张金倩楠1,彭浩2,贾衡天2,艾维平2,高文凯2,范锦辉2,管康2
(1.北京邮电大学 信息光子学与光通信研究院,北京 100876;2.中国石油集团钻井工程技术研究院,北京 100083)
摘要:由于双侧向测量的方式具有更好的聚焦能力,可以同时进行深浅两种探测深度的电阻率测量,因此其具有更强的分层能力,使得不同岩性的地质剖面更加清楚。为此设计了一套随钻双侧向电阻率测量系统,并进行了钻井实验。实验结果证明,该系统能对储层电阻率进行双侧向测量,能真实反映地层电阻率信息,可以提高随钻地质导向钻井系统的性能,提高油气田的钻遇率。
关键词:侧向电阻率;地质导向;电阻率信息
0引言
在勘探开发油气资源的工程中,评价油气储层油气分布的常规和重要手段是对该储层电导率的判断。而随钻电阻率测量有较高的实时性和效率,其能够最大程度降低钻井液入侵地层后对地层电阻率测量的影响,对储层评价具有重大意义,能使井眼轨迹保持在要求的储层内。随钻双侧向电阻率测井是聚焦式电法测井中的一种。其与三侧向和七侧向电阻率测井均属于电法测井,随钻双侧向电阻率测井系统是从三侧向和七侧向测井系统的基础上发展起来的,但由于电极系结构不同,在地层的分辨率和探测深度上有很大区别。而随钻双侧向电阻率测井系统能够同时进行浅深两种探测深度的测量[1],因此在地层的分辨率和探测深度上均优于三侧向和七侧向测井系统,其能更大程度地降低低阻围岩和井眼对地层真实电阻率测量的影响[2]。为满足随钻地质导向时对钻遇地层电阻率信息的实时分析的需求,本文开发了随钻双侧向电阻率测井系统。
1随钻双侧向电阻率测量系统结构及测量原理
随钻双侧向电阻率测井系统的电极系由9个电极构成。主电极AP0、第一屏蔽电极AP1和AP2,第二屏蔽电极AP1’和AP2’,电极形状为柱状,主电极较短,屏蔽电极较长。监测电极MP1、MP2和MP1’、MP2’使用环状电极[3]。各个同名电极之间在钻铤内部短接在一起,并以主电极AP0为中心对称地排列在两边,如图1所示。

其中第二屏蔽电极AP1’和AP2’起着双重作用:对深侧向电流,它与第一屏蔽电极间相当于短路状态,从而增强了屏蔽作用。可以使主电流进入地层深处才会向周围发散开。对于浅侧向电流,它与第一屏蔽电极间相当于绝缘,并用作第一屏蔽电极和主电极的电流回流电极,从而降低了屏蔽作用。

使得主电流在进入地层比较近的地方就发散开。双侧向电极系主电极流入地层路径如图1所示。在系统进行工作时,主电极流出的电流I0和从屏蔽电极流出的屏流电流I1应该是相同极性的,这样才能使主电极电流聚焦。
因此在电路系统上采用跟踪屏蔽电流来产生主电流的方式。在随钻双侧向电阻率测量系统中通过实时测量监测电极与无穷远处的回流电极NP的电压差和主电流I0,再根据式(1)来计算出被测量地层的电阻率信息[4]。UMP1代表监测电极的电位,I0代表主电极流出的电流,K代表电极系数。

AP0的接地电阻为R0,则由式(1)可以推出:

公式里的电阻R0应等效为主电流流过的路径上的各个部分电阻的和,如式(3):

RY代表主电极AP0与钻井液之间的接触电阻;RM代表主电流经过钻井的体电阻;RMC代表主电流流过泥饼的电阻;RI代表主电流流过钻井液侵入带地层的电阻;RT代表主电流流过被测原状地层的电阻;RU代表主电流到回流电极的回路电阻。
由于钻井液的电阻率非常低,主电流流过钻井液和泥饼的路径很短,因此RY、RM、RMC可以忽略,主电流I0的回流电极回路路径等效截面积非常大,所以RU也可以忽略不计。式(3)变为:

随钻双侧向电阻率测量系统测量的数据主要反映了被测地层的原状地层电阻率和钻井液入侵带电阻率,采用随钻测量方式,在地层被打开的同时就进行了电阻率的测量,钻井液尚未来得及入侵原状地层太深,因此钻井液入侵带电阻率也可以忽略不计[5]。
随钻双侧向电阻率深电极系数K可表示为:

