设计一种压控电压源型二阶有源低通滤波电路,并利用Multisim10仿真软件对电路的频率特性、特征参量等进行了仿真分析,仿真结果与理论设计一致,为有源滤波器的电路设计提供了EDA手段和依据。
关键词 二阶有源低通滤波器;电路设计自动化;仿真分析;Multisim10
滤波器是一种使用信号通过而同时抑制无用频率信号的电子装置,在信息处理、数据传送和抑制干扰等自动控制、通信及其它电子系统中应用广泛。滤波一般可分为有源滤波和无源滤波,有源滤波可以使幅频特性比较陡峭,而无源滤波设计简单易行,但幅频特性不如有源滤波器,而且体积较大。从滤波器阶数可分为一阶和高阶,阶数越高,幅频特性越陡峭。高阶滤波器通常可由一阶和二阶滤波器级联而成。采
用集成运放构成的RC有源滤波器具有输入阻抗高,输出阻抗低,可提供一定增益,截止频率可调等特点。压控电压源型二阶低通滤波电路是有源滤波电路的重要一种,适合作为多级放大器的级联。本文根据实际要求设计一种压控电压源型二阶有源低通滤波电路,采用EDA仿真软件Multisim1O对压控电压源型二阶有源低通滤波电路进行仿真分析、调试,从而实现电路的优化设计。
1 设计分析
1.1 二阶有源滤波器的典型结构
二阶有源滤波器的典型结构如图1所示。其中,Y1~Y5为导纳,考虑到UP=UN,根据KCL可求得


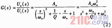
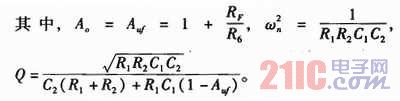
式(1)是二阶压控电压源滤波器传递函数的一般表达式,式中,Auf=1+Rf/R6。只要适当选择Yi,1≤i≤5,就可以构成低通、高通、带通等有源滤波器。
1.2 二阶有源低通滤波器特性分析
设Y1=1/R1,Y2=sC1,Y3=O,Y4=1/R2,Y5=sC2,将其代入式(1)中,得到压控电压源型二阶有源低通滤波器的传递函数为


式(2)为二阶低通滤波器传递函数的典型表达式。其中,ωn为特征角频率,Q称为等效品质因数。
2 二阶有源低通滤波器的设计
2.1 设计要求
设计一个压控电压源型二阶有源低通滤波电路,要求通带截止频率
fo=100 kHz,等效品质因数Q=1,试确定电路中有关元件的参数值。
2.2 选择运放
设计要求的截止频率较高,因此要求运放的频带较宽,选用通频带较宽的运放,本例选用运放3554AM,带宽为19 MHz,适合用于波形发生电路、脉冲放大电路等。输出电流,达到100 mA,精度高,满足设计要求。
2.3 电路设计
为设计方便选取R1=R2=R,C1=C2=C,则通带截止频率为可首先选定电容C=1 000 pF,计算得R≈1.59 kΩ,选R=1.6 kΩ。
等效品质因数,则RF=R6。为使集成运放两个输入端对地的电阻平衡,应使R6//RF=2R=3.2kΩ,则R6=RF=6.4 kΩ,选R6=RF=6.2 kΩ。
2.4 理论计算
根据实际选择的元件参数重新计算滤波电路的特征参量。
式(2)中,令s=jω,得到二阶低通滤波电路的频率特性为

通带截止频率fo与3 dB截止频率fc计算如下

实际设计的二阶有源低通滤波电路,如图2所示。

3 Multisim分析
3.1 用虚拟示波器观察输入输出波形
Multisim环境下,创建如图3所示的二阶有源低通滤波器的仿真电路,启动仿真按钮,用虚拟示波器测得的输入输出波形,如图4所示。可以看出,输出信号的频率与输入信号一致,输出信号与输入信号同频不同相,说明二阶低通滤波电路不会改变信号的频率。从图4中可以看出,当输入信号的频率较大(例如200 kHz)时,输出信号的幅值明显小于输入信号的幅值,而低频情况下的电压放大倍数Auf=2。显然,当输入信号的频率较大时,电路的放大作用已不理想。


