文献标识码: A
文章编号: 0258-7998(2015)05-0137-04
中文引用格式:王顺利,尚丽平,舒思琦,夏承成,屈维.基于等效电路分析的航空锂电池工作特性研究[J].电子技术应用,2015,41(05):137-140.
0 引言
航空应急用的蓄电池具有高能量密度、高功率密度、小体积等要求,钴体系锂电池由于具有以上显著优点成为其首选应急用能源。然而在应用过程中,锂电池存在过充或过放后将会产生不可恢复的破坏性影响、不正常工作状态下将会导致自燃等安全问题。波音787飞机锂电池燃烧、特斯拉汽车锂电池自燃等事故给锂电池推广应用带来极大阻碍。由于材料和工艺所无法避免的差异性问题,构建合理模型对电池内部进行模拟,以及对其工作状态、特性和性能作有效评价是非常有必要的。
通过建立有效理论模型来分析电池的性能和工作状态是现在世界公认的研究热点,如Daowd Mohamed等人对不同模型进行对比分析研究[1], Attidekou Pierrot S.等人对等效电路模型展开分析[2]。针对所构建模型的具体应用,肖蕙蕙等人对其模型应用于电动汽车适用性展开分析[3],杨阳等人把等效电路模型结合SOC估计应用于电动汽车供能状况研究[4]。在考虑温度[5]、老化[6]、循环寿命[7]等因素对电池性能影响的基础上,研究者展开相关深入研究工作并取得一定成效,如锂电池快速充电应用探索[8]等。
本文针对航空锂电池应用中的安全保障问题,基于等效电路分析,对锂电池的内部结构进行模拟。通过分析所构建模型不同条件下的反应,实现对其工作特性分析,为航空锂电的应用提供安全保障。
1 理论分析
1.1 锂电池工作原理
在锂电池充电过程中,锂离子在外部电势差驱动下从正极经过电解液和聚合物电解质膜(隔膜)转移至负极。在锂电池放电过程中,锂电池两电极之间经过负载构成回路,在两极之间电压差的驱动下,电子由负极向正极移动;锂电池内部,锂离子从负极经过电解液和隔膜转移至正极,反应过程如图1所示。

1.2 等效电路模型分析
在模型构建过程中,把锂电池有效等效为恒压源、电阻和电容所构成的电路,构建锂电池等效电路模型如图2所示。在构建过程中,改进Thevenin模型,忽略电池的自放电过程,并加上一个与理想电压源串联的电容。这个电容用于表征负载电流的变化对时间的累积效应所导致的开路电压变化的影响。通过这种方式,可以反映SOC和开路电压的变化,弥补了Thevenin电路的不足。

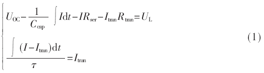
根据此PNGV等效电路模型,可以写出该电路的状态方程:

其中τ=CtranRtran。在分析过程中,通过对当前容量与额定容量的比值荷电状态(State of Charge,SOC)的计算过程,实现对其工作状态的有效表征, SOC计算方程如下:

1.3 模型构建方法研究
等效电路中的元件参数可以通过HPPC试验在不同温度下测出不同SOC值对应的参数值,通过这些状态方程和SOC计算方程,可以在MATLAB中建立模型进行仿真,进而得到电池端电压随时间的输出曲线。输入为负载电流、电池的SOC初值、电池容量和温度,输出为电池的端电压。
针对锂电池的PNGV等效电路模型在MATLAB中建立模型,主要包含三部分:(1)针对给定负载电流,采用SOC计算方程建立SOC实时计算模块;(2)利用建模对象在不同温度下辨识出的PNGV模型参数来建立PNGV等效电路参数模块;(3)建立PNGV等效电路子模块。将这3个模块组合起来即可构成锂电池PNGV等效电路的总模型,总体结构如图3所示。

将这三部分模块对应的输入、输出参量相连,可以构建PNGV状态评价系统模型,如图4所示。

(1)SOC实时计算部分
荷电状态SOC子模块的输入为负载电流、电池的SOC初值、电池的容量。负载电流即电池在对负载供电时流过负载的电流,由于电池放电时的库伦效率为1,所以该电流即为电池的放电电流。电池的SOC初值即电池在该放电状态之前静置状态下的电量与额定电量的百分比值,如SOC为1表示电池电量还有100%,即电池为满电量。电池的容量即电池为满电量时的电荷量值,单位为Ah。
将式(2)中所述的SOC计算方程在MATLAB中构建模型以进行实现,分别对所需电流值、SOC初始值和电量初始值进行输入参数接口设定,构建的SOC估算子模块如图5所示。

电池容量的输入通过乘以3 600进行单位转化,因为建模所用的都是国际单位制,电流单位用安培,为了计算出正确的SOC值,必须将容量乘以3 600,即将安时(Ah )转化为安秒(As)用于计算。
(2)PNGV等效电路参数模型构建
根据与SOC、温度相关的各个参数的拟合函数表达式,可以建立PNGV等效电路参数模块。每次输入不同SOC初值和温度值,就可以得到对应的PNGV等效电路的参数。所获参数输入到之后的计算模块,该子模块构建结果如图6所示。

