李百华1,郭灿彬1,钟其水2,涂涛2
(1.广东机电职业技术学院,广东 广州 510515;2.电子科技大学 航空航天学院,四川 成都 611731)
摘要:首先分析了锂离子电池的特性和充放电原理,介绍了锂离子电池的戴维南(Thevinin)等效电路模型,并采用脉冲法和递推最小二乘法相结合对戴维南等效电路模型参数进行辨识,实现了戴维南等效电路模型参数的实时在线辨识,为电动汽车锂电池的等效电路模型的分析研究提供了一种可行方式。
关键词:电动汽车;等效电路;脉冲法;最小二乘法
中图分类号:U469.72+2文献标识码:ADOI: 10.19358/j.issn.1674-7720.2017.01.025
引用格式:李百华,郭灿彬,钟其水,等. 电动汽车锂电池戴维南等效电路模型参数辨识研究[J].微型机与应用,2017,36(1):83-85,88.
0引言
随着汽车需求不断上升,能源短缺与环境污染日趋严重,电动汽车具有无污染、电能来源多样的优点,其发展得到广泛重视。电动汽车锂电池存在过充或过放后将产生不可恢复的破坏性影响,不正常工作状态下将会导致自燃等安全问题[1]。通过建立有效理论模型对其工作状态、特性和性能作有效评价是必要的。
目前,常用的电池模型有多种,戴维南等效电路模型由于模型参数简单、计算量适中得到广泛采用。本文通过分析戴维南等效电路模型,研究等效电路模型参数辨识,得到该等效电路模型参数的确定方法[2]。

1锂离子电池充放电原理
锂离子电池正极一般采用钴酸锂、锰酸锂、磷酸铁锂、镍酸锂等锂离子化合物,负极一般采用石墨等可以嵌入锂离子的化合物[3]。磷酸铁锂离子电池正极充放电变化如图1所示,锂离子通过电解液和电池隔膜在电池的正负极间来回转移。
2戴维南(Thevinin)等效电路模型
电池组等效为电压源、内阻、一阶RC串联的电路,如图2所示,其中R1是电池的欧姆内阻,一阶RC表征电池充放电过程中极板的极化电容和电阻[4]。这样电池组充放电过程中电压的突变特性可由内阻R1表征,电压的渐变特性可由Rp和Cp表征。

戴维南模型中,欧姆内阻R1由电池电解质、正极铝箔、负极铜箔等组成,用一阶的RC串联电路反应电池充放电时电压的渐变特性,一阶RC电路由电池充放电过程中正极和负极的极化效应产生。
3戴维南等效电路模型参数辨识
3.1递推最小二乘法
对于多元线性方程,在未知数个数小于方程个数,方程无解的情况下[5],可以通过最小二乘法计算方程的最小二乘解。M抽头滤波器的权向量应满足的线性方程如式(1)所示。
Aw=b(1)
式中A是列满秩矩阵,且A的行数大于列数,即式(1)中,独立方程数大于未知数的数目,因此方程无解。但是,应用最小二乘法可以计算方程的一个近似解,通过取得极小值并求导后可以得到式(2):
LS=(AHA)-1AHb(2)
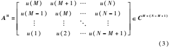
式(2)即为方程的最小二乘解。将最小二乘解推广到递推最小二乘(RLS)解需要假定系数矩阵A如式(3)所示。

其中M为滤波器系数的个数或者线性方程的未知数个数,N-M+1为观测数据的个数,或者线性方程的个数。为了充分利用观测数据,可以将矩阵A扩展为式(4)所示的结果。
![9QYTRP43Z{7Y$P_RXERP]NJ.png 9QYTRP43Z{7Y$P_RXERP]NJ.png](http://www.ninimall.com/files/images/2017/03/02/6362407950149438154048256.png)
式(1)中相关矩阵如式(5)所示:

3.2复频域分析
锂电池的戴维南模型等效电路如图2所示,将该模型的电路数学方程转换到复频域可得电路输出方程如下所示:

式(9)中,U(s)为电池端电压复频域值,I(s)为电流复频域值,R1为电池内阻值,Rp和Cp为电池极化电阻和极化电容。同时得到电池阻抗如下所示:

式(10)中, E(s)=Uoc(s)-U(s),根据双线性变换原理可得:

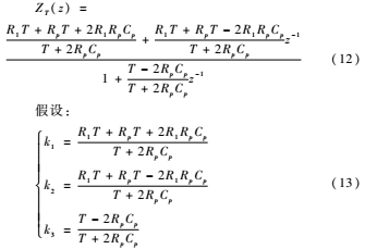
将式(11)带入式(10)可得z域下锂电池戴维南模型参数表达式如下所示:

从而可得:
E(k)=k1I(k)+k2I(k-1)+k3E(k-1)(14)
3.3脉冲放电实验和递推最小二乘法结合辨识戴维南模型参数
由式(13)可知,参数k3只与采样周期和时间常数有关,时间常数可由脉冲放电实验获得,脉冲放电实验的系统如图3所示。

图4是磷酸铁锂电池以10 A电流放电的端电压变化曲线。

图4中电池端电压的渐变过程是由电池的极化电阻和极化电容引起的,通过MATLAB进行曲线拟合可得电压渐变段电池端电压与时间的方程关系,如下所示:
U=0.051 9exp(-0.092 5t)+3.269 0(15)
由式(15)可知,电压渐变曲线的时间常数如下式所示:

式(19)中,b(n)=E(n)-0.687 76E(n-1),φ(n)=[I(n)I(n-1)],θ(n)=[k1k2]T。b(k)的值与E(k)相关,而E(k)的值与电池的开路电压值Uoc(k)相关,电池的开路电压值Uoc(k)可由电池剩余电量SOC(k)求得,因此,这里需要获得电池SOC值和开路电压值Uoc间的拟合曲线。
为了获取锂电池SOC值和开路电压Uoc间的拟合曲线关系,可以对锂电池进行双脉冲放电实验,获取指定SOC值下的开路电压值,从而进行拟合[6]。锂电池双脉冲放电的端电压曲线如图5所示,实验中,充放电脉冲电流大小都是10 A,脉冲宽度为40%。

图5中,a点是电池脉冲放电结束后,静置了30 s的端电压值,在静置过程中,电池极化电压将逐渐降低,电池端电压值逐渐趋近电池开路电压值。b点是电池充电结束后,静置了30 s的端电压值,在静置过程中,电池充电极化电压逐渐降低,电池端电压值逐渐趋近电池开路电压值。由于电池脉冲充放电的时间很短,因此,电池的SOC可以认为不变,a点和b点分别是电池放电后静置一段时间和充电后静置一段时间的端电压值,所以,电池的开路电压值一定介于a点和b点电压值之间,可以取a、b点电压的平均值作为电池的开路电压值。通过双脉冲法测得不同SOC值的开路电压值如表1所示。

根据表1,通过分段拟合可得磷酸铁锂电池SOC和开路电压间的拟合曲线如图6所示。

图中a~b段采用5次拟合,b~c段采用3次拟合,c~d段采用二次拟合,d~e段采用5次拟合。通过分段拟合的方式获取锂离子电池SOC值和开路电压值间的曲线关系,可以大大提高通过电池SOC值获取开路电压值的精度。
电流I(k)可以通过实验测得,令λ=1,u(n)=I(n),带入式(8),可迭代计算k1、k2的值,将k1、k2的值代入式(17)即可求得R1、Rp的迭代值。通过实验得到R1、Rp的估算值如图7所示。

4结论
本文首先分析了锂离子电池的特性和充放电原理,介绍了锂离子电池戴维南等效电路模型,并采用脉冲法和递推最小二乘法相结合对戴维南等效电路模型参数进行辨识。通过双脉冲法测得了不同SOC值下磷酸铁锂电池的开路电压值,并对磷酸铁锂电池的SOC和开路电压值进行了分段拟合。通过脉冲放电法和递推最小二乘法实现了戴维南等效电路模型参数的实时在线辨识。该方法为电动汽车锂电池的等效电路模型的分析研究提供了一种可行方式。
参考文献
[1] 张禹轩. 电动汽车动力电池模型参数在线辨识及 SOC 估计[D].长春:吉林大学,2014.
[2] 周美兰, 赵强, 周永勤. 改进的PSOBP神经网络估算磷酸铁锂电池SOC[J]. 哈尔滨理工大学学报, 2015, 20(4):88-92.
[3] GREGORY L P. LiPB dynamic cell models for Kalmanfilter SOC estimation[A]. Proceedings of the 19th International Electric Vehicle Symposium[C]. Busan:EVS,2002:1860-1871.
[4] 张东华,马燕,陈思琪,等.锂电池模型参数估计与荷电状态估算研究[J].武汉理工大学学报,2015,37(2):179-182.
[5] 范兴明, 曾求勇,张鑫. 基于改进安时积分法的电动汽车电池SOC估计与仿真研究[J].电气应用, 2015(8):111-115.
[6] Shang Yunlong, Zhang Chenghui, Cui Naxin, et al. A celltocell battery equalizer with zerocurrentswitching and zerovoltage gap based on quasiresonant LC converter and boost converter[C]. IEEE Transactions on Power Electronics, 2015, 30(7):3731-3747.
