文献标识码: A
DOI:10.16157/j.issn.0258-7998.2017.03.007
中文引用格式: 王丹丹,王军,王林. 45 nm MOSFET射频小信号噪声等效电路建模直接提取方法[J].电子技术应用,2017,43(3):33-35,39.
英文引用格式: Wang Dandan,Wang Jun,Wang Lin. RF small-signal noise equivalent circuit modeling of 45 nm MOSFET[J].Application of Electronic Technique,2017,43(3):33-35,39.
0 引言
由于沟道缩比技术持续快速发展,使CMOS具有了提供非常低的功耗且实现极高的单位增益频率的优势。为了满足超低功耗越来越高的需求,超低电压和亚阈值RF应用设计开发成为国内外的研究热点[1-2]。虽然为深亚微米MOSFET的RF噪声表征和建模已被广泛研究[3-5],工作频率大多仅限于几个赫兹,并且可能没有足够用于毫米波应用,迫切需要重新表征和建模RF噪声行为。文献[6]对深亚微米MOSFET模型和等效电路进行了归类和讨论,可以看出现有的模型由于没有考虑分别对输入电导Y11和输出电导Y22有重要影响的栅极电阻Rg和衬底电阻,从而低估了高频噪声特性。文献[7]虽然能够提供精确描述130 nm MOSFET小信号RF行为统一的模型,而随着工作频率提升到毫米波阶段,寄生元件效应变得越来越显著,对45 nm RF MOSFET高频噪声特性会导致较大的误差,缺乏足够的准确性,因此有必要对纳米尺寸射频MOSFET噪声等效电路的建模进行改进。
本文使用考虑了本征元件、外围元件及焊盘寄生元件组成的射频模型,不同于文献[7]所采用的小信号RF模型,集总RC网络重新对衬底元件高频行为进行建模。首先采用标准的开路/短路虚拟测试结构对测量的S参数进行PAD电容和互连寄生参数进行剥离处理,剥离后的S参数测量结果转换为Y参数。从射频小信号等效电路推导出能够描述45 nm MOSFET行为的Y参数一阶分析表达式,使用这些分析表达式从实测值直接提取小信号模型参数。
在精确的射频小信号模型基础上,基于双端口网络的噪声相关矩阵和多端口噪声理论[8],使用描述本征器件的沟道热噪声和感应栅极噪声模型,嵌入所有对射频热噪声有贡献的元件,分析推导出符合实际射频噪声测量的四噪声参数详细步骤。在2 ~18 GHz频段内,四噪声参数分析模型结果与测量结果吻合良好,表明分析模型能够预测深亚微米MOSFET噪声性能。
1 包含噪声源的射频MOSFET小信号等效电路模型
图1为单个手指NMOS晶体管的横截面示意图。高频MOSFET等效电路包括本征晶体管、端电阻(栅极电阻Rg、源/漏极串联电阻Rs、Rd)、衬底电阻(Rdsb、Rsb、Rdb)、交叠电容(Cgdo、Cgso)、结二极管(Dsb、Ddb)以及栅极、漏极及栅极和漏极之间的寄生焊盘PAD电容(Cpg、Cpd、Cpdg)和引线寄生电感(Lg、Ld、Ls)。

为了消除焊盘和焊盘与器件之间的金属互连线对测量结果的影响,首先要对测量结果进行剥离。由于在晶圆S参数测试需要使用焊盘和互连线与晶体管(被测器件)相连,而这些元件的引入必然带来一些寄生效应。随着器件尺寸的减小,这些寄生元件对晶体管特性的影响不断增加,对测得的S参数有很大的影响。为了得到晶体管本身的特性,需要一个准确的剥离方法将晶体管从被测结构中剥离出来。这里采用文献[9]标准的开路/短路测试结构对PAD电容和互连寄生电阻进行剥离处理。
图2为饱和区RF MOSFET准静态射频小信号等效电路,为了精确地模拟设备特性,利用直接提取法计算晶体管内部小信号模型参数。

表1为M=6,Nf=10,W=2 μm,L=45 nm nMOS本文提取的小信号等效电路参数值,从表中观察到Cgd,Rg,Rs和Rd呈现弱Vg偏压的依赖,其他所有的射频模型参数显示出较强Vg偏压的依赖。