(3)PNGV等效电路子模块构建
通过状态方程,可在MATLAB中建立对应的数学模型,将第二部分参数模块中的对应参数输入到该模块作为参数进行运算,可得到该时刻的端电压。由于第一部分模块中的SOC是随时间变化的,第二部分模块中各个等效元件的参数是根据SOC和温度确定出的拟合函数来确定的,所以其输出结果也是随时间变化的,又由于该部分PNGV等效电路子模块的输入为前面模块的随时间变化的参数,所以端电压的值也是随时间变化的。这样就可以得到端电压随时间的输出曲线。SOC实时计算子模块如图7所示。

2 实验与分析
2.1 不同温度实验研究
以0.3C5 A(C5表示用5小时将电池电量全部放完所能得到的容量,由于电池的放电容量与放电条件有很大关系,在讨论容量时就必须同时说明放电条件,C5就是放电条件,该式表示充放电电流为0.3×额定容量值)的恒流工况来测试该模型。负载电流由信号发生器提供,持续时间设置为1 000 s(时间坐标轴上t=200~1 200)。仿真时间设置为2 000 s。在不同温度下分别得到输出端电压随时间变化的曲线,如图8所示。

2.2 实验结果分析
通过上述不同温度调节下的实验研究,可以找到不同条件下电压特性变化过程的相同点和不同点并进行分析研究,以用于安全保护。
2.2.1 相同点及分析
端电压的输出最初有一个突然下降的过程,下降幅度随温度下降而提升。造成该现象的原因是:PNGV等效电路模型中,电池的等效内阻在流过负载电流时产生了压降,该现象与实际电池特性相符。
在端电压突然下降后,端电压有一个缓慢下降的短时过程,之后端电压与时间呈线性关系继续下降。造成该现象的原因是:PNGV等效电路模型中,RC回路用来等效电池的极化效应,该RC回路在最初流过负载电流时的零状态响应导致电池端电压有一个缓慢短时下降的过程;在零状态响应之后,输出端电压进入稳态,输出端电压则继续呈线性下降。该现象与实际电池特性相符。
在放电结束后端电压也有一个突然上升的过程,幅值随温度下降而提升,之后端电压有一个缓慢上升的过程,然后恢复至当前SOC值所对应的开路电压值。造成该现象的原因:端电压突然上升是因为等效内阻产生的压降在负载电流消失后随即消失;端电压之后的缓慢上升过程是由RC回路的零输入响应造成的,在没有负载时,电池的PNGV等效电路呈开路状态,输出端电压值与当前SOC值所对应的开路电压值相等,该现象和实际电池特性相符。
2.2.2 不同点及分析
低温度时的输出端电压值的下降程度要比高温度时的输出端电压值下降的程度大。
低温度时输出端电压的最大差值比高温度时输出端电压的最大差值更大,即随温度降低而提升。
在放掉相同的SOC值后,低温度时的开路电压差值比高温度时的开路电压差值更大。
造成该现象的原因是:电池在低温度时的极化效应强度要大于高温度时的极化效应强度,因此在低温度时PNGV等效电路对应的RC回路的等效参数值要比高温度时的值大,所以低温度时RC回路的零状态和零输入响应对电池端电压值的影响要比高温度时大。而在电池静置的状态下开路电压差异则是由于电池在不同温度下的化学特性的不同所导致。
通过这两个波形可以看出,低温度时电池的端电压值下降要比高温度时迅速,即高温度时的电池端电压输出特性要比低温度时稳定。航空用锂电池在高温度时的端电压输出特性在要优于其低温度时的端电压输出特性。
3 结语
本文提出了一种航空锂电池工作特性分析方法。该方法通过等效电路的有效模拟,实现对其反应过程的特性表征。基于此方法研究及其模型构建,航空锂电池在不同条件下的工作特性得到分析研究,得到了不同温度条件下锂电池的工作状态和输出特性。该方法的提出对锂电池工作过程分析和航空锂电的应用安全保障起到重要作用,为锂电工作机理分析提供参考价值。
参考文献
[1] MOHAMED D,NOSHIN O,PETER V D B.A comparative study of battery models parameter estimation[J].International Review of Electrical Engineering,2012,7(4):4915-4924.
[2] ATTIDEKOU P S,SIMON L,MATTHEW A.A study of 40 Ah lithium ion batteries at zero percent state of charge as a function of temperature[J].Journal of Power Sources,2014(269):694-703.
[3] 肖蕙蕙,王志强.电动汽车锂离子电池建模与仿真研究[J].电源学报,2012(1):41-44.
[4] 杨阳,汤桃峰.电动汽车锂电池PNGV等效电路模型与SOC估算方法[J].系统仿真学报,2012(4):938-942.
[5] SAW L H,YE Y,TAY A A O.Electro-thermal characterization of Lithium Iron Phosphate cell with equivalent circuit modeling[J].Energy Conversion and Management,2014(87):367-377.
[6] 欧少端,杨晓力.基于PNGV电容模型的LiFePO4电池性能仿真与实验[J].电源技术,2013,37(7):1133-1135.
[7] CECILIO B,LUCIANO S,MANUELA G.An equivalent circuit model with variable effective capacity for LiFePO4 batteries[J].IEEE Transactions on Vehicular Technology,2014,63(8):3592-3599.
[8] 邓磊,王立欣.基于改进PNGV模型的动力锂电池快速充电优化[J].电源学报,2014(4):10-13.
