图1是由运放和阻容等元件组成的V/I变换电路,能将0—5V的直流电压信号线性地转换成0-10mA的电流信号,A1是比较器.A3是电压跟随器,构成负反馈回路,输入电压Vi与反馈电压Vf比较,在比较器A1的输出端得到输出电压VL,V1控制运放A1的输出电压V2,从而改变晶体管T1的输出电流IL而输出电流IL又影响反馈电压Vf,达到跟踪输入电压Vi的目的。输出电流IL的大小可通过下式计算:IL=Vf/(Rw+R7),由于负反馈的作用使Vi=Vf,因此IL=Vi/(Rw+R7),当Rw+R7取值为500Ω时,可实现0-5V/0-10mA的V/I转换,如果所选用器件的性能参数比较稳定,运故A1、A2的放大倍数较大,那么这种电路的转换精度,一般能够达到较高的要求。

2、 0-10V/0-10mA的V/I变换电路
图2中Vf是输出电流IL流过电阻Rf产生的反馈电压,即V1与V2两点之间的电压差,此信号经电阻R3、R4加到运放A1的两个输入端Vp与Vn,反馈电压Vf=V1-V2,对于运放A1,有VN=Vp;Vp=V1/(R2+R3)×R2,VN=V2+(Vi-V2)×R4/(R1+R4),所以V1/(R2+R3)×R2=V2+(Vi-V2)×R4/(R1+R4),依据Vf=V1-V2及上式可推导出:

若式中R1=R2=100kΩ,R1=R4=20kΩ,则有:Vf×R1=Vi×R4,
得出:Vf=R4/R1×Vi=1/5Vi,如果忽略流过反馈回路R3、R4的电流,则有:IL=Vf/Rf=Vi/5Rf,由此可以看出.当运放的开环增益足够大时,输出电流IL与输入电压Vi满足线性关系,而且关系式中只与反馈电阻Rf的阻值有关.显然,当Rf=200Ω时,此电路能实现0-10v/0-10mA的V/I变换。

3、 1-5V/4-20mA的V/I变换电路
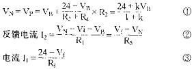
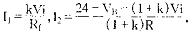
在图3中.输入电压Vi是叠加在基准电压VB(VB=10V)上,从运放A1的反向输入VN端输入的,晶体管T1、T2组成复合管,作为射极跟踪器,起到降低T1基极电流的作用(即忽略反馈电流I2),使得IL≈I1,而运放A1满足VN≈Vp,如果电路图中R1=R2=R,R4=R5=kR,则有如下表达式:

由式①②③可推出:

若Rf=62.5Ω,k=0.25,Vi=1-5V,则I1=4-20mA,而实际变换电流IL比I1小,相差I2(IL=I1-I2),I2是一个随输入电压Vi变化的变量,输入电压最小时(Vi=1V),误差最大,在实际应用中,为了使误差降到最小,一般R1,R2,Rf的阻值分别选取40.25kΩ,40kΩ,62.5Ω。

4、 0-10mA/0-5V的I/V变换电路
在实际应用中,对于不存在共模干扰的电流输入信号,可以直接利用一个精密的线绕电阻,实现电流/电压的变换,如图4,若精密电阻R1+Rw=500Ω,可实现0-10mA/0-5V的I/V变换,若精密电阻R1+Rw=250Ω,可实现4-20mA/1-5V的I/V变换。图中R,C组成低通滤波器,抑制高频干扰,Rw用于调整输出的电压范围,电流输入端加一稳压二极管。

对于存在共模干扰的电流输入信号,可采用隔离变压器耦合方式,实现0-10mA/0-5V的I/V变换,一般变压器输出端的负载能力较低,在实际应用中还应在输出端接一个电压跟随器作为缓冲器,以提高驱动能力。
1、 0-5V/0-10mA的V/I变换电路
图1是由运放和阻容等元件组成的V/I变换电路,能将0—5V的直流电压信号线性地转换成0-10mA的电流信号,A1是比较器.A3是电压跟随器,构成负反馈回路,输入电压Vi与反馈电压Vf比较,在比较器A1的输出端得到输出电压VL,V1控制运放A1的输出电压V2,从而改变晶体管T1的输出电流IL而输出电流IL又影响反馈电压Vf,达到跟踪输入电压Vi的目的。输出电流IL的大小可通过下式计算:IL=Vf/(Rw+R7),由于负反馈的作用使Vi=Vf,因此IL=Vi/(Rw+R7),当Rw+R7取值为500Ω时,可实现0-5V/0-10mA的V/I转换,如果所选用器件的性能参数比较稳定,运故A1、A2的放大倍数较大,那么这种电路的转换精度,一般能够达到较高的要求。