2随钻双侧向电阻率测量系统电路
随钻双侧向电阻率测量系统如图2所示,其包括:直流稳压单元、控制信号发生器单元、深侧向屏流源单元、浅侧向屏流源单元、平衡放大混合电路单元、深浅侧向电流检测电路单元和深浅侧向电压检测电路单元。直流稳压电源单元为整个测量系统提供+15 V和-15 V的工作电源。控制信号发生器单元包括振荡器和分频器,其可以产生32 Hz和128 Hz的方波信号,为系统中的斩波器、相敏检波器提供相位参考信号[6]。这个信号的频率同时也是深浅侧向测量时给电极上的功率信号频率。该系统在进行测量时,由深浅屏流源电路通过屏流电极系向被测地层发射32 Hz和128 Hz屏蔽电流信号,该电流将会流入监测电极MP1、MP1’和MP2、MP2’,并在监测电级系上形成电位差,这个电位差信号包括了深浅侧向电流的频率,该电位差信号经过平衡放大混合电路放大,放大后的信号控制主电流发生电路来产生包含上述两种频率的主电流[7]。这样主电流I0时钟就能跟随屏蔽电流I1的极性和相位变化了。同时,主电流也将造成监测电极间的电位差动态趋于零。屏蔽电流I1同时也动态地聚焦了主电流I0。
深侧向屏流电流源电路由频率受控的32 Hz电流源构成,控制信号为U2D。控制信号U2D来自于深侧向电压监测器并与深侧向电压监测器监测到的电压成正比。深侧向屏流源输出的电流加载到屏流电极AP1和AP1’上,屏蔽电流从无限远处的NP电极返回[8]。深侧向屏流源电路由差动放大器、斩波式调制器、深侧向带通滤波器和功率放大器构成。
差动放大器主要利用U2D来控制屏蔽电流幅度,其正比于(U2-2U2D),U2是参考信号。是由直流电源经过精密电阻R1和R2分压得到,如图3所示。斩波式调制器将与(U2-2U2D)成正比的直流信号变换成32 Hz的交流信号,然后其通过带通滤波器将其变成幅度正比于(U2-2U2D)、频率为32 Hz的正弦波,最后经过功率放大电路将其加载到屏蔽电极A1和A2上。深侧向屏蔽电流经过电阻R10加载到屏蔽电极AP1上,经由变压器T8的次级加载到屏蔽电极AP1’上。这意味着AP1和AP1’是短路在一起的,所以具有相同的电位[9]。

浅侧向屏流源的信号输出接在变压器T8的初级,从初级看过去电极AP1’是电级AP1的回流电极。AP2’是AP2的回流电极,而浅侧向屏流源电路产生一个频率为128 Hz的交流电流信号,其控制电压还是U2D。其电路组成结构与深侧向屏流源电路类似,只是斩波调制器的控制频率不同。
平衡放大混合电路单元有两个作用:(1)测量监测电极上的电位差;(2)平衡放大电路单元输出的不平衡信号、控制产生主电流I0。主电流I0与屏蔽电流I1相互作用,当监测电极间电位差为零时,主电流被聚焦沿着水平方向深入地层中。平衡放大混合电路单元由差动放大电路、选频放大器和功率放大器组成。监测电极之间的电位差信号非常微弱,而且是浮动的。因此平衡放大电路单元的前置放大器为了检测到监测电极上的微弱信号,需要具有很高的输入阻抗、较高的放大倍数和较高的共模抑制比。差动放大后的信号经过选频放大电路来选频放大与屏流电流相同的频率信号,最后通过功率放大电路供给主电极[10],使得主电极流出主电流I0。
电压检测电路用于检测深浅侧向两个通道。其由前置差动放大器和相敏检波器组成。前置差动放大器监测电极MP1与回流电极NP之间的电位差,浅侧向电压检测电路除了前置差动放大器和相敏检波器外还需要带通滤波器。由于浅侧向电压检测电路中的测量信号中还会混合入深侧向频率的信号,因此需要一个带通滤波器将深侧向频率信号滤除,这样就可以去掉不需要的干扰。深浅侧向电压相敏检波器工作在同相检波状态下,被监测的信号与参考信号相位相同,因此可以提高检波效率压制干扰信号,深浅侧向电压检测电路经过相敏检波器后的信号经由低通滤波器被转换成为直流信号输出。
电流检测电路与电压检测电路类似。其由深浅前置差动放大器、深浅侧向带通滤波器和深浅侧向相敏检波器构成。但电路的输入信号是主电流采样电阻上的电压信号。
随钻双侧向电阻率测量系统的各电极信号采集处理电路单元,其主要功能包括:监测深浅侧向检测电极电压的状态(图2中US和UD),检测主电极电流的状态(图2中ID和IS),并根据测量的结果实时计算出被测底层的电阻率信息。
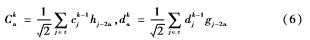
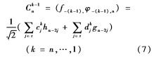
系统包括4路耐高温可变增益差分放大器、24位高精度耐高温Δ─Σ多路AD转换器、DSP控制器、恒温晶振和电源控制芯片。4路可变增益差分放大器可对输入信号进行多种增益控制,满足对被测量信号的测量动态范围控制。24位高精度耐高温Δ─Σ多路AD转换器采用TI公司的ADS1278HT芯片,它是专为石油钻井高温工作环境研制的,其可以在200℃的高温环境下工作,充分满足复杂深井的高温工作环境。在本系统将其设置为4路信号同时采集状态,在同一时刻将深浅侧向检测电极电压(图2中US和UD)和主电极的电流信号(图2中ID和IS)转换成24 bit数字信号,其内置数字滤波器信号的信噪比可达111 dB。DSP控制器采用微芯公司的32位高性能DSP处理器,其负责控制可变增益差动放大器进行增益控制,并控制ADS1278HT对4路被测量信号进行AD转换。其还需对ADS1278HT采样的信号进行数字处理,并存储到3Dplus公司的高温8 GB NANDFlash存储器中。DSP控制器对AD转换完成的数据先进行数字滤波处理,数字滤波器采用的是小波滤波器,对被测信号进行小波分析后,由小波函数推演出一组滤波器系数,该组滤波器系数与ADS1278HT采样之后的信号进行卷积运算,分解成高频和低频两个分量信息,再分别对这两个高低频分量利用这组小波滤波器系数进行滤波,分解出下一级4组高频和低频分量,依次类推,再通过选择合理的阈值算法将信号中的噪声和高频强干扰信号的信息去掉,然后通过小波逆变换滤波器系数组的重构算法将所需要的信号提取出来。采集信号被小波分解后的低频分量和高频分量分别为Ckn和Dkn,其计算公式为:


小波重构算法:

对小波逆变换后的信号还要进行数字处理才能得到被测信号的幅值信息,该数字处理的计算过程为:首先对小波滤波后的被测信号与一个正弦和余弦信号分量进行乘积求和,该正弦和余弦信号分量分别为:


其中,fsingal频率与小波滤波后的信号频率相同。fcai为ADS1278HT的采样频率。被测信号与上述正弦余弦分量进行乘积求和,公式为:


再由式(12)计算出被测信号的幅值信息,再分别求出监电极的电压UMP1和主电极的电流信号I0之后,就可由式(1)求出被测地层的电阻率信息。监电极的电压与主电极的电流信号分为浅侧向工作状态和深侧向工作状态,工作在两种不同状态下,将公式(1)中的UMP1替换成深侧向电压UD、I0替换成深侧向电流ID,可以求出深侧向地层电阻率,而将式(1)中的UMP1替换成深侧向电压US、I0替换成深侧向电流IS,可以求出浅侧向地层电阻率,将二者合成解释可以推演出被测地层的真实电阻率信息。

3随钻双侧向电阻率测量系统实验
随钻双侧向电阻率测量系统在华北油田K50-62井进行了下井实验,并安装在钻具组合中钻头的上方。设计井深4 750 m(垂深),井别为开发井,井型为定向井。随钻双侧向电阻率测量系统在Σ井深3 750 m的位置开始工作进行测量。系统在井下随钻累计工作36 h,系统工作环境温度125℃,整个系统工作正常。随钻双侧向电阻率测量系统测量数据与该井的感应电阻率测井数据和近钻头电阻率测井数据对比一致性非常好,系统的随钻测井数据如图4所示,达到了井队对目的层电阻率进行随钻测录的要求。
4结论
随钻双侧向电阻率测量为评价油气储层岩性提供重要参数,能在石油勘探和开发领域发挥重要作用,因此研制了随钻双侧向电阻率测量系统,其由主电极发射电流信号,屏蔽电极对电流信号进行聚焦,监测电极测量目的油气储层的电阻率信息。对该系统进行了下井实验,实验结果满足井队对目的地层电阻率测量的要求,提高了国内随钻测井技术研究和应用的水平,缩短了与国外测井技术间的差距,具有广阔的应用前景。
参考文献
[1] 姜景涛.高频阵列介电测井仪的井下测量电路[J]. 国外测井技术, 2015(5):76 78.
[2] 夏济根,高成名,李智强,等.微柱形电阻率与三探测器岩性密度组合测井仪器的设计和应用[J]. 石油管材与仪器, 2015,1(4):11 14.
[3] 潘锦,聂在平.二维平面分层媒质中的数值模式匹配——算子矩阵理论及计算方法的应用[J]. 电子科学学刊, 1994,16(4):388 401.
[4] 尹成芳,柯式镇,张雷洁.电极型复电阻率扫频系统响应数值模拟[J]. 测井技术,2014,38(3):273 278.
[5] 张庆福.薄层电阻率测井技术的推广应用[J]. 石油天然气学报,2005,27(1):72 73.
[6] 李会银,苏义脑,盛利民,等.多深度随钻电磁波电阻率测量系统设计[J]. 中国石油大学学报(自然科学版), 2010,34(3):38 42.
[7] 刘向友,胡金海,黄春辉.电导式相关流量测井仪测井资料分析[J]. 石油仪器, 2007,21(3):32 34.
[8] 徐锦绣,王永利,曹树春,等.成像测井在地质油藏研究中的应用[J]. 海洋石油,2009(1):20 23.
[9] 杨丽兵,李瑞,梁涛.电成像测井在川北地区长兴组储层评价中的应用[J]. 天然气勘探与开发,2008,31(2):8 11.
[10] 艾维平,邓乐,宋延淳.近钻头电阻率随钻测量系统中电流激励源的设计[J]. 通信电源技术, 2012,29(1):41 43.
