1 概述
利用 现 代 电力电子技术,控制功率变换装置中功率开关晶体管导通和关断的时间比率,实现输入和输出形态转变的电路模式都称为开关型变换器电路。DC-DC变换器是开关电源的核心组成部份,常用的正激式和反激式电路拓朴。因为结构简单、输入和输出电气隔离、使用元器件较少等优点,在中小功率电源中广泛应用。正激式变换器与反激式相比,变压器铜损较低,副边纹波电压和电流的衰减显著,因此,更适用在低压,大电流的场合下应用。常规 正 激 式变换器的功率处理电路只有一级,存在MOSFET功率开关电压应力大,特别是当二次侧采用自偏置同步整流方式,输入电压变化范围较宽,如输入电压为75V时,存在栅极偏置电压过高,甚至有可能因栅压太高而损坏同步整流MOSFET的危险。而且当输出电流较大时,输出电感上的损耗将大大增加,严重地影响了效率的提升。使用交叉级联正激式同步整流变换电路,不但输出滤波电感线圈可省去,实现高效率、高可靠DC-DC变换器,达到最佳同步整流效果。
2 基本技术
2.1交叉级联正激变换原理
交叉 级 联 变换的拓朴如图1所示,前级用于稳压,后级用于隔离的两级交叉级联的正激变换器组成的同步降压变换器。为了实现宽输入电压范围及隔离级恒定的电压输入,前后两级正激变换都应在最佳的目标下工作,从而确保由它所组成的高效率同步降压变换器能接收整个35-75V通信用输入电压范围,并将它变换为严格调整的中间25V总线电压。实际 中 间 总线电压由隔离级的需要预置,取决于隔离级的变比。中间电压较高时,可以采用较小的降压电感值和较低的电感电流,因而损耗也少。整个降压级的占空比保持在30^'60%,可协助平衡前后两级正激变换的损耗。为使性能最佳,并使开关损耗降至最小,开关频率的典型值为240k-300kHz;由于使用低通态电阻(RDS(on))的MOSFET,导通损耗比较小。传统的单级变换器主开关必需使用至少200V以上的MOSFET,其RDS(on)等参数显著增加,必然意味着损耗增加,效率下降。交叉级联正激变换拓扑的简化原理图如图2所示。
2.2同步整流技术
众所 周 知 ,普通二极管的正向压降为1V,肖特基二极管的正向压降为0.5V,采用普通二极管和肖特基二极管作整流元件,大电流情况下,整流元件自身的功耗非常可观。相比之下,如果采用功率MOSFET作整流元件,则当MOSFET的栅源极施加的驱动电压超过其闽值电压,MOSFET即进入导通状态,无论从漏极到源极或从源极到漏极,均可传导电流。导通电流在MOSFET上产生的压降仅与MOSFET的沟道电阻成比例关系,n个MOSFET并联时,压降可降为单个MOSFET的1/ n。因此,理论上由整流元件压降产生的损耗可人为的降到最小。同步整流(SynchronousRectify,缩写为SR)正是利用MOSFET等有源器件的这种特性进行整流的一项技术。
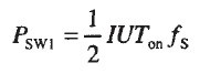
采用 功 率 MOSFET实施SR的主要损耗为:
导通损耗:
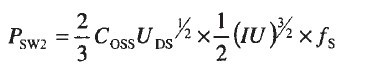
关断损耗:
驱动损耗:
式中 I 为 正向电流有效值,RDS(on)为通态电阻,fS为开关频率,CGSS为输入电容,Coss为输出电容,D为占空比。可见 , 正 向导通损耗与RDS(on)成正比。不同VDS的MOSFET, RDS(on)往往可相差几个数量级,所以相同电路拓扑中采用100V MOSFET的损耗比采用200VMOSFET明显要低。考虑到低VDS的MOSFET比高VDS MOSFET的Coss要小,据关断损耗式,表明低VDSMOSFET的关断损耗也小。驱动损耗式为开关过程中输入电容充放电引起的损耗,该损耗与栅一源驱动电压的平方成正比。由于采用了两级变换器,对隔离级来说,因稳压级己经将较宽的输入电压稳在固定的中间总线电压上,变压器的变比可以达到最佳。
