在自动控制系统" title="自动控制系统">自动控制系统中,往往需将一些变化缓慢的物理量(如温度、转速的变化)转换为相应的电信号,并通过直流放大器进行放大处理。直接耦合放大电路虽能放大交、直流信号,但电源电压的波动,晶体管参数随温度变化等因素会导致电路出现“零点漂移”。差动放大电路" title="差动放大电路">差动放大电路是一种利用电路结构参数的对称性有效抑制“零点漂移”的直流放大器,它对差模信号具有放大能力,而对共模信号具有抑制作用。典型差动放大电路由2个参数完全一致的单管共发射极电路" title="单管共发射极电路">单管共发射极电路组成。
Multisim" title="Multisim">Multisim 10是美国国家仪器公司(NI公司)推出的功能强大的电子电路仿真设计软件,具有丰富的新型元器件及虚拟仪器、强大的Spice仿真、数据可视化及分析测试功能,可对模拟、数字、自动控制、射频、单片机等各种电路进行原理图设计、仿真分析及功能测试。Multis-im 10提供了一个强大的原理图捕获和交互式仿真平台,电路的设计调试、元器件及测试仪器的调用、各种分析方法的使用直观方便,测试参数精确可靠,是应用广泛的优秀EDA系统。本文以典型差动放大电路为例,主要探讨Multisim 10的多种分析方法在电子电路仿真设计中的应用。
1 电路设计
在Multisim 10中建立了如图1所示的典型差动放大电路。T1,T2均为NPN晶体管(2N2222A),电流放大系数β设置为80。拨动开关J1,J2可选择在差动放大电路的输入端加入直流或交流信号。数字万用表用于测量直流输出电压,示波器用于观测交流输入/输出电压波形,测量探针用于仿真时实时显示待测支路的电压和电流。

实际电路中T1,T2宜选用差分对管,晶体管的静态电流ICQ不宜超过1 mA。由ICQ可选取两管共用的发射极电阻Re,且Re不影响差模电压放大倍数,仅对共模信号有较强的负反馈作用,因此可以有效地抑制“零点漂移”,稳定静态工作点。由于两个放大器的参数不可能完全一致,因此通过电位器Rp对电路进行调零。
基极电阻Rb1,Rb2应根据差模输入电阻的要求选定。选取集电极电阻Rc1、Rc2时应使静态工作点靠近负载线的中点。根据输入端和输出端接“地”情况的不同,差动放大电路有以下4种不同接法:双端输入双端输出、双端输入单端输出、单端输入双端输出、单端输入单端输出。
2 静态工作点分析
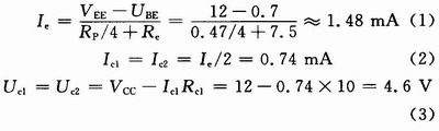
图1差动放大电路静态时因输入端不加信号,T1,T2的基极电位近似为零,因此电位器Rp两端的电位均为-UBE(对于硅管约为-0.7 V),如电位器Rp的滑动端处于中点位置,计算静态工作点为:

Multisim 10中直流工作点分析方法是对电路进行进一步分析的基础,主要用来计算电路的静态工作点,此时电路中的交流电源将被置为零,电感短路,电容开路。进行静态工作点分析时需将电路的节点编号显示在电路图上(见图1),并需要选择待分析的节点编号。依次执行Simulate/Analyses/DC Operating Point(直流工作点)分析命令,设置图1中1,2,u01,u02,Iprobe2,Iprobe3为输出节点(变量),得到图2所示的静态工作点分析结果:Ie=1.48 mA,Ic1=Ic2=0.732 mA,Uc1=Uc2=4.68 V,所测参数与式(1)~式(3)分析结果基本一致。

3 参数扫描分析
参数扫描分析用来研究电路中某个元件的参数在一定范围内变化时对电路性能的影响。选择图1 中电阻Re为参数扫描分析元件,分析其阻值变化对电路输出波形的影响。图1差动放大电路设置为交流信号输入方式,设置正弦波输入信号频率为1 kHz、幅值为150 mV,依次执行Simulate/Analyses/Parametet Sweep(参数扫描)命令,设置扫描方式为Linear(线性扫描),设置电阻Re扫描起始值为5 kΩ,扫描终值为7.5 kΩ,扫描点数为3,设置输出节点为u01,得到如图3(a)所示参数扫描分析结果。当Re=5 kΩ时,由于T1管的静态工作点偏高,其输出电压u01产生了饱和失真。可见,Re阻值的变化影响差动放大电路的静态工作点。