2、 0-10V/0-10mA的V/I变换电路
图2中Vf是输出电流IL流过电阻Rf产生的反馈电压,即V1与V2两点之间的电压差,此信号经电阻R3、R4加到运放A1的两个输入端Vp与Vn,反馈电压Vf=V1-V2,对于运放A1,有VN=Vp;Vp=V1/(R2+R3)×R2,VN=V2+(Vi-V2)×R4/(R1+R4),所以V1/(R2+R3)×R2=V2+(Vi-V2)×R4/(R1+R4),依据Vf=V1-V2及上式可推导出:

若式中R1=R2=100kΩ,R1=R4=20kΩ,则有:Vf×R1=Vi×R4,
得出:Vf=R4/R1×Vi=1/5Vi,如果忽略流过反馈回路R3、R4的电流,则有:IL=Vf/Rf=Vi/5Rf,由此可以看出.当运放的开环增益足够大时,输出电流IL与输入电压Vi满足线性关系,而且关系式中只与反馈电阻Rf的阻值有关.显然,当Rf=200Ω时,此电路能实现0-10v/0-10mA的V/I变换。

3、 1-5V/4-20mA的V/I变换电路
在图3中.输入电压Vi是叠加在基准电压VB(VB=10V)上,从运放A1的反向输入VN端输入的,晶体管T1、T2组成复合管,作为射极跟踪器,起到降低T1基极电流的作用(即忽略反馈电流I2),使得IL≈I1,而运放A1满足VN≈Vp,如果电路图中R1=R2=R,R4=R5=kR,则有如下表达式:

由式①②③可推出:

若Rf=62.5Ω,k=0.25,Vi=1-5V,则I1=4-20mA,而实际变换电流IL比I1小,相差I2(IL=I1-I2),I2是一个随输入电压Vi变化的变量,输入电压最小时(Vi=1V),误差最大,在实际应用中,为了使误差降到最小,一般R1,R2,Rf的阻值分别选取40.25kΩ,40kΩ,62.5Ω。

4、 0-10mA/0-5V的I/V变换电路
在实际应用中,对于不存在共模干扰的电流输入信号,可以直接利用一个精密的线绕电阻,实现电流/电压的变换,如图4,若精密电阻R1+Rw=500Ω,可实现0-10mA/0-5V的I/V变换,若精密电阻R1+Rw=250Ω,可实现4-20mA/1-5V的I/V变换。图中R,C组成低通滤波器,抑制高频干扰,Rw用于调整输出的电压范围,电流输入端加一稳压二极管。

对于存在共模干扰的电流输入信号,可采用隔离变压器耦合方式,实现0-10mA/0-5V的I/V变换,一般变压器输出端的负载能力较低,在实际应用中还应在输出端接一个电压跟随器作为缓冲器,以提高驱动能力。
5、 由运放组成的0-10mA/0-5V的I/V变换电路
在图5中,运放A1的放大倍数为A=(R1+Rf)/R1,若R1=100kΩ,Rf=150kΩ,则A=2.5;若R4=200Ω,对于0-10mA的电流输入信号,将在R4上产生0-2V的电压信号,由A=2.5可知,0-10mA的输入电流对应0-5V的输出电压信号。

图中电流输入信号Ii是从运放A1的同相输入端输入的,因此要求选用具有较高共模抑制比的运算放大器,例如,OP-07、OP-27等。
6、 4-20mA/0-5V的I/V变换电路
经对图6电路分析,可知流过反馈电阻Rf的电流为(Vo-VN)/Rf与VN/R1+(VN-Vf)/R5相等,由此,可推出输出电压Vo的表达式:
Vo=(1+Rf/R1+Rf/R5)×VN-(R4/R5)×Vf。由于VN≈Vp=Ii×R4,上式中的VN即可用Ii×R4替换,若R4=200Ω,R1=18kΩ,Rf=7.14kΩ,R5=43kΩ,并调整Vf≈7.53V,输出电压Vo的表达式可写成如下的形式:

当输入4-20mA电流信号时,对应输出0-5V的电压信号。

