1 引 言
声参量阵(Parametric Array)是利用媒质的非线性效应,使用换能器(阵)沿同一方向传播两个高频初始波,获得差频、和频等声波的声发射装置。由于声吸收系数与频率的平方成正比,在声波的传播过程中,频率较高的超声波和频信号衰减很快,经过一段距离后,仅剩下频率较低的差频信号。与常规声纳相比,该差频信号具有如下特点:首先,差频波几乎没有旁瓣,避免了在浅海沉底或沉积物探测过程中由于边界不均匀性所带来的干扰和信号处理的复杂性。其次,与常规换能器相比较,差频波具有更好的指向性。例如,工作频率为2 kHz的线阵,要得到3°的波束宽度,线阵的长度大约为25 m,而得到同样波束宽度的参量阵换能器发射孔径仅需36 cm×36 cm(主频为100 kHz),这就有利于开发窄波束声源用于探测浅水域尺寸远远小于水柱深度的物体。第三,差频声波具有大于10 kHz的带宽,故可以采用先进的扩频检测算法。
目前,参量阵技术的研究与应用开发以成为声学技术领域的前沿课题之一。例如,以美国ATC公司为代表的一些企业,正在研发各种系列参量扬声器,实现了声音的定向传播。德国的INNOMAR公司利用罗斯托克大学水下声学研究小组的研究成果,生产出了SES-96和SES-2000系列的参量阵测深/浅地层剖面仪,是目前广泛应用的一种强有力的浅海水下探测仪器。在国内,中国科学院东海研究站早在1995年就为澳大利亚DSTO研制了一套单波束参量阵探雷仪器,1997年又研制了用于江河侦察的530参量阵声纳,近期又研制成功了参量阵“堤防隐患监测声呐”,可以对江河湖底和海底沉积层进行探测识别或对堤防损毁程度进行探测评估。国内的一些大学和声学研究机构也开展了利用空气参量阵来实现声波定向传播的应用研究,并取得了阶段性成果。
2 参量换能器" title="参量换能器">参量换能器的原理
2.1 参量阵的工作原理
声参量阵是利用介质的非线性特性,使用2个沿同一方向传播的高频初始波在远场中获得的差频及和频波的声发射装置。参量阵声纳在高压下同时向媒介发射2个频率相近的高频声波信号(f1,f2)作为主频,声波在介质中传播时由于介质的非线性效应而形成差频波,改变2个主频频率就可以控制差频波的频率,当换能器发射声波作用于媒介体时,在换能器的发射方向会产生一系二次频率,如f1,f2,(f1+f2),(f11-f2),2f1,2f2的声波信号,因f1、f2的频率非常接近,所以差频(f1-f2)的频率很低,具有很强的沉积层穿透力,可以用来探测海底浅部地层结构,而反射的主频声波信号则用于精确的水深测量。由于主频的频率高,换能器可以制作得很小。产生的差频声波信号强度比主频声波强度稍高,衰减较慢,传播达到1个衍射单位长度时,声强最大,然后逐渐衰减。差频声波信号与高频时的波束角非常接近,且没有旁瓣,因此波束指向性好,具有较高的分辨率,可控的差频声波信号可以承载更多的沉积层信息,以便于对埋入沉积层的目标进行分类识别。
与常规的换能器相比,参量换能器除了具有上述优点之外,也有比较明显的缺点:
(1)为了实现非线性声学效应,要求原波的声源级(SL)较高,当原波平均频率为40 kHz时,通常要求原波的声援级为238 dB。应当指出,如果换能器的发射功率太大,在水下应用时有可能出现空化现象。
(2)参量换能器的能量转换效率较低,一般很难超过1%。
2.2 参量换能器的系统设计
(1)换能器设计
换能器结构的正确选择,对于本参量换能器实验验证系统的设计是至关重要的。根据参量阵的发射原理,我们选择圆形压电陶瓷换能器来发射原波信号,并利用传声器进行回波接收。如图1所示。压电陶瓷换能器是当前水声领域中广泛使用的一类换能器,它具有电声转换效率高、灵敏度好、容易成形等特点。文献[4]中指出,如果原波频率太高,就会使频率下降比(即原波频率与差频波频率之比)增加,从而降低能量转换效率;反之,如果原波频率太低,则需要较大的换能器发射孔径,才能获得较好的声波指向性。因此,在参量换能器的设计应折衷考虑上述两个因素。在本实验中,选择了谐振频率为87 kHz,带宽为14 kHz的换能器。该换能器的尺寸规格为φ25 mm×1 mm。为了接收差频声波,选择频率范围为20~20 000 Hz的全指向性驻极体电容传声器作为回波信号接收器,其尺寸规格为φ9.7 mm×6.7 mm。

(2)参量换能器系统设计
参量换能器系统主要由PC机、超声波发射电路、声波接收电路、发射换能器、传声器和数据采集卡组成。本文拟建立如图2所示的参量换能器实验验证系统。其中超声换能器和传声器是用来实现超声波信号发射和声波信号接收的装置;超声波发射电路是用来产生一定频率的载波和调制信号,通过调制、放大后驱动换能器发射出超声波信号;声波接收电路是用来对回波信号进行放大、滤波等调理,以便送人数据采集卡,然后由计算机进行数据处理。