2 射频噪声参数提取
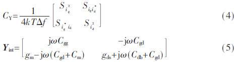
高频噪声由4个噪声参数表征,即最小噪声系数NFmin,等效噪声电阻Rn和最佳源导纳Yopt(Yopt=Gopt+jBopt)。基于双端口网络的噪声相关矩阵和多端口噪声理论,使用沟道热噪声和感应栅极噪声模型嵌入所有对射频热噪声有贡献的元件,分析推导出符合实际射频噪声测量的四噪声参数。图2等效电路分为内部和外部两部分。注意噪声分析时,漏极/源极电阻忽略,因为两者的数值只有零点几欧姆,噪声贡献很小。

晶体管内部噪声源可以转化求出晶体管内部部分的导纳形式噪声相关矩阵系数,及对内部部分进行Y参数分析。

式中k为玻尔兹曼常数(k=1.380 650 3×10-23),T为器件温度(T=290 K),星号表示去复数共轭。


3 结果及分析
为验证本文所建立的纳米级MOSFET射频四噪声分析模型的准确性,首先将直接提取的小信号参数代入分析模型后,利用MATLAB进行仿真,然后将仿真结果与实验测量结果相比较来验证射频四噪声分析模型的准确性,同时分析了不同沟道长度下的器件射频四噪声特性。
图3为VGS=0.9 V,VDS=1.1 V偏置条件下,不同沟道长度的射频四噪声参数关于频率变化的曲线。使用小信号等效电路参数的提取值和射频噪声模型参数,分析模型(9,10,11)与测量结果进行比较。图3(b)中分析结果与实测结果之间存在差异,特别是几兆赫的低频段,主要由于Rn仅取决于由γnD表征的沟道热噪声,而噪声参数γnD受到速度饱和、热载流子、迁移率退化、沟道长度调制效应影响。本文中没有对受短沟道效应的γnD进行精确建模造成这样差异的存在。图3(a)、图3(c)、图3(d)所建模NFmin和Yopt结果与测量结果数据吻合良好,精确捕捉不同沟道长度NMOS射频噪声行为,表明分析模型能够预测深亚微米MOSFET噪声性能。

4 结论
对射频MOSFET等效电路建模技术进行了研究,在采用直接提取的MOSFET小信号模型参数基础上,利用本征电路的噪声电流源,嵌入所有对射频噪声有贡献的元件,推导出四噪声参数分析模型,然后将这种小信号模型和参数提取技术应用到45 nm MOSFET,仿真计算和测量结果的良好吻合证明了这种方法的正确性。对纳米尺寸射频MOSFET建模技术的研究为今后深亚微米噪声建模和开发射频频段的电路提供了指导。
参考文献
[1] PARVIZI M,ALLIDINA K,EL-GAMAL M N.A sub-mW,ultra-low-voltage,wideband low-noise amplifier design technique[J].IEEE Transactions on Very Large Scale Integration Systems,2015,23(6):1111-1122.
[2] DO A V,BOON C C,DO M V,et al.A subthreshold low-noise amplifier optimized for ultra-low-power applications in the ISM band[J].IEEE Transactions on Microwave Theory & Techniques,2008,56(2):286-292.
[3] ENZ C C,CHENG Y.MOS transistor modeling for RF IC design[J].Solid-State Circuits,IEEE Journal of,2000,35(2):186-201.
[4] Cheng Yuhua.MOSFET modeling for RF IC design[J].IEEE Transactions on Electron Devices,2005,52(7):1286-1303.
[5] POULAIN L,WALDHOFF N,GLORIA D,et al.Small signal and HF noise performance of 45 nm CMOS technology in mmW range[C]//Radio Frequency Integrated Circuits Symposium(RFIC),2011 IEEE.IEEE,2011:1-4.
[6] ENZ C.An MOS transistor model for RF IC design valid in all regions of operation[J].IEEE Transactions on Microwave Theory & Techniques,2002,50(1):342-359.
[7] CHAN L H K,YEO K S,CHEW K W J,et al.High-frequency noise modeling of MOSFETs for ultra low-voltage RF applications[J].IEEE Transactions on Microwave Theory & Techniques,2015,63(1):141-154.
[8] PUCEL R A,STRUBLE W,HALLGREN R,et al.A general noise de-embedding procedure for packaged two-port linear active devices[J].IEEE Transactions on Microwave Theory & Techniques,1992,40(11):2013-2024.
[9] ISSAOUN A,XIONG Y Z,SHI J,et al.On the deembedding issue of CMOS multigigahertz measurements[J].IEEE Transactions on Microwave Theory & Techniques,2007,55(9):1813-1823.
[10] ENZ C C,VITTOZ E A.Charge-based MOS transistor modeling:the EKV model for low-power and RF IC design[J].John Wiley,2006.
作者信息:
王丹丹,王 军,王 林
(西南科技大学 信息工程学院,四川 绵阳621010)