调节输入信号V3的频率,使之分别为126 kHz,100 kHz,2 kHz。由虚拟示波器得到,当输入信号的频率为2 kHz时,输入输出信号同频同相,且输入信号的幅值约为1 V,输出信号的幅值约为2 V,即Auf=2,与理论计算相吻合。而输入信号的频率为100 kHz时,Auf≈2。当输入信号的频率为126 kHz时,输入信号的幅值约为998 mV,输出信号的幅值约为1.369 V,此时,说明3 dB截止频率fc接近126 kHz。也可以用瞬态分析法观察输入输出波形。
3.2 测试幅/相特性等特征参量
3.2.1 用波特图示仪测试频率特性
在图3所示的电路中,可以用波特图示仪观察电路的幅/相特性。从仿真得到的幅频特性曲线中可以看到,通带的对数坐标为6.02 dB,对应的电压放大倍数Auf=2,且输入输出同频同相。对数坐标减去3 dB即是对应的3 dB
设计一种压控电压源型二阶有源低通滤波电路,并利用Multisim10仿真软件对电路的频率特性、特征参量等进行了仿真分析,仿真结果与理论设计一致,为有源滤波器的电路设计提供了EDA手段和依据。
关键词 二阶有源低通滤波器;电路设计自动化;仿真分析;Multisim10
滤波器是一种使用信号通过而同时抑制无用频率信号的电子装置,在信息处理、数据传送和抑制干扰等自动控制、通信及其它电子系统中应用广泛。滤波一般可分为有源滤波和无源滤波,有源滤波可以使幅频特性比较陡峭,而无源滤波设计简单易行,但幅频特性不如有源滤波器,而且体积较大。从滤波器阶数可分为一阶和高阶,阶数越高,幅频特性越陡峭。高阶滤波器通常可由一阶和二阶滤波器级联而成。采
用集成运放构成的RC有源滤波器具有输入阻抗高,输出阻抗低,可提供一定增益,截止频率可调等特点。压控电压源型二阶低通滤波电路是有源滤波电路的重要一种,适合作为多级放大器的级联。本文根据实际要求设计一种压控电压源型二阶有源低通滤波电路,采用EDA仿真软件Multisim1O对压控电压源型二阶有源低通滤波电路进行仿真分析、调试,从而实现电路的优化设计。
1 设计分析
1.1 二阶有源滤波器的典型结构
二阶有源滤波器的典型结构如图1所示。其中,Y1~Y5为导纳,考虑到UP=UN,根据KCL可求得


式(1)是二阶压控电压源滤波器传递函数的一般表达式,式中,Auf=1+Rf/R6。只要适当选择Yi,1≤i≤5,就可以构成低通、高通、带通等有源滤波器。
1.2 二阶有源低通滤波器特性分析
设Y1=1/R1,Y2=sC1,Y3=O,Y4=1/R2,Y5=sC2,将其代入式(1)中,得到压控电压源型二阶有源低通滤波器的传递函数为


式(2)为二阶低通滤波器传递函数的典型表达式。其中,ωn为特征角频率,Q称为等效品质因数。
2 二阶有源低通滤波器的设计
2.1 设计要求
设计一个压控电压源型二阶有源低通滤波电路,要求通带截止频率
fo=100 kHz,等效品质因数Q=1,试确定电路中有关元件的参数值。
2.2 选择运放
设计要求的截止频率较高,因此要求运放的频带较宽,选用通频带较宽的运放,本例选用运放3554AM,带宽为19 MHz,适合用于波形发生电路、脉冲放大电路等。输出电流,达到100 mA,精度高,满足设计要求。
2.3 电路设计
为设计方便选取R1=R2=R,C1=C2=C,则通带截止频率为可首先选定电容C=1 000 pF,计算得R≈1.59 kΩ,选R=1.6 kΩ。
等效品质因数,则RF=R6。为使集成运放两个输入端对地的电阻平衡,应使R6//RF=2R=3.2kΩ,则R6=RF=6.4 kΩ,选R6=RF=6.2 kΩ。
2.4 理论计算
根据实际选择的元件参数重新计算滤波电路的特征参量。
式(2)中,令s=jω,得到二阶低通滤波电路的频率特性为