3 发射电路的设计
参量换能器的超声波发射电路,主要包括信号产生电路和功率放大电路。信号产生电路主要是用来产生超声波信号,功率放大电路主要是用来提高电路的发射功率从而驱动换能器发射出超声波信号。
3.1 信号产生电路
参量换能器采用正弦信号作为载波信号;调制信号可采用Ricker信号(由PC机产生)。正弦信号拟用LM741设计了一种RC桥式正弦波振荡电路,如图3所示。该电路采用电压串联负反馈,具有输入阻抗高、输出阻抗低的特点。图中,D1,D2为二极管元件,其作用是限制输出电压的摆幅不断增大,避免输出波形失真。
放大电路由电阻R1和R2,R3以及Rd的等效电阻Rf构成的负反馈组成,其中Rd为二极管的内阻。放大电路的放大倍数为:
![]()
选频网络由RC组成的串并联电路组成,其特征频率为:
![]()
根据试验需要,可以调整R,C的值,得到需要的振荡频率。
该选频网络的频率特性为:


根据以上各关系式以及电路的起振条件,可以确定放大电路反馈回路中R1和R2,R3的比值。

3.2 功率放大电路设计
功率放大电路采用PA141作为放大器,构成类似桥式的驱动电路,来驱动压电陶瓷换能器。具体电路如图4所示。
PAl41是“APEX”公司推出的8脚高压单片集成的MOSFET运算放大器,它具有工作电压高(350 V)、静态电流小、输出电流大(峰值120 mA)等优点。PAl41内部的输入保护电路避免了过高的共模、差模电压及静电泄放的影响,其安全工作区无二次击穿限制,因此只要选择合适的限流电阻就可驱动不同的负载,并可通过PAl41的外部可调补偿电路来选择合适的带宽和增益。使用该放大器不仅简化了电路设计,而且可提高系统的可靠性。
在图4中,运放A1,A2构成双重补给的桥式电路,其中A1的增益为20 dB,A2的输出与A1反相,从而构成差动式放大电路。若输入正弦信号的电压幅值为15 V,则施加在换能器两端的驱动电压的变化范围为±300 V。由于PAl41的输出电流较低,为了得到较高的输出功率,电路中接人两个功率MOS管,以提升输出电流,从而得到较高的输出功率来驱动换能器。
4 接收电路的设计
参量换能器的回波接收电路由前置放大电路、带通滤波电路和末级放大电路组成,如图5所示。
4.1 前置放大电路
前置放大电路采用具有低功耗、宽频带、高精度和高可靠性等优点的AD620仪用放大器,它是一种电阻可编程的放大器,其内部是由三运放组成的仪表放大器结构,内部的电阻经激光技术校准,整个放大器具有很高的精度和共模抑制比。AD620的增益是由电阻RG决定的,使用1%的精密电阻,它就能提供精确的增益G。该放大器只需要改变一个管脚1,8之间的电阻值,就可以在1~1 000之间调整增益,其增益公式为:
![]()
可根据实验需要,选择合适的RG来确定电路的增益。
4.2 带通滤波放大电路
带通滤波器是用高阻抗运算放大器(TL082)和RC阻容元件构成的放大器和有源带通滤波器。
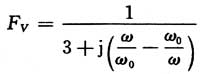
二阶有源带通滤波器的传递函数为:
![]()
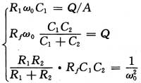
式中,ω0为带通滤波器的中心角频率,ω0=2πf0,(f0=8 kHz);Q为品质因素;A为滤波器的增益。若BW为带宽,则有Q=f0/BW,滤波器的参数满足如下关系:

当所需带宽为BW=4 kHz,增益A=5,C1=C2时,则将已知数值代入上式,计算得:若C1=C2=681 pF,则R1=11.7 kΩ,R2=19.5 kΩ,Rf=117 kΩ。

末级放大电路是由普通的反向运算放大器和电阻元件构成。通过调节电位器来改变放大器的增益,使接收电路的输出幅值满足数据采集电路板NI6024的输入要求。
5 供电电源" title="供电电源">供电电源设计
在设计的参量阵收发电路" title="收发电路">收发电路中需要土175 V,±15 V,±5 V等电源。对于高压电源的设计,实验中采用推挽式稳压电源功率转换电路,具体电路如图6所示。

高压电源设计中,由NE555组成的电路提供脉冲信号,SN75372集成芯片是双通道与非门TTL/MOS专用接口电路,其中管脚2是两个与非门公用的使能输入端(高电平有效),管脚1/7和管脚3/6分别是两个与非门的输入/输出端;管脚4是数字地;管脚8接5 V直流电源,管脚5接15 V直流电源。利用该接口电路,就可以直接用TTL电平来驱动MOSFET功率管。R4与R5构成分压电路,用来确定MOSFET功率管IRF520的栅源电压VGS,进而控制功率管导通时的漏极电流ID;RS是限流电阻,用于限制漏级电流ID的大小,它可以使功率管导通时的最大漏级电流IM基本恒定,避免功率管导通瞬间过大的电流冲击。该电路通过变压器输出后,将桥式整流电路变压器副边中点接地,再接上滤波电容,并且两个电容的中点接地,可以得到较高的正、负直流输出电压,满足实验中高压电源的需求。
另外,对于±15 V和±5 V电源,可以利用已有的24 V稳压电源,通过三端稳压集成电路模块78和79系列得到所需要的直流电压。
6 结 语
以上介绍了参量换能器的工作原理和收发电路的设计。对于实现参量阵差频信号的发射与接收,实际工作中还有两个需要注意的问题:
(1)实现声学参量阵,要求原波信号有较高的声源级,尤其在空气中由于非线性效应较弱,对声源级的要求也更高,这也增大发射器的功率。
(2)参量换能器的转换效率较低,一般很难超过1%。如何提高参量换能器的效率,仍是一个值得探索的研究课题。
下一步工作是在实验室中实现参量阵超声波的发射和声波的接收,并且在空气中和水下验证参量阵的性能指标,其中还要注意换能器在空气和水下的阻抗率匹配问题。