MOSFET的正向通态电阻RDS(on)以及输入电容是固定的,驱动损耗只与驱动电压的平方成正比关系。总之,采用两级变换器可使正向导通损耗,驱动损耗等减到最小程度。此外 , 交 叉级联正激变换电路拓扑中,输出级同步整流MOSFET所需电压仅为输出电压的两倍,再加上1.2倍的保险系数,器件的耐压只是输出电压的2.4倍,远小于传统单级变换器解决方案需要达到输出电压4-10倍的要求。这样采用交叉级联正激变换电路拓扑的两级变换器,便可使用低压、低RDS(on,的MOSFET来实现极低的输出级导通损耗。两级变换器还采用了并联MOSFET的输出,得到更低的RDS(on)以及更低的损耗。在系统整体设计的时候,只要元件热分布合理,装置的使用寿命和可靠性必将有极大提高。
2.3电流前馈技术
由图 2可 见,交叉级联正激变换电路拓扑的二次侧没有输出滤波电感线圈,单级式变换器则必须有输出滤波电感线圈。单级变换器设计时必须兼顾输出滤波电感中电流的断续模式(DCM)和连续模式(CCM),电感值的选定不但理论计算复杂,而且需要实验校验。交叉级联正激变换电路拓扑中的隔离级采用电流前馈技术,输出滤波电感不需要流过全部输出电流。特别是对低压大电流输出而言,输出级不会因输出电流的增加而发生难以预料的变化,这是该电路拓朴的主要优点。因此,当系统设计需按比例变化,特别是按输出电压及输出电流变化时由于输出电流的变化在一次侧隔离级的输入电流中已有反映,亦即所谓电流前馈,这样滤波电感线圈的损耗大大降低,从而也提高了变换器的效率。
3 设计实例和实验结果
应用 上 述 设计思路,我们设计了一台用于通信设备的DC -DC半砖电源。具体技术指标如下:输入 电压 DC3 5-75V:输出电压DC3 .3V/30A;输出功率100W;效率92% (TYPICA );电压调整率士0.1%;负载调整率士0.1%;隔离电压1 500V,,5;保护要求是过压、过流、过温等。
图 3所 示 为采用交叉级联正激变换电路设计的通信设备专用DC-DC半砖电源原理图。工作原理如下,R,, R2. D,, Q,, D:和C:组成自举启动电路,得到启动电压Vc分别给ICI,I C2和IC3供电。电路启动后,T,的辅助绕组经D3整流,C3平滑滤波后为IC提供电压VD,因VD电压高于Vc,二极管D2反偏,Q、的供电关闭,达到启动电路无功耗的目的。IC:的脚6输出方波信号,一路直接送到ICl的脚5,另一路经Q2倒相后送到IC:的脚6作为IC,的输入信号。IC,的脚3和脚8输出相位相差180“的方波脉冲信号,分别驱动MOSFETQ 31 Q 4- Q3" Q 4" L 2等组成高效率的同步降压级,降压级的占空比保持在30-60%. IC3.Qs"Q6"T.等组成交叉级联正激式隔离级,达到DC-DC
最终的输出电压。马、DS为变压器T,的磁复位绕组。由于降压级已将变化范围较宽的输入电压严密调整为中间总线电压,因此隔离级不需调压。交叉级联正激变换器都工作在50%的占空比,可以采用VDS为100V的MOSFET. Q7, Q:等组成自偏置式同步整流电路,
因隔离级的输出电压是固定的,所以同步整流MOSFET漏极的输入电压也是固定的,占空比也为50%,可以使用VDS很低的MOSFET(本例中采用的是VDS为12V的MOSFET,损耗最低)因功耗引起的发热问题均可以方便解决。因输入电压固定,多出电压时,能够方便地实现高电压调整率和高负载调整率,单级变换器很难做到此点。其他电路功能(如过流、过压、过温度保护等)不再一一阐述。经测量该电路的工作效率约在92%左右,达到预定的设计要求,并且调试较简单,为今后的批量生产奠定了基础。
4 结束语
交叉 级 联 正激式变换器,电路组成稍微复杂,但能平坦分配各级损耗达到整体功耗最小,从而可在更高的环境温度下工作。较低的功耗,意味着更高的效率;工作环境温度高,意味着散热处理能力强和输出电流大。而可用输出电流成本的降低,预示着系统长期可靠性会更好。我们的实践表明交叉级联正激式同步整流拓朴确实是一种非常有前景的功率变换结构。各项指标优于相同的单级变换器。