通带截止频率fo与3 dB截止频率fc计算如下

实际设计的二阶有源低通滤波电路,如图2所示。

3 Multisim分析
3.1 用虚拟示波器观察输入输出波形
Multisim环境下,创建如图3所示的二阶有源低通滤波器的仿真电路,启动仿真按钮,用虚拟示波器测得的输入输出波形,如图4所示。可以看出,输出信号的频率与输入信号一致,输出信号与输入信号同频不同相,说明二阶低通滤波电路不会改变信号的频率。从图4中可以看出,当输入信号的频率较大(例如200 kHz)时,输出信号的幅值明显小于输入信号的幅值,而低频情况下的电压放大倍数Auf=2。显然,当输入信号的频率较大时,电路的放大作用已不理想。


调节输入信号V3的频率,使之分别为126 kHz,100 kHz,2 kHz。由虚拟示波器得到,当输入信号的频率为2 kHz时,输入输出信号同频同相,且输入信号的幅值约为1 V,输出信号的幅值约为2 V,即Auf=2,与理论计算相吻合。而输入信号的频率为100 kHz时,Auf≈2。当输入信号的频率为126 kHz时,输入信号的幅值约为998 mV,输出信号的幅值约为1.369 V,此时,说明3 dB截止频率fc接近126 kHz。也可以用瞬态分析法观察输入输出波形。
3.2 测试幅/相特性等特征参量
3.2.1 用波特图示仪测试频率特性
在图3所示的电路中,可以用波特图示仪观察电路的幅/相特性。从仿真得到的幅频特性曲线中可以看到,通带的对数坐标为6.02 dB,对应的电压放大倍数Auf=2,且输入输出同频同相。对数坐标减去3 dB即是对应的3 dB止频率,移动读数指针可看出3 dB截止频率约在126 kHz附近,与理论计算很接近。
3.2.2 用交流分析法测试频率特性
另外,还可启用交流分析法测试电路的幅/相特性。选择Simulate/Analyses/AC Analysis命令。在出现的对话框中进行如下设置:起始频率1Hz,终止频率100MHz,扫描类型选择十进制,纵坐标选dB为刻度,在“Output”选项卡中输出节点选V(6),单击“Simulation”,仿真结果如图5所示。测得的通带电压放大倍数、3 dB截止频率也与理论分析相一致。

3.2.3 用参数扫描分析法测试斯率特性
在图3所示电路中,改变电阻R6,RF的值,从而改变Q值,观察频率特性变化。由理论分析结果可知,改变放大倍数,即可改变Q值。利用Multisim的参数扫描分析功能,即可得到不同条件下的频率特性。
在主菜单栏中,选择Simulate/Analyses/ParameterSweep——命令,在出现的对话框中进行如下设置:器件类型选择电阻,器件名称选择电阻RF,分别取RF=0 Ω,6 200 Ω,ll 780 Ω“More Options”选项中,扫描类型选AC Analysis,再选择节点V(6)为输出节点,点击Simulate进行仿真,得到RF取3个不同阻值时电路的幅/相特性曲线,如图6所示。

从图6中可以看出,3条曲线从下至上对应的电阻RF分别为0 Ω,6200 Ω,11780 Ω幅频特性纵坐标对应的对数坐标分别-8.4 dB,2.88 dB,12.89 dB对应的3 dB截止频率约为127 kHz。可见,RF越大,Auf越大,Q越大,幅频特性曲线越尖锐。在同样的设计截止频率下,Q值的不同对实际截止频率有较大的影响。同理可以分析电阻R6对幅频特性的影响。
采用类似的方法,还可以分析电容C1,C2,电阻R1,R2对通频带的影响。分析结果如下:C1,C2,R1,R2的变小均会引起电路截止频率的增大和通频带的变宽,而C1,C2,R1,R2的变化对电压增益的影响不大。R6与输出电压幅度成反比,RF与输出电压幅度成正比,但R6,RF的变化不影响电路的频率特性。
4 结束语
分析结果表明,Multisim中的仿真分析结果与理论计算十分接近。Multisim既是一个非常优秀的电子技术教学工具,又是一个专门用于电子电路设计与仿真的软件。将Multisim应用于电路设计不仅可以简化设计过程、提高设计效率,而且可以优化设计方案、节约设计成本,是现代化设计的趋势。
