尽管有源滤波器的理论家和设计者都对GIC(通用阻抗变换器)非常熟悉,但一般模拟人员对它并不了解。一个单端口有源电路一般包括低成本运放、电阻和电容,GIC将容抗转换为感抗,因而可以替代滤波器中以RLC传输函数描述的电感。另外,GIC输入阻抗方程的灵活性允许进行虚拟阻抗的设计,这在实际元器件中是不存在的,例如依赖频率的电阻。GIC是30年前推出的,已广泛应用于交流电路和有源滤波电路。
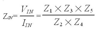
图1是一个经典的GIC电路,它的输入阻抗ZIN依赖于阻抗Z1至Z5的性质。下式描述了该电路的输入阻抗:

图 1 ,一种经典的通用阻抗变换器,在VIN处提供一个单端阻抗。为简明起见,图中省略了电源连接。
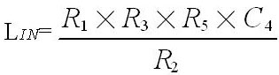
例如,如果 Z1、Z2、Z3和Z5分别为电阻R1、R2、 R3和R5,而Z4为电容C4,则输入阻抗 ZIN 将作为一个LIN的虚拟电感出现:
图 2 是直流配置下的GIC 电路。当考虑将GIC电路用于纯直流环境中时,可以设想一些新的应用。例如,可以用纯电阻R1至R5替换阻抗Z1至Z5。将一个精密的温度与时间稳定的直流基准电压连接到输入端口,就可代替一个交流输入电压源。用理想运放对IC1和IC2进行简单电路分析表明,基准输入电压VREF出现在电阻R5上,如下式所示,R5上流过恒定电流IO。


图 2, 用电阻替换所有 GIC 阻抗,即构成一个恒流源。
但是,运放IC2的非反相输入会从R4和R5的连接处分流少量电流,因此IO也会流经R4。为R1、R2和R3选择较大的值有助于减少从基准电压吸取的电流。例如,电路可以为R4提供2mA至10 mA电流,而只从基准源吸取几十微安的电流。VREF和R5应使用高容错、低漂移的元件,以保证IO的稳定。它的应用包括为惠斯登电桥和铂传感器提供恒流驱动。另外,可以串联电阻性传感器代替R4,构成一个安德森(Anderson)回路。