4 温度扫描分析
温度扫描分析用来研究温度变化对电路性能的影响,相当于在不同的工作温度下进行多次仿真。
图 1差动放大电路设置为交流信号输入方式,设置正弦波输入信号频率为1 kHz、幅值为10 mV,依次执行Simulate/Analyses/Tempera-ture Sweep(温度扫描)命令,设置扫描方式为List(取列表值扫描),设置扫描温度为0℃,27℃,120℃,设置输出节点为u01得到如图3(b)所示温度扫描分析结果。随着温度的升高,T1管的输出电压幅值变小。可见,故温度变化会影响单管放大电路的静态工作点。
由于温度的变化与T1,T2参数的变化相同,集电极静态电流、电位的变化也相等,故输出电压u0的变化为零,可将温度变化等效为共模信号,因此差动放大电路对温度变化产生的“零点漂移”具有抑制作用。
5 动态参数分析
图1电路的差模电压放大倍数Aud与单管共射电路相同,且Aud由输出方式决定,而与输入方式无关。
计算双端输出差模放大倍数为:

5.1 传递函数分析
依据传递函数分析可计算电路中输入源与两个节点的输出电压或一个电流输出变量之间的直流小信号传递函数,同样可以用于计算输入和输出的阻抗。
将图1电路分别设置为直流差模、直流共模信号输入方式,依次执行Simulate/Analyses/Transfer Function Analysis(传递函数分析)命令,设置V3为输入电压源,设置输出节点为u01,分别得到如图4(a),4(b)所示传递函数分析结果。由图4测得 Aud1=-12.4,Auc1=-0.64,所测参数与式(5)、式(6)分析结果基本一致。

5.2 直流信号测试
拨动开关J1,J2,在图1电路中两输入端加入直流差模信号 ui1=+0.1V,ui2=-0.1V,通过数字万用表测得uo1=2.246V,uo2=7.115V。计算Aud= (2.246-7.115)/0.2=-24.345,Aud1=(2.246-4.68)/0.2=-12.17,Aud2= (7.115-4.68)/0.2=12.175。在图1电路中两输入端加入直流共模信号ui1=ui2=0.1 V,通过数字万用表测得uo1=uo2=4.616 V。计算Auc1=Auc2=(4.616-4.68)/0.1=-0.64,Auc为零。直流信号测试参数与式(4)~式(6)分析结果基本一致。
5.3 交流信号测试
5.3.1 单端输出
在图1电路中两输入端分别加入交流差模信号(函数信号发生器的输出端接ui1、地端接ui2,构成单端输入方式)及交流共模信号(函数信号发生器的输出端同时接ui1,ui2),设置正弦波输入信号频率为1 kHz、幅值为10 mV。
通过示波器观测差模、共模信号输入波形和单端输出波形如图5所示。由示波器测得:差模单端输出电压的幅值约为119mV,Aud2=11.9;共模单端输出电压的幅值约为6.4 mV,Auc1=-0.64。单端输出测试参数与式(5)、式(6)分析结果基本一致。

5.3.2 双端输出
由于Multisim 10提供的示波器不能直接测量uo两端的电压波形,因此需通过后处理器对双端输出电压进行观测。在进行后处理之前需要对电路进行瞬态分析,然后将瞬态分析结果进行后处理。瞬态分析是一种非线性电路分析方法,可用来分析电路中某一节点的时域响应。在进行瞬态分析时,Multisim 10会根据给定的时间范围,选择合理的时间步长,计算所选节点在每个时间点的输出电压,通常以节点电压波形作为瞬态分析的结果。图1电路设置为交流差模信号输入方式,设置正弦波输入信号频率为1 kHz、幅值为10 mV,依次执行Simulate/An-alyses/Transient Analysis(瞬态分析)命令,选择图1电路中节点uo1,uo2的电压作为输出变量,得到如图6所示的瞬态分析结果。可见,uo1,uo2大小相等、相位相反。后处理器(Postprocessor)是专门对仿真结果进行进一步计算处理的工具,不仅能对仿真得到的数据进行各种运算,还能对多个曲线或数据之间进行数学运算处理,并将结果绘制到曲线图或图表中,绘制的结果表现为“轨迹线”的形式。
依次执行 Simulate/Postprocessor(后处理器)命令,选择对图6瞬态分析结果中两个节点(uo1,uo2)输出电压进行减法运算,得到的差模信号双端输出电压uo波形如图7所示。由图7可测得uo的幅值约为242 mV,计算Aud=-24.2,双端输出测试参数与式(4)分析结果基本一致。图1电路设置为交流共模信号输入方式,通过瞬态分析和后处理器测得共模信号双端输出电压uo幅值仅为0.062μV,Auc=6.2×10-6。可见,差动放大电路对共模信号具有很好的抑制作用。

6 结语
Multisim 10具有强大的电路设计和仿真分析功能,以典型差动放大电路为例,利用直流工作点分析和传递函数分析对电路的静态工作点、差模及共模电压放大倍数的仿真数据和真实值进行比较,利用参数扫描及温度扫描分析了电路参数变化对输出波形的影响,利用瞬态分析、后处理器分析对实际应用中难以观测的双端输出电压波形进行了测试,电路各项参数指标均与真实值相符,提高了电路的设计和分析效率。研究表明,利用Multisim 10进行电子电路计算机仿真设计,不仅速度快,效率高,参数测试精确可靠,而且可广泛应用于电气控制、电子信息、通信工程、自动化等各种电路设计领域。
