流随调光器光级变化的特点,选用基于瞬时无功功率理论的dq0检测法。该检测法以dq0坐标系下的广义瞬时无功功率理论为基础,通过坐标变换,将abc坐标系下的三相瞬时电流ia、ib、ic变换到dq0坐标系下的瞬时电流id、iq、io,通过分析dq0坐标系下瞬时电流的表达式,对电流进行分解,进而得出基于瞬时电流分解的谐波电流。
3.1.1dq0坐标系下的瞬时电流分解
对任意三相系统(对称或非对称、正弦或非正弦),通过傅里叶分解和对称变换,可以将a、b、c三相负载电流分解为:

式中,o为基波角频率:In+、In-、In0分别为电流中n次谐波正序、负序和零序分量的有效值:φn+、φn-、φn0分别为n次谐波正序、负序和零序分量的初相角。
经Park变换,以dq0坐标系表示的电流idq0与以abc坐标系表示的电流iabc之间的变换关系如下:

式中,C是Park变换矩阵,且C为正交矩阵,故:

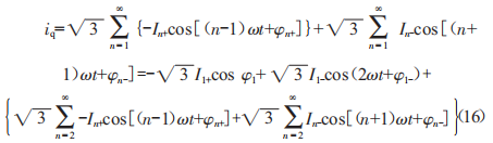
将式(1)、(2)、(3)、(6)代入式(4),可得三相电流在dq0坐标系下的瞬时电流id、iq、i0的表达式为:

可以看出,将电流从abc坐标系变换到以电网电压基波角频率同步旋转的dq0坐标系时,abc坐标系的第n次谐波正序电流分量在d、q轴上的分量为角频率为(n-1)o的正余弦量,abc坐标系的第n次谐波负序电流分量在d、q轴上的分量为角频率为(n+1)o的正余弦量,而abc坐标系的各次谐波零序分量在变换到同步旋转坐标系之后全部分布在0轴上。
对式(8)电流id进一步进行分解:

则:

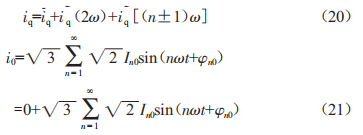
对iq、i0也做同样的分解:

令:

则:

令:

则:

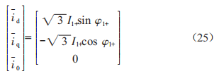
由式(12)、(17)、(22)可知,在dq0坐标系下id、iq、i0的直流分量为:

由式(25)可知,d、q由三相电流ia、ib、ic的基波正序分量、产生,根据式(5)、(7)将它反变换到abc坐标系可得:

由式(26)可知,在dq0坐标系下分离出id、iq、i0的直流分量后,经dq0坐标系到abc坐标系的反变换,就可得到三相电流的基波正序分量iaf+、ibf+、icf+,用三相电流ia、ib、ic减去上述基波正序分量,即可得除基波正序以外的广义谐波分量(包括基波负序分量、零序分量和高次谐波分量),将此广义谐波分量作为有源滤波器的指令信号ic。
3.1.2指令运算电路仿真
图2中,同步信号由锁相环PLL进行锁相生成ot信号,经abc到dq0变换后,id通过低通滤波器得到直流分量id(为同时检测出基波正序电流无功分量及零序电流,断开iq、i0通道)。为保证系统的稳定性和控制精度,将主电路直流侧实际的电容电压与参考电压的差值通过PI调节,将其加到基波正序有功电流上。

3.2电流跟踪控制电路子系统
电流跟踪控制电路采用PwM控制技术,将指令电流ic与实际输出电流ih的瞬时值进行比较,来决定功率开关器件的通断,使实际输出跟踪指令电流信号的变化。
三角载波线性控制是一种常用的电流跟踪控制法,其工作原理是:将补偿电流的指令信号ic与实际补偿电流ih的偏差作为调整信号,与高频三角载波相比较,从而得到逆变器开关器件所需要的控制信号。
如图3所示,在simulink环境下可以很灵活地调节载波频率及调制比,输出的脉冲信号经驱动电路来控制主电路中的开关通断,从而控制补偿电流ih的变化。

3.3有源滤波器仿真
有源滤波器以三相桥式可控整流电路为谐波源,通过改变脉冲发生器的a角度,模拟恒流调光器反并联可控硅的导通角。当a角越大,电流越小,电流畸变率越大。根据表1测量数据,因3级光为助航灯光最常用的光级,故按3级光数据进行模拟仿真,如图4所示。仿真主要参数如下:交流侧线电压380V、频率50Hz,变流器输出L=0.4mH,直流侧电容为20000μF,控制直流侧电压为800V。仿真算法选用ode23tb,仿真结果如图5、图6所示。
另外,由于仿真电路中的零序电流几乎为零,故未对零线上的零序电流进行补偿,但这并不影响三相电流中零序分量的滤除。
3.4仿真效果
3.4.1谐波滤除
谐波治理前三相电流谐波率分别为25.17%、39.3%、22.49%,治理后谐波率下降为1.63%、3.92%、3.42%。
总谐波补偿率

式中,Ih为APF投入后,电网侧第h次谐波电流含量方均根值:Inh为APF投入前,谐波源注入电网侧的第h次谐波电流含量方均根值。
根据表2数据,可得abc三相电流主要次谐波补偿率Ka、Kb、Kc分别为95.7%、94%、92.7%,三相平均主要次谐波补偿率为(Ka+Kb+Kc)/+=94.1%,满足大于等于9.0的预期目标。

3.4.2三相负荷平衡
仿真有源滤波器投入前,a、b、c三相电流有效值分别为116.5A、130.2A、150.6A,不平衡度按(最大相电流-三相平均电流)/三相平均电流计算为13.7%,滤波器投入后三相电流有效值为84.69A、84.3A、84.42A,不平衡度为0.26%,相较之前明显改善。
3.4.3功率因数提升
功率因数PF=P/s,其中P为有功功率,s为视在功率。在非正弦系统中,P与s是所有电压、电流的直流分量和各次谐波分量所做的功。

式中,u、i为瞬时电压和电流。
由于daM1ab中现有测量功率因数的模块仅针对基波进行测量,为得到真实功率因数,根据式(28),搭建Simulink模型,如图7所示。

经图7模型测量,治理前a、b、c三相功率因数分别为0.45、0.63、0.50,治理后三相功率因数均为0.90,满足大于等于0.85的预期目标。
4实际应用效果
自两个灯光站完成4台有源滤波器加装项目后,恒流调光器至今未再次出现因主频超限故障自动关机的现象。同时,有源滤波器安装前,两个灯光站年用电量分别为1077917kW·h和1030440kW·h,安装后为959298kW·h和897481kW·h,节电率按(安装前用电量-安装后用电量)/安装前用电量计算,分别为11%和12.9%。以0.85元/kW·h电力成本计算,每年可节省电费21.38万元。
5结语
通过对助航灯光恒流调光器因主频超限自动关机故障原因的调查,分析故障可能是由灯光系统中电网谐波引起的。同时为治理灯光站电网中三相负荷不平衡较严重、功率因数低的问题,以广义瞬时无功功率理论为基础,通过搭建Matlab仿真模型,验证了加装并联有源滤波器可有效解决灯光电网中存在的问题,并在实际应用中取得了较好的效果。
更多信息可以来这里获取==>>电子技术应用-AET<<

